1. 서 론
2. 해석 모델 및 변수 선정
2.1 비선형 유한요소해석 모델
2.2 해석 변수 선정
3. 변수해석 결과 분석
3.1 역드랍 패널
3.2 철근 정착 상세
3.3 전단경간 비
3.4 역드랍 패널의 콘크리트 강도
3.5 전단보강근
3.6 역드랍 패널 길이
4. 2면 전단강도 평가
5. 결 론
1. 서 론
최근 고층 공동주택 아파트 건설 시 하부 공용공간을 확보하거나 지하주차장 공간을 확보하기 위하여 전이슬래브 시스템을 사용하는 경우가 증가하고 있다(Yoon et al., 2008; 2009). 따라서, 구조체 하중의 흐름이 급격하게 변경되는 구간인 전이슬래브-기둥 접합부의 합리적인 구조설계가 매우 중요하다. 그런데, 최대 4.0m에 이르는 전이슬래브의 두께로 인하여 지하주차장 및 하부 공용 공간 확보에 어려움이 따르고 있다. 또한 두꺼운 전이슬래브 시공으로 공사비 증가, 시공성 저하와 같은 문제점 등이 발생하고 있다. 따라서 공용공간 활용성 증대, 원가절감 및 시공성 개선을 위해서는 전이슬래브의 두께를 절감할 수 있는 방안 제시가 필요하다.
일반적으로 전이슬래브의 두께는 전이슬래브-기둥 접합부 2면 전단강도 확보를 위해 결정된다. 또한 공동주택에서 전이슬래브 시스템을 사용하는 경우, 전이슬래브 층은 피트층의 설비공간으로 활용하는 경우가 많다. 따라서, Fig. 1과 같이 전이슬래브-기둥 접합부에 역드랍 패널을 설치하여 전이슬래브 2면 전단강도를 확보하고 역드랍 패널이 설치되지 않는 나머지 구간은 피트층 설비공간의 이동경로로 활용하여 전체적으로 전이슬래브의 두께를 절감할 수 있다. 이에 따라 본 연구에서는 전이슬래브의 두께 절감 방안으로 역드랍 패널을 적용한 전이슬래브 시스템의 구조적 성능을 검토하고자 하였다.
그런데 역드랍 패널 적용 전이슬래브 시스템은 일반적으로 많이 사용되는 슬래브 드랍 패널과 달리 패널이 슬래브 상부에 배치되어 전이층의 층고를 줄이는 방안으로 드랍 패널이 슬래브 인장측에 존재하기 때문에 구조적 성능에 대한 검증이 필요하다고 할 수 있다. 특히 역드랍 패널이 전이슬래브-기둥 접합부의 2면 전단강도 개선에 미치는 영향을 분석할 필요가 있으며, 상기 2면 전단강도 개선을 위한 상세에 대한 검토도 필요하다고 할 수 있다.
또한, 전이슬래브와 같이 두께가 두꺼운 슬래브의 경우에는 두께가 얇은 슬래브의 경우와 거동양상이 다르다는 기존 연구(Jeong and Kang, 2018)를 통해 볼 때, 합리적이고 안전한 설계를 위해서는 역드랍 패널을 적용한 전이 슬래브-기둥 접합부의 2면 전단거동 양상에 대한 분석이 필요하다는 것을 알 수 있다.
이에 따라 본 연구에서는 다양한 설계변수에 대한 역드랍 패널 전이슬래브의 거동특성을 비교적 정확하게 해석하기 위해 비선형 유한요소해석 프로그램을 사용하여 역드랍 패널을 적용한 전이슬래브-기둥 접합부의 2면 전단거동 양상을 분석하였다. 또한 해석 결과를 기반으로 역드랍 패널 전이슬래브-기둥 접합부의 2면 전단강도를 합리적으로 확보하기 위한 철근상세를 제안하였다. 최종적으로 비선형 유한요소해석을 통해 산출된 전이슬래브-기둥 접합부의 2면 전단강도를 기존의 평가식인 KCI(KCI, 2012), ACI(ACI 318, 2008) 2면 전단강도 평가식에 의한 평가결과와 비교·분석하여 역드랍 패널을 적용한 전이슬래브 시스템에 대하여 기존 평가식의 적용성을 검토하였다.
2. 해석 모델 및 변수 선정
2.1 비선형 유한요소해석 모델
역드랍 패널을 적용한 전이슬래브-기둥 접합부의 2면 전단강도를 분석하기 위하여 전이슬래브 해석에 있어 기존 연구(Jeong and Kang, 2018)에서 검증된 재료모델과 비선형 유한요소해석 프로그램인 Midas FEA(Midas, 2008)를 사용하였다. 본 연구에서는 절점당 3개의 자유도를 갖는 육면체의 유한요소를 사용하였으며, 재료모델은 기존 연구(Kang et al., 2016; Jang et al., 2018)를 통해 슬래브의 전단강도 평가에 적합하다고 알려진 콘크리트 균열 모델인 이산균열모델(Fig. 2(a))의 전변형률 균열 모델(Total strain crack model)을 사용하였다. 전변형률 균열 모델은 국부적으로 발생하는 균열이 넓은 면에 고르게 분산된 것으로 가정하는 방법을 사용하며 일반적으로 철근이 많이 배근된 철근콘크리트 구조물의 해석에 적합하다고 알려져 있다. 또한 상기 모델은 유한요소 모델링이 비교적 간단하며 유한요소해석 진행 시 수렴성이 뛰어난 것으로 알려져 있다(Midas, 2008).
본 연구에서는 고정 균열모델과 회전 균열모델 중에서 균열축이 주변형률의 변화에 따라 균열 방향이 지속적으로 회전한다고 가정한 방법인 회전 균열모델(Fig. 2(b))을 사용하였으며 상기 모델 방법은 유한요소해석 결과의 수렴성이 우수하여 철근콘크리트 구조물의 비선형 해석에 자주 사용되고 있다(Midas, 2008; Jeong and Kang, 2018).
콘크리트 압축모델로는 Thorenfeldt의 경화 곡선 모델(Fig. 3(a))을 사용하였으며, 구성식은 식 (1)과 같다. 상기 압축 모델은 횡구속에 따른 콘크리트의 강도와 연성 증가를 합리적으로 표현하는 것으로 알려지고 있다(Thorenfeldt et al., 1987).
| $$f=-f_p\frac{\alpha_i}{\alpha_p}\left(\frac n{n-1+\left(\frac{\alpha_i}{\alpha_p}\right)^{nk}}\right)$$ | (1) |
여기서,
콘크리트의 인장모델은 Park(1995)의 연구결과를 토대로 콘크리트와 철근의 부착 효과가 철근이 항복할 때까지 콘크리트의 인장응력에 영향을 미치며 부착효과가 철근의 항복 이후에는 콘크리트의 인장응력에 영향을 미치지 못한다고 가정한 모델로 Fig. 3(b)와 같이 정의하였다.
철근의 파괴기준은 R.Von Mises(1913) 파괴기준을 적용하였으며, 철근은 bar element를 사용하여 입체요소 내부에 3차원 곡선 모델링을 하였다(Midas, 2008).
2.2 해석 변수 선정
기존연구(Jeong and Kang, 2018)에 따르면 국내 공동주택의 경우 전이슬래브 하부 공간을 주차장 공간으로 활용하여 경간이 5~6m로 짧기 때문에 전단경간 비가 0.9~1.8로 매우 짧아지게 된다. 이에 따라 해석 모델의 전단경간 비를 0.96~1.73으로 선정하여 모델링을 진행하였다. 해석모델의 프로토타입은 향후 실물 실험 진행을 통한 결과와 해석결과를 비교·분석하기 위해 실험 진행이 가능한 크기로 선정하였다. 해석 모델에 대한 상세는 Table 1과 같으며 Fig. 4와 같이 모델링하였다.
Table 1 Analysis models with various design parameters
= Shear span ratio, = Reinforcement ratio, = Shear reinforcement ratio, = Concrete Compressive strength
기본 해석모델(N-S-1)의 경우 전이슬래브 부분의 크기는 1800mm×1800mm×450 mm(슬래브 길이×슬래브 길이mm×슬래브 두께 mm), 기둥의 단면 크기는 550mm×550mm로 선정하였다. 또한 콘크리트의 압축강도는 일반적으로 많이 사용하는 30MPa로 적용하였으며, 철근의 항복강도는 400MPa로 적용하여 인장철근비는 0.8%, 압축철근비는 0.2%로 배근하였다. 또한 실물 실험 진행시 지지조건을 고려하여 4변 모두 양단부터 200mm 떨어진 지점에 롤러로 지지하였다. 기본 해석모델(N-S-1)의 형태와 하중재하방식은 Fig. 4에서 역드랍 패널이 없는 것과 같으며 N-S-1의 해석모델의 상세는 Fig. 5(a)와 같다.
N-S-2 해석 모델의 경우 전이슬래브 부분의 크기를 2800mm ×2800mm로 선정하고 4변 모두 양단부터 200mm 떨어진 지점에 롤러로 지지하여 전단경간 비를 1.73으로 증가시킨 해석모델로서 전단경간 비 증가에 따른 거동특성을 알아보기 위한 해석모델이다.
R-S-1 해석 모델의 경우 역드랍 패널을 설치한 모델로 N-S-1해석모델과 역드랍 패널의 적용 유무에 따른 강도비교를 위한 해석모델로 역드랍 패널의 크기는 1000mm×1000mm×200mm로 선정하였으며, 역드랍 패널 부분의 콘크리트 압축강도는 30MPa를 사용하였다. 또한 철근은 전이슬래브 부분과 마찬가지로 400MPa로 적용하여 배치하였으며 R-S-1 해석모델의 상세는 Fig. 4 그리고 Fig. 5(b)와 같다.
R-S-2 해석 모델의 경우, 시공성을 위해 역드랍 패널 부분의 철근을 전이슬래브에 정착하지 않은 모델로서, 철근정착 상세에 따른 강도를 비교하기 위한 실험체이다. R-S-1과 R-S-2의 철근정착 상세의 차이는 Fig. 6과 같다.
R-S-3 해석 모델의 경우 전단경간 비가 증가하였을 때 역드랍 패널을 적용한 전이슬래브-기둥 접합부의 2면 전단강도의 변화를 알아보기 위한 해석모델로 전이슬래브의 크기를 2800mm ×2800mm×450mm로 증가시켰으며, 역드랍 패널의 크기는 2000mm×2000mm×200mm로 증가시켰다. 또한 지지조건 등 다른 요인들은 기본 해석모델과 동일하게 구성하였다.
R-S-4 해석 모델은 역드랍 패널 부분만의 콘크리트 압축강도를 45MPa로 증가시켜 부분적인 콘크리트 압축강도 증가에 따른 전단성능 개선을 비교하기 위한 해석 모델이며, R-S-5 해석 모델은 전단보강근 배치에 따른 강도 변화를 알아보기 위한 실험체로 400MPa 철근을 철근비 =0.2%로 Fig. 5(c)와 같이 배치하였다. 마지막으로 R-S-6 해석 모델의 경우 역드랍 패널 크기에 따른 강도변화를 알아보기 위해 역드랍 패널의 크기를 1000mm×1000mm×200mm로 줄였으며 다른 구성요소는 R-S-3 해석 모델과 동일한 실험체이다.
3. 변수해석 결과 분석
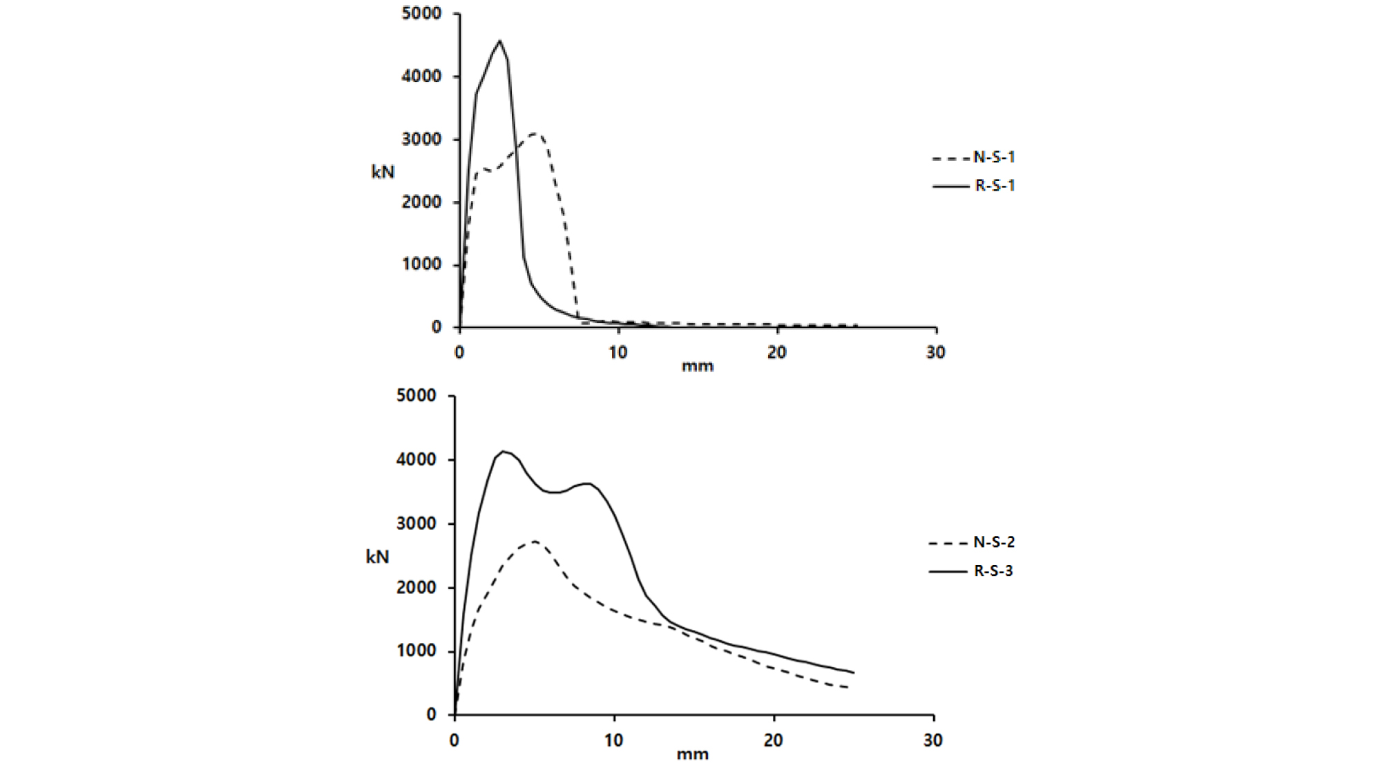
본 연구에서는 앞에서 선정한 해석 변수들에 대하여 변수해석을 진행하였다. Fig. 7~Fig. 12에 나타난 그래프는 각 해석 변수에 따른 전이슬래브-기둥 접합부의 2면 전단강도를 나타내는 그래프로 X축은 해석 모델 중앙부에 상향으로 발생하는 처짐(mm)을 나타내며, Y축은 2면 전단강도(kN)를 나타낸다.
3.1 역드랍 패널
Fig. 7은 역드랍 패널 적용에 따른 전이슬래브-기둥 접합부의 2면 전단강도를 나타내는 그래프이다. 수치해석 결과 N-S-1과 R-S-1 해석 모델의 2면 전단강도가 각각 3093.7kN, 4585.9kN으로 나타났으며, N-S-2와 R-S-3의 2면 전단강도가 각각 2731.5kN, 4133.47kN으로 나타났다. 따라서 역드랍 패널의 적용으로 인한 전이슬래브의 2면 전단강도가 각각 48%, 51% 증가했다는 것을 알 수 있으며, 이는 역드랍 패널을 적용하였을 때 역드랍 패널을 포함한 두께 증가량(45%)에 비례하여 전이슬래브-기둥 접합부의 2면 전단강도가 증가한다는 것을 알 수 있다. 따라서, 역드랍 패널 적용으로 인하여 전이슬래브의 2면 전단성능을 증가시킬 수 있고, 이를 통해 전이슬래브 두께를 효과적으로 줄일 수 있음을 의미한다.
3.2 철근 정착 상세
Fig. 6은 철근 정착 상세를 적용하지 않은 해석모델(R-S-2)과 철근 정착 상세를 적용한 해석모델(R-S-1)의 철근 배근 상세를 나타내는 단면도로 빨간색 선으로 표시한 부분이 정착철근의 상세를 나타낸다. R-S-1 해석 모델의 경우 역드랍 패널 부분의 휨철근의 정착을 슬래브 내부까지 적용한 철근 배근 상세이며, R-S-2 해석 모델의 경우 역드랍 패널의 휨철근을 역드랍 패널 내부에서만 정착하고 슬래브에는 정착하지 않는 철근 배근 상세로 철근 정착 상세에 따른 전이슬래브의 2면 전단강도를 비교하기 위한 변수해석 모델이다.
Fig. 8은 철근 정착 상세에 따른 전이슬래브-기둥 접합부의 2면 전단강도를 나타내는 그래프이다. Fig. 8에서 보이는 바와 같이 철근 정착 상세를 적용한 R-S-1 해석모델의 경우 역드랍 패널 부분의 두께 증가량(45%)만큼 전이슬래브-기둥 접합부의 2면 전단강도가 증가한 것을 알 수 있다.
하지만 철근 정착상세를 슬래브에 적용하지 않은 R-S-2 해석모델의 경우 역드랍 패널을 적용하여도 강도가 증가되지 않는다는 것을 알 수 있다. 따라서 전이슬래브 부분과 역드랍 패널 부분의 철근 정착상세가 중요하다는 것을 알 수 있다. 역드랍 패널을 적용한 전이슬래브-기둥 접합부에서 역드랍 패널에 의한 2면 전단강도를 반영하기 위해서는 전이슬래브와 역드랍 패널부분의 일체거동이 중요하며, 이를 위해서는 역드랍 패널의 휨철근을 슬래브 내부로 충분히 정착시켜야 함을 의미한다.
3.3 전단경간 비
Fig. 9는 전단경간 비에 따른 역드랍 패널을 적용한 전이슬래브-기둥 접합부의 2면 전단강도를 나타내는 그래프이다. Fig. 9에서 나타난 바와 같이 전단 경간 비가 큰 해석모델인 R-S-3의 2면 전단강도(4133.47kN)가 전단 경간 비가 작은 해석 모델인 R-S-1의 2면 전단강도(4585.94kN)보다 작다는 것을 알 수 있다. 따라서, 일반적인 전이슬래브의 전단경간 비가 증가할수록 전이슬래브-기둥 접합부의 2면 전단강도는 감소한다는 기존 해석연구(Jeong and Kang, 2018)와 마찬가지로 역드랍 패널을 적용한 전이슬래브의 경우에도 전단경간 비가 증가할수록 전이슬래브-기둥 접합부의 2면 전단강도는 감소되는 것으로 판단된다.
3.4 역드랍 패널의 콘크리트 강도
Fig. 10는 역드랍 패널부분의 콘크리트 강도에 따른 역드랍 패널을 적용한 전이슬래브-기둥 접합부의 2면 전단강도를 나타내는 그래프이다. Fig. 10에서 보이는 바와 같이 역드랍 패널 부분에만 고강도 콘크리트를 적용한 해석모델(45MPa)인 R-S-4와 고강도를 적용하지 않은 해석 모델(30MPa)인 R-S-3의 전이슬래브-기둥 접합부의 2면 전단강도가 각각 4154.97kN, 4133.47kN으로 거의 차이가 없다는 것을 알 수 있다. 이는 역드랍 패널이 인장에 저항하는 역할을 하기 때문에 역드랍 패널의 콘크리트 강도는 2면 전단강도에 별다른 영향을 미치지 않는다는 것을 의미한다. 따라서, 역드랍 패널부분의 콘크리트 압축강도만 증가시키는 것은 역드랍 패널을 적용한 전이슬래브-기둥 접합부의 2면 전단강도에 거의 영향을 미치지 않는 것으로 판단된다.
3.5 전단보강근
Fig. 11은 전단보강근에 따른 역드랍 패널을 적용한 전이슬래브-기둥 접합부의 2면 전단강도를 나타내는 그래프이다. Fig. 11에 보이는 바와 같이 전단보강근을 0.2% 추가하여 설치한 해석모델인 R-S-5의 경우와 전단보강근을 설치하지 않은 해석모델인 R-S-3의 전이슬래브-기둥 접합부의 2면 전단강도가 각각 4718.13kN, 4133.47kN으로 나타났다.
따라서, 역드랍 패널을 적용한 전이슬래브의 경우에도 전단보강근을 추가적으로 배근하게 되면 전이슬래브-기둥 접합부의 2면 전단강도를 증가시킬 수 있다고 판단된다.
3.6 역드랍 패널 길이
Fig. 12는 역드랍 패널의 길이에 따른 역드랍 패널을 적용한 전이슬래브-기둥 접합부의 2면 전단강도를 나타내는 그래프이다. Fig. 12에서 보이는 바와 같이 역드랍 패널의 길이가 2,000mm인 해석모델 R-S-3의 경우와 1,000mm인 해석모델 R-S-6의 경우 전이슬래브-기둥 접합부의 2면 전단강도가 각각 4133.47kN, 3652.92kN으로 나타났다. 따라서, 역드랍 패널을 적용한 전이슬래브-기둥 접합부의 2면 전단강도에 역드랍 패널의 길이가 영향을 미치며 역드랍 패널의 길이가 증가할수록 전이슬래브-기둥 접합부의 2면 전단강도가 증가하는 것으로 판단된다. Fig. 13은 역드랍 패널을 적용한 전이슬래브의 패널 길이에 따른 파괴양상의 차이를 나타내주는 해석 결과로 적색으로 표시된 위치가 균열이 심하다는 것을 나타낸다.
Fig. 13에서와 같이 역드랍 패널의 길이가 짧은 슬래브의 경우에는 역드랍 패널 외부에서 적색으로 나타난 부분이 많은 것으로 보아 패널 외부에서 전단균열이 일어난다는 것을 알 수 있으며 역드랍 패널의 길이가 상대적으로 긴 슬래브의 경우에는 역드랍 패널 내부에서 적색으로 표시된 부분이 많은 것으로 보아 패널 내부에서 균열이 발생한다는 것을 알 수 있다. 이에 따라 역드랍 패널의 길이에 따라서 파괴영역의 위치가 달라진다는 것을 알 수 있었다.
Fig. 14는 역드랍 패널을 적용한 전이슬래브-기둥 접합부의 2면 전단강도의 예상 강도를 산출하기 위한 개념도이다. Fig. 14에 보이는 바와 같이 역드랍 패널을 적용하는 경우 역드랍 패널 바깥 부분에서의 파괴가 일어날 때의 2면 전단강도()와 안쪽에서 파괴가 일어날 때의 2면 전단강도() 중 작은 값이 지배적일 것으로 판단된다.
이에 따라 기존의 전이슬래브-기둥 접합부의 2면 전단강도 평가식인 KCI, ACI 평가식으로 R-S-3 모델에 대하여 산출한 결과 Fig. 15과 같이 나타났으며, 이는 KCI 평가식의 경우 역드랍 패널의 길이가 2,700mm 이상일 경우 가 되며, ACI 평가식의 경우 2,100mm 이상일 경우 가 된다는 것을 의미한다. 다만, 실제 해석에서는 역드랍 패널의 길이가 2,000mm 인 해석모델(R-S-3)에서도 인 현상이 일어났으며, 이는 설계기준이 다소 안전측의 패널길이 산출결과를 가져온다고 볼 수 있다.
따라서, 역드랍 패널이 적용된 전이슬래브를 설계할 때, 역드랍패널에 의한 2면 전단강도 향상을 위해서는 Fig. 15와 같이 가 되도록 하는 역드랍 패널의 길이를 산출하여 역드랍 패널 내부에서 파괴가 일어날 수 있도록 역드랍 패널의 길이를 충분히 확보해야 한다고 판단된다.
4. 2면 전단강도 평가
설계변수에 따른 수치해석 결과의 평가를 위해 비선형 해석 모델의 2면 전단강도와 ACI 318(ACI Committe 318, 2008), KCI 2012(Korean Concrete Institute, 2012) 기준의 2면 전단강도 평가식에 의한 2면 전단강도 예측 값을 비교·분석하였다. 역드랍 패널을 적용한 전이슬래브-기둥 접합부의 2면 전단강도를 산출하기 위한 미국의 콘크리트 구조설계기준인 ACI 318의 2면 전단성능 평가 설계기준은 식 (2)와 같다.
| $$V_{c,ACI}=\frac16\sqrt{f_{ck}}b_0d\times\min\left\{\left(1+\frac2{\mathrm\beta}\right),\left(1+\frac{{\mathrm a}_{\mathrm s}\mathrm d}{2{\mathrm b}_0}\right),2\right\}\;$$ | (2) |
여기서, = 콘크리트 압축강도, = 슬래브의 유효두께, = 뚫림전단 위험단면 둘레의 길이(기둥면으로부터 에 위치), = 집중하중이나 반력을 받는 면적의 짧은 변에 대한 긴 변의 비, = 접합부 형태에 따른 계수로서 내부기둥에 대해서 40, 외부기둥(모서리기둥 제외)에 대하여 30, 모서리기둥에 대해서 20을 사용한다.
또한 국내 콘크리트 구조기준인 KCI 2012의 2면 전단성능 평가를 위한 설계기준은 식 (3)과 같다.
| $$V_{c,KCI}=v_cb_0d$$ | (3) |
여기서, , , , , ,, , = 슬래브의 두께계수, = 위험단면 둘레길이의 영향계수, = 압축대 콘크리트 인장강도, = 슬래브 휨 압축대의 균열각도, = 압축철근의 영향을 무시하고 계산된 슬래브 위험단면 압축대 깊이의 평균, = 위험단면의 슬래브 압축대에 작용하는 평균압축응력, = 슬래브의 휨철근비로서 ≤0.003의 범위에서 사용할 수 있으며 가 0.005이하인 경우 0.005를 사용할 수 있다.
Table 2는 비선형 유한요소해석을 통해 산출한 2면 전단강도와 기존의 2면 전단강도 평가식(KCI 2012, ACI 318)에 의해 예측된 평가결과 값을 비교한 표이다. 상기 예측평가결과에서는 역드랍 패널 내부 또는 외부 파괴를 반영하기 위하여 FEA해석을 통해 파괴양상을 분석한 후, 파괴가 일어난 위험단면에서의 2면 전단강도를 예측평가 결과로 결정하였다(Fig. 14 참조). 또한 R-S-2 해석 모델의 경우 철근의 정착상세 문제로 인한 강도발현이 되지 않았기 때문에 강도비교에서 제외하였다. Table 2에서 보이는 바와 같이 ACI 2면 전단강도 평가식의 경우 변수 해석 모델에 대한 FEA해석결과와 예측한 2면 전단강도의 비율이 평균 0.942, 표준편차 0.1655로 나타났다.
Table 2 Comparison of shear strengths by FEA and shear strengths predicted by current design codes
하지만 R-S-1과 R-S-3 해석모델의 FEA 해석결과 전단경간 비가 증가할수록 전이슬래브-기둥 접합부의 2면 전단강도는 감소하는 것으로 나타났는데, ACI 평가식의 경우 전단경간 비 변화에 따른 2면 전단강도를 예측할 수 없는 것으로 나타났다. 이는 식 (2)에 보이는 바와 같이 전단경간 비를 고려하지 않기 때문이라고 판단된다.
KCI 2면 전단강도 평가식의 경우에는 변수 해석 모델에 대한 FEA 해석결과와 예측한 2면 전단강도의 비율이 평균 0.965, 표준편차 0.1419로 나타났으며, ACI 2면 전단강도 평가식에 비해 비교적 예측결과가 정확한 것으로 나타났다. 이는 KCI 2면 전단강도 평가식이 크기효과와 휨철근비를 적절하게 고려하였기 때문이라고 판단된다(Park and Choi, 2007; Park et al., 2011). 따라서, 역드랍 패널을 적용한 전이슬래브의 2면 전단강도를 합리적으로 평가하기 위해서는 KCI 2면 전단강도 평가식을 사용하는 것이 바람직하다고 판단된다. 다만, KCI 모델의 경우에도 전단경간비에 대한 2면 전단강도 변화를 고려할 수 없기 때문에 Muttoni(2008)의 연구를 반영하여 이에 대한 개선이 필요하다고 판단된다.
5. 결 론
본 연구에서는 역드랍 패널을 적용한 전이슬래브-기둥 접합부의 전단거동을 분석하기 위하여 2면 전단강도를 비교적 정확하고 합리적으로 평가할 수 있는 비선형 유한요소해석을 수행하였다.
역드랍 패널 적용, 역드랍 패널 휨철근 정착 상세, 역드랍 패널의 길이, 전단경간 비, 역드랍 패널의 고강도 콘크리트 사용, 전단보강근 사용을 해석 변수로 선정하였다. 상기 변수들이 역드랍 패널을 적용한 전이슬래브-기둥 접합부의 2면 전단강도에 미치는 영향에 대하여 분석하였다. 또한 변수해석 결과를 기존의 2면 전단강도 평가식인 KCI 2012, ACI 318로 산출한 2면 전단강도와 비교·분석하였으며, 본 연구를 통해 분석 및 평가한 결과는 다음과 같다.
1) 변수해석 결과 분석에서 보이는 바와 같이 역드랍 패널을 적용하였을 때 전이슬래브-기둥 접합부의 2면 전단강도는 역드랍 패널에 의한 두께 증가량에 비례하여 증가하는 것으로 판단된다.
2) 역드랍 패널부분과 슬래브 부분의 철근 정착 상세를 적용하여야 역드랍 패널을 적용한 전이슬래브-기둥 접합부의 2면 전단강도를 발현할 수 있으며, 이는 역드랍 패널 부분과 슬래브 부분의 일체거동이 중요하다는 것을 의미한다.
3) 일반적인 전이슬래브와 마찬가지로 전단경간 비가 증가할수록 역드랍 패널을 적용한 전이슬래브-기둥 접합부의 2면 전단강도는 감소하는 것으로 나타났다.
4) 역드랍 패널 부분만 고강도 콘크리트를 사용하는 것은 전이슬래브-기둥 접합부의 2면 전단강도에 영향을 미치지 않는다고 판단된다.
5) 일반적인 전이슬래브와 마찬가지로 전단보강근을 사용하여 전이슬래브-기둥 접합부의 2면 전단강도를 증진시킬 수 있는 것으로 판단된다.
6) 역드랍 패널의 길이가 증가할수록 전이슬래브-기둥 접합부의 2면 전단강도가 증가한다는 것을 알 수 있으며, 역드랍 패널을 적용한 전이슬래브-기둥 접합부의 2면 전단강도를 발현하기 위해서는 역드랍 패널의 길이를 정확한 계산을 통해 충분히 확보하여 역드랍 패널 내부에서 2면 전단파괴가 일어나도록 유도해야 한다.
7) 기존의 2면 전단강도 평가식(ACI, KCI)으로 역드랍 패널을 적용한 전이슬래브-기둥 접합부의 2면 전단강도를 평가한 결과, FEA해석결과와 상기 방법으로 예측한 2면 전단강도의 비율이 ACI 평가식의 경우 평균 0.942, 표준편차 0.1655, KCI 평가식의 경우 평균 0.965, 표준편차 0.1419로 나타났다. 따라서 역드랍 패널을 적용한 전이슬래브-기둥 접합부의 2면 전단강도 평가 시 KCI 2면 전단 강도 평가식을 사용하는 것이 조금 더 유효하다고 판단된다. 하지만 KCI, ACI의 2면 전단강도 평가식 모두 전단경간비에 대한 2면 전단강도 변화를 고려할 수 없기 때문에 2면 전단강도 산출 시 전단경간비를 고려할 수 있도록 설계평가식의 개선이 필요하다고 판단된다.

















