1. 서 론
해밀턴 이론(Hamilton, 1834; 1835)은 현재까지 동역학의 유일한 변분이론(variational principle)으로써, 가상일의 원리(principle of virtual work) 및 최소일의 법칙(principle of minimum total potential energy) 등의 다른 정역학의 변분이론과 같이 여러 분야에 널리 쓰이고 있다(Bretherton, 1970; Gossick, 1967; Landau, 1975; Slawinski, 2003; Tiersten, 1967). 하지만, 해밀턴 이론은 정역학의 변분이론들과는 다르게 두 가지의 큰 이론적 약점이 있다. 곧, 첫째, 해밀턴 이론은 동적시스템의 초기치(initial conditions)를 제대로 반영할 수 없고, 둘째, 에너지 비보존계(non-conservative systems)를 다룰 시 별도의 범함수(functional) Rayleigh's dissipation(Rayleigh, 1877)가 필요하다.
역사적으로 이런 해밀턴 이론의 단점을 극복하고자 한 대표적인 연구를 살펴보면, 크게, 1) 합성적분(convolution)의 적용을 통한 Gurtin(1964a; 1964b)과 Tonti(1973)의 연구와 2) 정수차수가 아닌 미분(fractional derivative)을 적용한 연구(Riewe, 1996; 1997; Agrawal, 2001; 2002; 2008; Atanckovic et al., 2008; Baleanu, 2005; Cresson, 2007; etc.) 등이 있다. 하지만, 합성적분을 적용한 Tonti의 접근은 초기값이 0이 아닌 경우는 제대로 적용할 수 없는 어려움이 있고, Gurtin의 방법은 초기치 문제(initial- value problem)를 등가의 경계치 문제(boundary-value problem)로 환원시킴으로 완전한 강형의 미분방정식(strong form)을 회복할 수 없는 단점이 있다. 또한, 정수차수가 아닌 미분을 적용한 그 어떤 연구도 가장 간단한 경우인 선형탄성 단자 유도계에 관해서도 그 적용성이 검증된 바가 없다.
근래, 해밀턴 이론의 첫 번째 단점을 극복한 확장 해밀턴 이론(Kim, 2013)은 그 원리가 매우 간단하고 다양한 시공간 유한요소해석법 개발에 이론적 기반을 제공하는 장점이 있다. 곧, 확장 해밀턴 이론은 현재 동적수치해석에 사용되는 반이산화 방법(semi-discretization scheme-공간에 대해서는 일반적인 유한요소법 적용을 하고, 시간에 대해서는 여러 time integration techniques-Newmark's family, Finite difference methods, Runge-Kutta methods, etc.-을 적용하는 방법)을 대신해 시공간(space-time)의 유한요소해석법을 직접 적용시킬 수 있는 이론적인 배경을 제공한다.
유의할 점은 확장 해밀턴 이론도 동역학의 완전한 변분이론은 아니라는 점으로, 첫째, 에너지 비보존계에 적용시 Rayleigh's dissipation이 필요하며 둘째, 적절한 약형의 변분형태(weak variational form)를 범함수(functional)인 action으로부터 직접 얻을 수 없는 단점이 있다.
현재, 이 확장 해밀턴 이론을 적용해 선형탄성 그리고 점소성(viscoplastic)의 연속체 해석에 대한 수치 알고리즘이 제안되어 있고, 그 외 여러 시간 행진법(time-marching scheme)에 근거한 기본적 수치해석법이 제안되어 있다.
본 논문은 확장 해밀턴 이론이 변분이론임을 활용, 여러 정적 변분이론을 활용한 유한요소해석법이 정적 문제(static problem)에 적용시 한 번에 그 해석값을 산정하는 것과 마찬가지로(보 요소로 구성된 구조체 해석시, 전체 보에 대한 해석값이 정적하중에 대해 한번에 산정됨), 선형탄성 단자 유도계에 대해, 각 시간 증분간격(time-step)에 관한 수치해석값을 한 번에 얻는 수치해석법을 제안하였고, 기본적인 수치해석법의 특징과 그 방법의 적절성을 주요 수치해석 예를 통해 검증하였다.
2. 본 론
이 장에서는 Fig. 1에서 보이는 선형탄성 단자유도계에 대한 확장 해밀턴 이론의 적용을 소개한 후, 이에 대한 수치해석법 개발 방법을 소개하고 이를 주요 예제를 통해 검증하고자 한다.
2.1 확장 해밀턴 이론
Fig. 1과 같은 선형탄성 단자유도계에서의 운동방정식은 다음의 식으로 정의되며,
(1)
초기조건은 다음과 같다.
(2)
식 (1)의 m, c, k, u,
는 각각 질량, 감쇠 상수(damping coefficient), 스프링 상수(stiffness), 질량의 변위, 외력을 의미한다. 또한,
는 스프링 상수의 역수로, 스프링의 연성(flexibility)을 나타낸다.
확장 해밀턴 이론은 Fig. 1의 모델에 대해, 두 가지의 범함수 action
와 Rayleigh's dissipation Ø을 다음과 같이 혼합변수인 변위 u와 스프링내 힘의 충격량(impulse) 로 정의한다.
(3)
(4)
식 (3)에서, Lagrangian L은 다음과 같다.
(5)
확장 해밀턴 이론은 식 (3)의 변분(first variation)을 다음과 같이 정의하는데,
(6)
식 (6)에서 더해지는
에서
은 모멘텀(
)을 의미하며, 이것은 선형단자유도시스템이 정해지지 않은 하나의 초기값인 (u(0),
(0))과 정해지지 않은 하나의 마지막값인 (
,
)으로 움직이게 제한하는 역할을 한다. 여기에, 정해지지 않은 초기값 (u(0),
(0))을 주어진 초기값인 (u0,
)가 다음과 같이 순차적으로 부가된다고 간주함으로
(7)
; 혹은
(8)
확장 해밀턴 이론은 초기값을 적절히 사용할 수 있다. 곧, 식 (7)과 식 (8)은 식 (6)에 더해 암묵적으로 사용되며, 식 (8)의
(0)=0은 식 (6)에 명백하게 나타날 필요가 없다.
식 (6)이 제대로 식 (1)을 나타내는지를 확인코자, 식 (5)을 식 (6)에 대입하면, 다음과 같이 표현된다.
(9)

식 (9)에 부분적분(integration by parts)을 적용하면, 다음의 식을 갖는다.
(10)

식 (10)에서 시간간격 (0, T)내에 임의로 변하는 변분값
및
를 고려하면, 다음의 두 식이 성립한다.
(11)
식 (11)에서, 스프링 내의 힘 J이 다음의 식으로
(12)
표현됨을 감안하면, 확장 해밀턴 이론에서 식 (1)은 물론, 다음의 재료 구성식(rate-constitutive relation)이 동시에 성립함을 확인할 수 있다.
(13)
2.2 수치해석법 전개
식 (9)는 시간에 대한 다양한 유한요소해석법 개발에 단초가 된다. 곧, 변분항(variational term)을 가상 필드(virtual field)로 변분항이 아닌 항을 실제 필드(real field)로 간주하면, 식 (9)는 가상일의 원리가 혼합변수를 통해 동역학에 적용됨을 확인할 수 있다: 곧, 식 (9)와 동등한 식 (11)에서 보듯, 식 (9)는 선형탄성 단자유도계의 운동방정식과 재료 구성식(rate-constitutive relation)을 동시에 만족시키며, 가상 필드와 실제 필드는 같은 연속성 요구조건(temporal continuity requirement)을 갖는다.
식 (9)를 통해 개발될 수 있는 여러 가지 동역학에 대한 해석법 중, 특히, 확장 해밀턴 이론이 변분이론임을 감안한, 전체 시간 증분(time-step)에 대한 해를 이끌어내는 방법은 다음과 같은 방법을 통해 개발되었다.
2.2.1 혼합변수의 근사
먼저, 식 (9)는 하나의 균일한 시간 증분 h를 통해 시간간격
에 대한 변분
로 다음과 같이 표현된다(곧,
).
(14)
곧, 식 (14)에서
은 다음을 의미한다.
(15)

하나의 시간 증분내의 시간
에 대한 주요 변수, 예를 들어, 실제 필드의 는 연속성 요구조건을 감안하여 다음과 같이 근사시킬 수 있다.
(16)
식 (16)에서,
와
는 각각
과
일 때의 질량의 변위값을 나타내며,
과
은 각각 행벡터(row vector)와 열벡터(column vector)를 나타낸다. 마찬가지로, 실제 필드의 J와 가상 필드
및
도 아래와 같이 근사시킬 수 있다.
(17)
(18)
(19)
또한, 이 주요 변수의 근사치에 따른 시간에 대한 미분항은 순차적인 미분으로 근사될 수 있는데, 실제 필드의 속도의 경우, 다음과 같이 표현된다.
(20)
마찬가지로,
,
,
은 각각 식 (17)~(19)을 r에 대해 미분함으로써 근사시킬 수 있다.
주요 변수 근사시, 유의할 점은 확장 해밀턴 이론에서 각 시간의 시작과 마지막에 대한 모멘텀은 별도로 다루고 있는 점인데, 식 (15)의
은 변위 u의 순차적 연속성 요구조건을 따라, 각 시간의 시작과 마지막의 대표값인
과
로 표현된다. 덧붙여, 시간
에 대한 외력
은 다음과 같이 근사된다.
(21)
2.2.2 시간에 대한 직접 적분
앞의 실제 필드와 가상 필드의 혼합변수 근사값을 식 (15)에 대입하여 시간간격
에 대해 직접 적분을 하면
은 다음과 같이 표현된다.
(22)



식 (22)에 근거해 범함수 의 정상성(stationarity)인
0가 1) 각 시간 간격에 대한 범함수의 정상성 0을 통해 만족한다고 보고, 2) 이
=0가 각각의 가상 필드의 계수값이
=0으로 만족된다고 보면, 식 (22)로부터 독립적인 3개의 선형방정식을 얻을 수 있는데, 이는 곧, 저차수 근사법(lower-order approximation)을 확장 해밀턴 이론에 적용한 시간에 대한 유한요소해석법으로 one time-step marching method가 되며, 이에 근간한 여러 시간 행진법(time-step marching method)이 고차수 근사법(higher- order approximation)을 사용한 것까지 제안되었다.
2.2.3 전체 time-step에 대한 고려
확장 해밀턴 이론이 변분이론임에 근거해, 전체 time- step에 대한 수치해를 한번에 얻는 해석방법은 1) 식 (14)에서
0이 각각의 가상 필드 계수값이 0임을 통해 만족한다고 간주하고 2) 마지막 time-step에서의 모멘텀 방정식(momentum balance equation) 적용을 통해 얻을 수 있다. 먼저, 1)의 방법을 설명하고자
을 살펴보면 다음과 같다.
(23)



식 (22)~(23)에서 보듯,
과
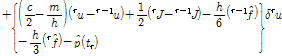
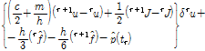
은 공통의 가상 필드 와 를 갖는데, 이 가상필드의 계수가 0임을 matrix equation으로 표현하면 Fig. 2와 같다.
Fig. 2에서 보듯, 일반적인 time-step을 고려할 때는 주요 변수가 u와 J이며, 모멘텀 p는 사라진다. 하지만, 마지막 time-step에는 모멘텀 p가 주요 변수로 남아 있기에, 이와 관련해 방정식이 하나 더 필요한데, 이 방정식은 마지막 time-step때 다음의 모멘텀 방정식을 추가적으로 사용함으로써 얻을 수 있다.
(24)
식 (24)에서,
은 마지막 시간까지의 외력의 충격량(impulse)으로 다음을 의미한다.
(25)
곧, 전체 time-step에 대한 수치해를 한번에 얻는 해석방법의 개념도는 Fig. 3과 같은데, 일반적인 time-step의 경우 반복되는 Fig. 2의 matrix는
로 표현되었다.
Fig. 3에서 보듯, 제안된 해석법은 전체 time-step에 대한 해를 한번에 산정하게 되나, 기존의 time-step marching method인 finite difference, Newmark's method 등과 비교 시 계산비용(computational cost)측면에서 matrix의 크기가 커져 불리한 면이 있음을 알 수 있다. 하지만, finite difference나 Newmark's method 등의 기존의 방법은 변분 이론의 기반이 결여되어 있음을 주지할 필요가 있다.
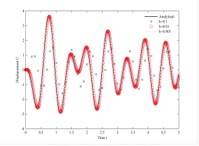
2.3 수치해석예제
제안한 수치해석법을 검증하고자 1) 비감쇠 구조물의 자유진동(undamped free vibration) 2) 감쇠 구조물의 자유진동(damped free vibration) 3) 조화하중에 의한 감쇠구조물의 진동(harmonic vibration of the damped system)의 3가지의 주요 예제가 검증되었으며, 해석상 편의를 위해, 각 경우에 대해 질량 m=1, 스프링 강성 k=4
에 3가지의 time-step cases(h=0.1, h=0.01, h=0.001)을 공통으로 하였고, 그 외 해석에 대한 주요정보는 Table 1과 같다.
Table 1에서 보듯, 감쇠 시스템의 경우 감쇠상수 c는 감쇠율(damping ratio)
가 5%인 경우를 고려하였고, 각 해석 결과는 정확한 해와 함께 비교하였다.
Table 1
Numerical examples
| Undamped free vibration | Damped free vibration | Forced damped vibration |
|---|---|---|
u=1 =0 | u=1 =0 | u=0 =0 |
| c=0 | c=0.2π | c=0.2π |
=0 | =0 | =100sin(10t) |
비감쇠 시스템 곧, 에너지 보존계의 자유진동 결과는 Fig. 4~Fig. 6과 같으며, 새로운 해석법은 time-step에 관계없이 symplectic property(energy conservation and momentum balance)를 갖고 있음을 확인할 수 있다. Fig. 5에 나타난 각 time-step의 전체 에너지는 새 해석법에서 다음의 식으로 산정되었는데,
(26)
식 (26)의 각 time-step에서의 p는 앞의 식 (24)를 사용해, 해석 후 post-processing을 통해 산정되었으며, 식 (26)은 다음의 정확한 해의 에너지 산정식과 동등하다.
(27)
또한, Fig. 7~9에서 보듯, 감쇠 시스템의 결과에서 보듯, time-step 간격이 줄어 들수록, 수치해는 정확한 해에 빠르게 수렴하는 것을 확인할 수 있다.
3. 결 론
본 연구에서는 동역학의 새로운 변분이론인 확장 해밀턴 이론의 특성을 활용해 가장 간단한 선형탄성 단자유도계에 적용한 수치해석법을 제안하였다. 곧, 변분 이론의 특성에 기초해, 선형탄성 단자유도계에 대한 전체 time-step에 대한 수치해를 한번에 이끌어 내는 방법을 제안하였고, 주요 예제를 통해 수치해의 특성 또한 살펴보았다.
제안된 수치해석법은 에너지 보존 시스템의 경우(비감쇠 시스템에 외력이 작용치 않는 경우), time-step에 관계없이 에너지와 모멘텀이 보존되는 symplecticity property를 가지고 있음을 확인할 수 있었고, 감쇠 시스템인 경우, time- step이 점점 작아질수록 정확한 해에 빠르게 수렴하는 것을 확인하였다.





=0
=0





