1. 서 론
일반적으로 장대교량 및 초고층건물과 같이 세장한 구조물은 풍방향 응답보다 풍직각방향 응답이 지배적이라는 것은 잘 알려진 사실로 지금까지 초고층건물의 풍방향 및 풍직각방향 응답 특성에 대한 많은 선행연구가 수행되었다(Cho, et al., 2006; Kim, 2012; Kim and Ha, 2004; Kim et al., 2015; Kwok et al., 1988; Tanaka et al., 2012).
특히, Tanaka 등(2012)은 다양한 형상을 가진 스물여덟개의 초고층건물에 대해 풍력실험과 풍압실험을 수행하여 평균 및 변동풍력계수, 스펙트럼 등의 풍력과 풍압분포의 특성에 대해 비교·분석하였다. 실험결과 나선형(helical shape)과 복합형 (composite shape)의 초고층건물이 평균 풍하중뿐만 아니라, 변동풍하중의 저감에 있어서 매우 효과적인 것으로 나타났다. 그러나 Tanaka 등(2011)의 연구결과에 의하면 복합형 초고층건물의 경우, 비록 풍하중 및 변위응답은 정형적인 정방형 초고층건물에 비해 작게 평가될지라도, 거주성능관점 에서 중요한 인자인 가속도 응답은 정방형 건축물의 가속도 응답과 비교해 높게 평가된다고 보고된 바 있다.
한편, 풍응답 특성에 관한 연구에 주로 이용되고 있는 풍력 실험(또는 high-frequency force balance test)의 경우, 초고층건물의 진동에 따른 부가적인 변동공기력(variable aerodynamic force)의 특성은 알 수 없다는 단점이 있다. 몇몇 선행연구에서는 풍진동 실험(aeroelastic model test)을 통해 공력불안정 진동(aeroelastic instability) 및 공력감쇠 (aerodynamic damping)에 관한 연구도 있지만, 대부분은 정형적인 정방형/장방형 또는 테이퍼형(tapered shape) 고층건물(또는 초고층건물)을 대상으로 연구가 진행되었다 (Cho and Lee, 2009; Chung, 2001; Kawai, 1998; Kim, 2014; Murakawa et al., 1996; Quan et al., 2005; Watanabe et al. 1997; You et al., 2005).
본 연구에서는 변위응답 및 가속도 응답의 저감 효과에 있어서, 유리한 형상인 180° 나선형(helical 180°) 초고층건물을 대상으로 풍진동 실험을 수행하여 나선형 초고층건물의 공력불안정 진동특성 및 공력감쇠 특성을 조사하였고, 정방형 초고층건물의 결과와 비교․분석하였다. 본 연구에서의 공력감쇠율은 RD법(random decrement technique)을 이용하여 평가하였다.
2. 풍동실험
2.1 공력진동모형
Table 1은 본 연구에서 가정한 초고층건물과 공력진동모형 (rocking vibration model)의 제원을 나타낸 것이다. 실험결과 비교를 위해 180° 나선형모형(이하, helical 180)과 정방형모형(이하, square)의 동적특성은 동일한 조건으로 설정하였다. 본 모형의 축척은 질량비의 제약에 의해 1/694로 설정하였다. 또한 질량비는 기부를 회전중심으로 하는 회전 관성모멘트(rotational inertia)를 이용하여 평가하였다 (I/ρB2H3; 여기서, I: 회전관성모멘트, ρ: 건물 밀도, B: 건물 폭, H: 건물 높이). 일반적으로 구조감쇠율은 건물의 높이가 증가함에 따라 감소하는 경향을 보이며, 150m 이상의 건물의 경우, 구조감쇠율은 1%미만이라고 보고된바 있다 (ESDU, 2000). 따라서 본 논문에서는 구조감쇠율을 0.5%로 가정 하였다. 기타 상사조건은 기존 문헌을 참고하여 설정 하였다(Cho et al., 2005; Ha et al., 2002; Kim and Kim, 2015). Fig. 1은 풍진동 실험장치를 도식으로 표현 하였다. Fig 1과 같이 풍진동 실험을 수행하는 동안 발생하는 노이즈의 영향을 최소화하기 위해 풍동과 완전히 분리된 지지대 위에 짐발을 설치하였다. 짐발의 회전중심을 풍동실험 바닥과 일치시킨 후, 모형을 짐발 위에 설치하였다. 시스템의 강성과 구조감쇠율은 하부에 설치된 스프링과 자석댐퍼를 이용하여 목표 값이 되도록 조절하였다. 시스템의 1차 모드의 고유진동수(10.3Hz)가 되도록 모형 상부에 부가질량을 추가 하였고, 1차 모드의 구조감쇠율은 0.5%가 되도록 설정하였다. 진동변위는 레이저 변위계를 사용하여 계측하였으며, 하부에서 계측된 변위를 모형의 최상위에서의 변위로 환산하였다.
Table 1
Specification of rocking vibration model test
2.2 자유진동법
한편, 진동모형의 고유진동수는 FFT를 이용하여 구하였다. 이때 FFT 분석 데이터는 4,096개를 사용하였고, window (hamming window)를 통해 부분 분할에 의한 데이터의 불연속성에 대한 보정을 수행하였다. 구조감쇠율은 자유진동 파형을 이용해 식 (1)로부터 구할 수 있다.
자유진동실험에 있어서, 샘플링 주파수는 1000Hz으로 계측하였고, Square의 구조감쇠율은 자유진동파형에서 양의 50개의 피크 값을 이용하여 산출하였다. Fig. 2에서와 같이 Square의 경우, 풍방향과 풍직각방향으로의 구조감쇠율은 약 0.5%이었으며, Helical 180의 경우에도 0.5%의 구조 감쇠 율에 일치하는 것을 확인하였다.
2.3 접근류의 특성 및 실험개요
풍동실험은 폭 2.2m, 높이 1.8m인 대형경계층풍동(open- circuit type)에서 수행되었다. Fig. 3은 풍동 내 공력진동 모형의 설치 예를 나타낸 것이다. Fig. 4는 풍동 내 기류의 평균풍속과 난류강도의 연직분포 및 풍속의 파워스펙트럼 밀도를 나타낸 것이다. 실험에서 계측된 변동풍속의 파워 스펙트럼은 Von Karman 스펙트럼과 잘 부합되는 것을 알 수 있다. 또한 모형 높이에서의 난류스케일(turbulence scale)은 0.53m이며, 이 값을 실 규모로 변환하면 건축구조기준 및 해설(KBC 2009)에서 제시하는 난류스케일인 365m와 유사한 370.1m이 된다. 따라서 풍동에서의 길이스케일(1/694)도 적절하게 반영되었다고 볼 수 있다. 실험풍속은 모형정상부 에서의 평균풍속으로 6.0~12.8m/s 범위를 0.34m/s(20rpm) 간격으로 증가시키면서 실험을 수행하였다. 풍속의 스케일은 약 1/7로, 실험풍속을 실물풍속으로 환산하면 42m/s~ 90m/s가 된다. 즉, 건물 정상부에서의 평균풍속 90m/s는 설계풍속인 71m/s의 1.27배에 해당된다. 실험풍향은 모형의 대칭성을 고려하여 Helical 180의 경우, 풍향 0~45°까지 5°간격으로 고려하였고, Square는 풍직각방향의 변위응답이 가장 크게(작게) 발생하는 풍향인 0°, 45°의 2개 풍향만을 고려하였다. 계측시간은 RD법을 이용하여 공력감쇠율을 평가 하기 위해, 샘플링 주파수 300Hz로 240초(실제 10분에 해당 하는 샘플 40개) 동안 계측하였다. 최상부의 변위응답은 무차원 변위의 평균치와 표준편차로 평가하였다.
3. RD법(Random decrement technique)
불규칙 응답으로부터 구조물의 동적특성(고유진동수, 감쇠율)를 추정하는 방법 중에 하나로 RD법이 이용되고 있다. RD법은 자기상관 함수 추정법의 하나로서(Vandiver et al., 1982), 1970년 전후로 NASA의 Cole(1968, 1973)에 의해 제안 되었다. RD법의 연구배경 중 하나는 시스템의 불규칙 응답에 대한 감쇠를 추정함에 있어, 주로 이용되던 파워스펙트럼의 하프파워법(half power bandwidth)의 비선형성의 문제점을 보완하기 위해 제안되었다(rodrigues and brincker, 2005). 그 이후 건축/토목 등 다양한 분야에서 RD법이 적용되고 있다. 특히, 구조물의 풍진동에 의한 변위응답으로부터의 공력감쇠를 추정하는데 있어, 유용한 방법 중의 하나로 선행 연구로부터 보고된바 있다(Kim, 2014; Marukawa et al., 1996).
RD법의 기본개념은 응답 x(t)로부터 초기조건에 대한 부분 샘플을 다수 추출하고, 그것을 앙상블 평균하여 RD 파형 를 식 (2)로 구할 수 있다.
여기서, N은 샘플수, ω(t)는 가중치(weight coefficient), c는 부분샘플을 특정하기 위한 초기 조건(triggering condition)이다.
초기 조건 c와 가중치, ω(t)의 조합에 의한 다양한 RD법이 고려될 수 있다. 대표적인 조합의 예는 Table 2와 같다 (Damping in building, 2000). 만약 구조물의 응답이 정상 가우스 과정(zero-mean stationary gaussian process) 이라면 Table 2는 모두 자기상관함수의 추정치(자유진동 파형)가 된다(Vandiver et al., 1982). 한편, 조합성 (2), (3)에서는 진폭을 한정하는 것으로, 시스템의 동특성을 갖는 진폭 의존성의 평가가 가능하다(Tamura and Suganuma, 1996).
본 논문에서는 기존문헌을 참고로 조합(4)를 이용하여 공력감쇠율을 산출하였다. 여기에서, 초기 조건 c는 x*= σx변위응답의 표준편차)를 적용하였다. 또한 구조물의 고유진동수, n0±30%에 밴드패스필터(band-pass filter)를 적용하여 자유 진동파형을 구하였다. RD법에 있어서 중요한 것 중에 하나는 응답의 시간이력으로부터 추출된 부분 샘플의 적절한 길이 (감쇠비 산출을 위해)와 부분 샘플의 앙상블 평균을 위해 충분히 길게 계측된 응답의 시간이력데이터가 요구된다(Rodrigues and Brincker, 2005). 이 논문에서는 앙상블 평균을 위한 샘플수는 모든 경우에 있어서, 5000~5500개 이상 고려 하였고, 기존 문헌을 참고로, 처음 다섯 개 사이클을 이용하여 공력감쇠율을 구하였다(Kim, 2015).
Table 2
Combination of most common triggering condition and weight coefficient
| Combination | Triggering condition(c) | weight coefficient (ω(t)) |
|---|---|---|
| (1) | x'(t)=0 | sgn(x) |
| (2) | x(t)∈R,x'(t)=0 | sgn(x) |
| (3) | x(t)=x* | 1 |
| (4) | x(t)=x*,x'(t)=0 | 1 |
x': Time differentiation of x(t); sgn(x): Sign of x*: Triggering level; R: Range of triggering level
Fig. 5은 Square의 RD법에 의한 X방향의 자유진동 파형의 예를 나타낸 것이다. 그림에서 RD법에 의한 자유진동 파형은 무차원 풍속(
)(reduced wind speed), 8.5 (400rpm), 10.8(500rpm)와 13.1(600rpm)에 대해 비교한 것이며, 자유진동 파형을 얻기 위한 샘플수는 5500 샘플 이상으로, 매우 깨끗한 자유진동 파형을 얻어졌음을 알 수 있다. 이렇게 구한 시스템의 1차 모드 감쇠율(1st mode damping ratio, ζ1)은 구조감쇠율(structural damping ratio, ζs)과 공력감쇠율(aerodynamic damping ratio, ζa)로 나눠 식 (3)으로 표현 가능하다(ESDU 83009, 2012).
따라서 RD법에 의해 평가된 초고층건물의 공력감쇠율은 식 (4)로 구할 수 있다.
4. 실험결과 및 고찰
4.1 변위응답의 특성
Fig. 6은 설계풍속시의 풍향각에 따른 무차원 평균변위 및 변동변위를 나타낸 것이다. 여기서 변동변위는 변위의 표준 편차(standard deviation)로 표현하였다. 풍향 0°일 때, Helical 180의 X방향(풍방향)에 대한 무차원 평균변위 및 변동변위는 Square의 약 80% 수준으로 평가되었다. 특히, Y방향(풍직각방향)의 무차원 변동변위는 Square의 13% 정도 수준으로 매우 작게 평가되었다. 풍향 45°에 대해서, X, Y방향의 무차원 평균변위 및 변동변위는 모두 비슷한 수준 으로 평가되었다. 특히, Helical 180의 경우, X, Y방향에 대한 무차원 변동변위에 대한 풍향의 영향은 매우 작은 것으로 나타났다.
Fig. 7은 풍향 0°일 때, 무차원 풍속에 따른 무차원 변동 변위응답을 나타낸 것이다. 실험결과에서 Square의 무차원 풍속 15이상의 결과는 레이저 변위계의 계측범위를 벗어나 제외하였다. X방향(풍방향)의 경우, Helical 180와 Square의 무차원 변동변위응답은 풍속이 증가함에 따라 점진적으로 증가하는 경향을 보였다(Fig. 7(a)). 즉, 버페팅 진동 (buffeting vibration)시의 공력감쇠력이 양(+)이 되어 풍속과 함께 증가하는 것으로 판단된다.
한편, Y방향(풍직각방향)의 경우, Helical 180의 무차원 변동변위 응답은 풍방향의 변동변위 응답과 유사한 경향을 보였다. 즉, 공력불안정 진동이 발생하지 않는 것이 확인 되었다. 하지만, Square의 무차원 변동변위 응답은 무차원 풍속이 증가하면서 무차원 변동변위 응답도 급격히 증가하며, 변동변위의 응답의 폭도 커지는 경향을 보였다(Fig. 7(b)). 즉, 풍속이 증가함에 따라 와류 방출 주파수(vortex shedding frequency)와 건물의 고유진동수가 일치(Lock-in)되고 공력 감쇠력이 음(-)으로 바뀌는 현상이 발생하는 것으로 보인다. 따라서 음(-)의 공력감쇠력에 기인한 공력불안정 진동이 발생 하여 변위응답이 발산하는 것으로 판단된다(Fig. 9참조).
4.2 파워스펙트럼의 특성
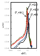
Fig. 8는 풍향 0°일 때, Square와 Helical 180에 대한 Y방향 변위응답(풍직각방향)의 파워스펙트럼 밀도를 나타낸 것이다. Fig. 8(a)에서, Square의 경우, 와류 방출 주파수와 건물의 고유진동수가 일치되는 현상(Lock-in)이 잘 보이며, 즉, 두 성분의 상호작용에 의한 부가적인 풍력이 발생하여 변위응답이 급격히 커지는 것을 알 수 있다(공진성분이 지배적 으로 작용). 또한 위의 결과는 Fig. 7(b)의 결과에도 잘 부합하고 있다. 한편, Helical 180의 경우도, Lock-in 현상이 보이고 있지만, 풍속이 증가함에도 불구하고, 접근류의 준정적 응답성분(background component)도 영향을 미치고 있는 것을 알 수 있다(Fig. 8(b)).
4.3 공력감쇠율의 특성
Fig. 9는 풍향 0°일 때, Square의 공력감쇠율과 기존문헌 (Kim, 2014; Marukawa et al., 1996; Quan et al, 2005) 및 준정상가정이론(quasi-steady theory)에 의한 공력감쇠율의 비교를 나타낸 것이다.
Fig. 9(a)에서 준정상 가정에 의한 1자유도계의 풍방향 진동의 공력감쇠율은 식 (5)의해 평가되었다.
여기서, M1: 일반화질량, n0: 건물의 고유진동수, ρ: 공기밀도, Cd: 항력계수, B: 건물의 폭, U: 평균풍속, μ: 건물의 모드형상으로 μ=z/H이다.
식 (5)의 항력계수는 KBC(2009)에서 제시하는 변장비(D/B=1) 1일 때의 항력계수(Cd) 1.3을 적용하였다.
X방향(풍방향) 공력감쇠율의 경우, 형상비(aspect ratio)의 차이와 기류의 조건이 다름에도 불구하고, 무차원 풍속에 따른 초고층건물의 공력감쇠율은 기존문헌 및 준정상가정의 결과 와도 매우 유사한 경향이 나타났다(Fig. 9(a)).
Y방향(풍직각방향) 공력감쇠율의 경우, 무차원 풍속 9 이후에는 어느 정도의 변동 폭은 있지만, 대체적으로 기존 문헌과 유사한 경향을 보였다. 그러나 무차원풍속이 9이하 에서는 Kim(2014)의 결과를 제외한 다른 문헌결과와는 다소 차이가 있음을 알 수 있다(Fig. 9(b)). 즉, 무차원 풍속 9이후에는 풍직각방향 스펙트럼 결과(Fig. 8(b))에서 보이는 것과 같이 Lock-in 현상이 기인하는 것으로 보이지만, 무차원 풍속 9이하에서의 결과의 차이는 형상비가 크면 클수록, 와류의 방출주파수에 민감하게 반응하는데, 본 논문의 형상비 (H/B=8)와 기존문헌(H/B=6, Marukawa et al., 1996; Quan et al., 2005)의 형상비의 차이에 기인한 것으로 판단된다.
Fig. 10은 Square와 Helical 180의 X풍향에 따른 공력감쇠율의 변화를 나타낸 것이다. Fig. 10에서 Helical 180의 방향에 대한 공력감쇠율의 변화를 살펴보면, 풍향 각이 증가하면서 공력감쇠율의 값도 줄어드는 경향을 보였지만, 무차원 풍속의 증가와 함께 선형적으로 증가하는 경향을 보였다. 그러나 Y방향에 대한 공력감쇠율은 풍향의 변화와 상관없이, 전반적으로 비슷한 값을 보였고, 무차원 풍속의 증가와 함께 변동의 폭은 작지만 선형적으로 증가하는 경향을 보였다. 즉, Helical 180의 풍직각방향에 작용하는 변위 응답에 있어서, 공력감쇠율의 영향은 미비한 것으로 보인다.
한편, Square의 X방향에 대한 공력감쇠율을 살펴보면, 풍향 0°인 경우, Helical 180의 결과와 매우 유사한 경향을 보였지만, 풍향이 변하면서 Helical 180과는 다소 다른 양상을 보이는 것을 알 수 있다. 특히, 풍향 45°의 경우, 무차원 풍속이 약 10이후부터 음(-)의 값을 보이다가, 무차원 풍속 약 13.5에서부터 양(+)의 값을 보이는 경향을 보였다.
Square의 Y방향에 대한 공력감쇠율을 살펴보면, Helical 180의 공력감쇠율과는 다른 양상을 보였다. 특히, 무차원 풍속 9.5에서 공력감쇠율이 최대 1.3%p까지 증가하는 경향을 보였다. 더욱이 무차원 풍속이 증가함에 따라 공력감쇠율도 급격히 줄어들고, 무차원 풍속 약 11이후에는 음(-)의 공력 감쇠계수를 보였다. 즉, 무차원 풍속 10이후에 풍직각방향에 대한 공력감쇠율이 급격히 감소함과 동시에 풍직각방향의 변위 응답이 급격히 커지는 현상(Fig. 7(b))과도 잘 일치하는 것을 알 수 있다.
5. 결 론
본 논문에서는 공력진동실험을 통해 정방형과 180° 나선형 형상을 갖는 초고층건물의 공력불안정 진동 특성과 공력 감쇠율의 특성에 관하여 조사하였다. 실험결과를 요약하면 다음과 같다.
(1)설계풍속에서 풍향 0° 일 때 180° 나선형모형의 무차원 평균변위 및 변동변위을 살펴보면, X방향(풍방향)에 대한 무차원 평균변위 및 변동변위는 정방형모형의 약 80% 수준으로 평가되었다. Y방향(풍직각방향)의 무차원 변동변위는 정방형모형의 13% 수준으로 매우 작게 평가 되었다.
(2)공력진동실험 결과 180° 나선형모형의 풍직각방향에 대한 공력 불안정 진동은 발생하지 않는 것이 확인 되었다.
(3)정방형과 180° 나선형모형에 대한 공력감쇠율의 특성을 살펴보면, Y방향에 대한 공력감쇠율은 형상 변화에 관계없이 유사한 경향을 보였지만, Y방향에 대한 공력 감쇠율은 건물 형상에 따라 매우 다른 양상이 나타나는 것을 알 수 있었다.
초고층건물에 작용하는 변위응답과 공력감쇠력은 매우 밀접한 상관을 갖고 있으며, 풍속의 크기와 건물의 형상에 따라 공력감쇠력의 특성도 매우 다르게 나타났다. 따라서 기류 특성 초고층건물의 형상변화, 응답특성과 공력감쇠율과의 상관관계에 관한 추가적인 연구가 필요할 것으로 판단된다.




















