1. 서 론
2. CFD-DEM 연동 해석 프레임워크
2.1 유체의 지배방정식과 CFD
2.2 입자의 지배방정식과 DEM
2.3 CFD-DEM 연동
3. 해석 모델 및 조건
3.1 채프의 구조
3.2 해석 파라미터 설정 및 제한사항
4. 해석 결과 및 고찰
4.1 채프운의 시공간 분포 예측
4.2 바람이 채프운의 분포에 미치는 영향 분석
4.3 채프 카트리지 초기 각도가 채프운의 분포에 미치는 영향 분석
4.4 폭발 압력이 채프운의 분포에 미치는 영향 분석
5. 결 론
1. 서 론
1943년 제2차 세계대전 중 처음으로 사용된 채프(Chaff)는 군용 함정 또는 항공기에서 적의 유도 공격을 기만하기 위해 사용되는 기만체이다. 기만체에는 대표적으로 플레어(Flare)와 채프가 있다. 플레어는 물체가 가지는 열을 이용한 적외선 추적을 방해하며, 채프는 전파를 이용하는 레이더에 의한 표적 탐지를 방해한다(Bae et al., 2017; Seo et al., 2012). 채프는 일반적으로 가늘고 긴 섬유의 형태를 가지며, 짧은 머리카락과 유사한 모양이다. 채프가 적의 레이더를 기만하기 위해서는 표적이 된 함정 또는 항공기와 유사하거나 더 큰 레이더 단면적(RCS: Radar Cross Section)을 형성해야 한다. 큰 RCS를 형성하기 위해서는 채프 카트리지의 채프들을 공간상에 넓게 확산시켜야 한다. 함정용 채프는 폭발에 의해 항공기용 채프는 항공기의 빠른 이동에 의해 확산된다. 이렇게 확산되어 있는 다수 채프들의 집합을 채프운(Chaff cloud)이라고 한다. 본 논문에서는 폭발을 통해 확산되는 함정용 채프를 중점적으로 연구하며, 함정용 채프운의 시공간 분포 특성을 분석하고 바람, 채프 카트리지 초기 각도, 그리고 폭발 압력이 함정용 채프운의 분포에 미치는 영향을 수치적으로 분석한다.
이전 연구에서 채프운의 시공간 분포를 모델링하기 위해 여러 가지 방법이 도입되었다. 가장 기초적이고 일반적인 방법은 확률분포를 이용하는 것이다. Bendayan과 Garcia(2015), Pandey(2013), Zuo 등(2019; 2021)은 채프운의 분포를 균일 분포의 구 형상으로 가정하였으며, Chae 등(2017)과 Pinchot 등(2005)은 정규분포의 구 형상을 가정하였다. Zhang 등(2019)은 4차원 모델링 프로그램 C4D를 이용하여 채프운의 분포를 나타냈다. 하지만 이러한 방법들은 채프의 동특성을 전혀 반영하지 않았으므로 실제 상황에서의 채프운 분포를 나타내기 어렵다. 따라서 채프운의 분포를 보다 실질적으로 모델링하기 위해 수치적인 방법이 도입되었다. Zhu 등(2018)은 폭발에 의한 채프의 초기 속도를 고려한 채프의 운동방정식을 계산하였으며, Huang 등(2018)과 Wang 등(2019a)은 전산유체역학(CFD: Computational Fluid Dynamics)을 도입하여 채프 사이의 공기역학적 간섭을 고려한 채프의 운동방정식을 계산하여 채프운의 시공간 분포를 나타냈다. 이러한 수치적인 방법은 확률분포를 이용한 방법보다 실제적인 채프운의 분포를 표현하였지만, 채프들 사이의 충돌에 의한 영향을 여전히 반영하지 못하였다.
본 논문에서는 CFD와 이산요소법(DEM: Discrete Element Method)을 연동한 CFD-DEM 단방향 연동모델을 이용하여 폭발과 환경조건에 의한 영향을 고려하였으며, 기존 연구들에서 고려하지 못했던 채프들 사이의 충돌까지 고려한 채프의 운동방정식을 기반으로 채프운의 시공간 분포를 해석한다.
2. CFD-DEM 연동 해석 프레임워크
채프의 동적 거동을 표현하기 위해 채프를 입자로 간주하여 운동방정식을 풀이하는 DEM 해석을 수행하였다. 공기의 속도와 압력을 계산하기 위해서는 CFD 해석이 필요하다. 본 논문에서는 채프운의 시공간 분포에 미치는 폭발 및 바람의 영향을 고려하기 위해서 공기 흐름에 대한 CFD 해석을 수행하고 그 결과를 DEM 해석에 반영하는 연동 해석 프레임워크를 구축하였다.
2.1 유체의 지배방정식과 CFD
CFD는 유체역학 문제를 계산하는 가장 대표적인 전산해석 기법이며, 유체 유동의 지배방정식인 나비에-스토크스 방정식(Navier-Stokes equations)을 주로 유한체적법(Finite volume method)으로 이산화하여 수치적으로 계산한다.
압축 가능한 뉴턴유체로 가정하였을 때, 유체의 연속방정식과 나비에-스토크스 방정식은 식 (1), (2)로 표현된다.
여기에서 는 각각 유체의 밀도, 속도, 압력, 점성계수이며 는 체적력이다. 식 (1)은 질량보존을 의미하며 식 (2)는 뉴턴의 제2법칙을 유체역학에서 사용하기 위해 변형된 형태로, 운동량 보존과 각 운동량 보존을 만족하며, 뉴턴 유체에 대한 구성방정식을 적용한 식이다.
CFD에서 실제 난류를 그대로 표현하기 위해서는 매우 많은 계산이 필요하다. 따라서 난류 유동을 효율적으로 계산하기 위해 몇 가지 난류 모델이 제시되었다. 대표적인 난류 모델로는 계산 단순화를 위해 공간을 평균화하는 LES(Large-eddy simulation) 모델과 시간을 평균화하는 RANS(Reynolds-averaged Navier-Stokes equation) 모델이 있다. RANS 모델은 계산 효율이 좋으며 다양한 분야에서 검증되어 널리 활용되고 있다.
식 (1), (2)를 난류 유동의 변수를 평균성분과 변동성분으로 분리하는 레이놀즈 분해 후 시간평균을 통해 RANS 모델로 표현하면 식 (3), (4)와 같이 변형된다.
여기에서 는 각각 레이놀즈 분해된 평균 속도, 평균 압력이며 는 변동 속도이다. 유동 변수가 시간 평균 성분으로 표시된 것을 제외하면 식 (3)은 식 (1)과 동일하며, 식 (4)는 식 (2)에서 항이 추가된 것이다. 를 레이놀즈 응력(Reynolds stress)이라고 하는데 이것은 난류 모델을 도입하여 값을 구해야 한다. 본 논문에서는 난류 점성을 도입하여 레이놀즈 응력을 구하는 와류 점성 모델(Eddy viscosity model)에서 난류 운동에너지 k와 난류 소산율 𝜖을 통해 난류점성을 구하는 k-𝜖 난류 모델을 이용해 레이놀즈 응력을 계산하였다(Jones and Launder, 1972).
2.2 입자의 지배방정식과 DEM
DEM은 Cundall과 Strack(1979)에 의해 처음 제안되었으며, 많은 입자로 이루어진 분체시스템에 적합한 전산해석 기법이다. DEM에서 각각의 입자는 하나의 절점으로 표현되며, 각 절점에 3개의 병진 자유도와 3개의 회전 자유도를 부여하여 입자의 거동을 계산한다. 병진과 회전에 대한 입자의 지배방정식은 식 (5), (6)과 같다.
식 (5)에서 는 개별 입자의 질량과 속도이며 는 입자 충돌에 의한 접촉력, 는 중력을 의미한다. 식 (6)에서 는 각각 입자의 관성모멘트, 각속도이며 는 충돌에 의한 접촉 토크이다.
DEM에서 입자의 충돌에 의한 접촉력 를 계산하기 위해 주로 스프링-대시포트(Spring-dashpot) 모델을 이용한다. 스프링은 충돌에 의한 반발력을 표현하고, 대시포트는 충돌에 의한 에너지 손실을 나타낸다(Di Renzo and Di Maio, 2004). 스프링-대시포트 모델을 이용한 접촉력은 식 (7)과 같다.
여기에서 는 하나의 입자가 다른 입자와 충돌할 때 접촉점에서의 법선 및 접선 방향 힘의 크기이며 는 각각 법선, 접선 방향의 단위벡터이다. 과 는 식 (8), (9)로 구할 수 있다.
여기에서 는 각각 법선, 접선 방향의 스프링 상수이고 는 각각 법선, 접선 방향의 감쇠계수이다. 감쇠계수는 스프링 상수 및 충돌하는 두 입자 사이의 반발계수와 등가질량에 대한 함수로 정의할 수 있다(Cundall and Strack, 1979). 또한 는 각각 법선, 접선 방향의 입자 중첩량(Overlap), 는 각각 접촉점에서의 법선, 접선 방향의 입자 상대속도, 그리고 는 입자의 마찰계수이다. 는 접선방향 충돌력과 마찰력 중 작은 값을 갖도록 하여 접선방향 힘의 크기에 대한 상한을 마찰력의 크기로 제한한다.
입자의 회전을 유발하는 접촉 토크 는 식 (10)과 같이 접촉력 와 롤링 저항(Rolling resistance)에 의해 발생하는 토크 로 정의할 수 있다.
여기에서 은 입자 중심에서 접촉점까지의 거리이다. 본 논문에서는 롤링 저항 을 구하기 위해 접촉력에 비례하여 값을 구하는 힘 비례 방법(Force proportional method)을 사용하였으며 식 (11)로 구할 수 있다.
여기에서 는 롤링 저항 계수이며, 는 벡터의 크기를 의미한다.
2.3 CFD-DEM 연동
CFD-DEM 연동 방식에는 유체가 입자에 영향을 주고 입자도 유체에 영향을 주는 양방향 연동 방식과 유체는 입자에 영향을 주지만 입자는 유체에 영향을 주지 않는 단방향 연동 방식이 있다. 본 연구에서는 단방향 연동 방식을 사용하였다. 즉, 유체에 대한 CFD 해석 결과를 입자에 대한 DEM 해석에 반영시킨다.
CFD-DEM 단방향 연동에 의해 식 (5)의 병진에 대한 지배방정식은 식 (12)와 같이 우변에 항력 항이 추가된다.
는 유체와 입자간의 속도 차이에 의한 항력이며, 식 (8)과 같다.
여기에서 는 각각 입자의 항력 계수, 속도 방향의 투영 면적이다.
3. 해석 모델 및 조건
일반적으로 함정에서는 발사장치를 통해 많은 채프들이 담겨있는 원기둥 모양의 카트리지를 발사시키고, 목표지점에 도달하면 카트리지 중심에서 폭발이 일어나 채프들을 확산시킨다. 본 논문에서는 카트리지가 발사된 후, 폭발하는 시점부터 수치 해석을 수행한다.
3.1 채프의 구조
채프는 레이더 전파를 효과적으로 반사시키기 위해 레이더 주파수의 반 파장 길이의 원기둥 구조를 가진다(Schleher, 1986). 목표 주파수에 따라 길이는 보통 5~20mm이며, 직경은 20~40μm이다. 전파를 반사하기 위해 주로 전도성 금속으로 코팅된 형태를 가지며, 가장 일반적인 형태는 유리섬유를 알루미늄으로 코팅한 형태이다. 본 논문에서 고려하는 채프의 형상은 Fig. 1과 같다.
3.2 해석 파라미터 설정 및 제한사항
채프운의 시공간 분포를 수치적으로 계산하기 위해 CFD- DEM 연동 해석을 지원하는 상용 소프트웨어 STAR-CCM+를 사용하였다. CFD 해석에서 채프를 확산시키기 위한 폭발과 바람, 중력에 의한 유체의 유동을 계산할 수 있으며 DEM 해석에서는 채프들 사이의 충돌 및 채프의 위치, 방향, 그리고 속도를 계산할 수 있다. 또한, CFD-DEM 단방향 연동을 통해 CFD로 계산한 유체의 유동 정보를 DEM에서 채프 입자에 발생하는 항력으로 반영하여 운동방정식을 풀이할 수 있다.
일반적으로 유체 내의 입자가 유체의 유동을 방해할 수 있기 때문에 CFD-DEM 양방향 연동 기법을 이용하면, 유체에 의한 입자의 운동뿐만 아니라 입자가 유체의 유동을 방해하면서 발생하는 전단응력을 고려할 수 있다. 그러나 본 논문에서 다루고 있는 채프는 μm 단위의 직경으로 부피가 매우 작으며 열려 있는 공기 영역 내에서 넓게 퍼지기 때문에 채프가 공기 유동에 미치는 영향은 크지 않다(Kloss et al., 2012). 채프는 직경에 비해 길이가 매우 긴 장주로 되어 있으므로 양방향 연동을 위한 크기 조건(Wang and Liu, 2020; Wang et al., 2019b)을 충족하기 어렵기도 하다. 따라서 본 연구에서는 공기 중의 채프의 동적 거동을 CFD-DEM 단방향 연동을 통해 고려하였다. 또한, 본 논문에서는 해석의 효율성을 확보하기 위해 채프를 얇고 긴 원기둥 형태의 입자로 간주하고, 그 중심에만 병진 자유도 3개와 회전 자유도 3개를 부여했으므로 채프의 굽힘 변형은 고려하지 않았다.
채프와 채프 카트리지의 초기 상태는 Fig. 2와 같다. 채프는 초기에 원기둥 형태의 카트리지에 담겨있는 상태이며, 카트리지 중심에 원기둥 모양의 폭발 영역이 존재한다. 카트리지는 3개의 층으로 구성되며, 한 층당 채프의 개수는 708개로, 총 2124개이다. 실제 채프 카트리지는 적게는 10만 개, 많게는 100만 개 이상의 채프를 포함하지만 수십만 개 이상의 채프의 동적 거동을 해석하는 것은 현실적으로 매우 어렵다. 따라서 본 연구에서는 각각의 축 방향으로 1/10 수준으로 축소된 모델을 이용하여 폭발과 중력에 의해 확산되는 채프의 전반적인 분포 형상을 예측하였다. 카트리지 중심에서 폭발을 표현하기 위하여 폭발 영역에 높은 압력을 초기조건으로 부여하였다. 폭발 압력에 의해 유체의 속도가 빨라지고 레이놀즈 수가 높아져 난류가 발생하기 때문에 난류 모델을 도입하였으며, 폭발은 벽면이 없는 외부에서 발생하기 때문에 벽면과 먼 영역에서 높은 정확도를 보이는 k-𝜖 난류 모델을 사용하였다.
Table 1은 본 연구에서 사용된 채프의 물성치와 채프 사이의 접촉 파라미터를 나타낸다. 또한 본 연구에서는 Fig. 2에 나타낸 바람의 방향 및 크기(), 채프 카트리지의 폭발 시 초기 각도(𝛼) 및 압력()을 주요 파라미터로 선정하고, Table 1과 같이 파라미터 값을 달리 하면서 채프의 시공간 분포에 미치는 파라미터의 영향을 조사하였다. 채프 카트리지의 초기 각도는 Fig. 2와 같이 Y-축을 회전축으로 했을 때 X-축과 채프 카트리지의 길이 방향이 이루는 각도 𝛼로 정의한다. 실제 바람의 크기와 방향은 지속적으로 변하며 국부적인 유동이 나타날 수 있지만 본 연구에서는 일정한 바람의 크기와 방향을 가정하였다.
Table 1
Simulation conditions and parameters
4. 해석 결과 및 고찰
먼저 4.1절에서 기본 모델에 대한 채프운의 시공간 분포 특성을 확인한다. Fig. 2에서 기본 모델은 바람이 없고() 채프 카트리지가 지면과 평행하게 놓여 있으며(𝛼=0), 카트리지 중심부의 폭발 압력이 인 조건을 갖는다. 4.2절 이후부터는 변수에 따른 채프운의 분포 특성을 분석한다.
4.1 채프운의 시공간 분포 예측
4.1.1 시간에 따른 채프운의 공간 분포
Fig. 3은 기본 모델의 시간에 따른 채프운의 분포를 YZ-단면, XZ-단면, XY-단면에서 보여준다. 함정용 채프의 확산과 분포를 결정짓는 주요 요소는 폭발과 중력, 그리고 채프 사이의 충돌이며 채프운의 확산은 3단계로 구분된다. 0.01초 이전의 초기에는(1단계) 폭발의 영향이 지배적이며, Fig. 3의 YZ-단면에서 볼 수 있듯이 채프는 방사형으로 확산되어 고리모양으로 분포된다.
고리 모양을 형성한 이후 1초까지(2단계)는 모든 방향으로 확산된다. 폭발의 영향을 상대적으로 오래 받는 고리 바깥쪽의 채프들은 속도의 감소가 상대적으로 느려서 고리 바깥쪽으로 계속 확산되며, 고리의 안쪽 채프들은 고리 중심에 폭발로 인한 음압(Kwon, 2017; Lee and Kim, 2021; Sohaimi et al., 2016)의 영향으로 고리 안쪽으로 다시 모이면서 고리의 두께가 커진다. Fig. 3에서 0.01초에서의 XZ-단면과 XY-단면 채프운의 분포를 보면 X-축 방향으로 3개의 층으로 구분되는 것을 볼 수 있다. 이는 Fig. 2에서 볼 수 있듯이, 본 연구의 채프 카트리지 초기 형상이 3개의 층을 이루고 있었기 때문이다. 하지만 시간이 흐르면서 폭발에 의한 공기의 난류 유동과 채프들 사이의 충돌에 의해 발생되는 채프의 무작위한 움직임이 층의 경계를 없애고 채프를 고루 분포시킨다.
1초 이후에는(3단계) 폭발의 영향은 거의 사라지고, 중력의 영향이 지배적으로 나타난다. 따라서 채프운의 X-, Y-축 방향 분포 변화는 매우 작으며, 중력 방향인 Z-축 방향으로는 지속적으로 확산된다. 개별 채프의 낙하 속도는 채프의 방향에 의해 결정되며, 지면과 평행(중력 방향과 수직)한 방향의 채프가 지면으로의 투영 면적이 가장 커서 낙하 속도가 가장 작고, 지면과 수직(중력 방향과 평행)한 방향의 채프가 투영 면적이 가장 작아서 낙하 속도가 가장 빠르다. 이러한 채프의 방향 차이에 의한 낙하 속도 차이로 인해 채프는 Z-방향으로도 넓게 분포된다.
1초 이후에는 채프운의 확산 경향이 변하지 않으며, 지속적으로 Z-축 방향으로 확산이 발생한다. 본 연구에서는 총 해석 시간을 5초까지로 설정하였으며, 변수에 따른 결과 분석은 5초에서의 상태(t = 5 s)를 기준으로 한다. 만약 5초 이후의 상태를 알고 싶은 경우에는 채프의 확산 경향이 유지되는 1초 이후부터 5초까지의 결과를 외삽하여 예측할 수 있다.
4.1.2 시간에 따른 채프의 방향 분포
3차원 공간상에서 채프와 같은 원기둥 형상의 방향은 Fig. 4 와 같이 𝜃와 𝜙로 표현할 수 있다. 𝜃는 Z-축과 원기둥 사이의 각도이며, 𝜙는 XY-평면에 투영시킨 원기둥과 X-축과의 각도이다.
Fig. 5는 시간에 따른 채프의 방향 분포를 𝜃와 𝜙를 이용하여 히스토그램으로 나타낸 것이다. 그림의 점선은 채프의 방향 분포가 모든 방향으로 완전히 균일할 때의 값을 나타낸다. 점선의 함수는 식 (14), (15)와 같다(Tian et al., 2015).
여기에서 은 전체 채프의 개수이다. 기본 모델에서 채프의 초기 상태는 Fig. 2에서 𝛼=0°에 해당하므로 X-방향과 평행하게 놓여있다. 따라서 Fig. 5(a)와 같이 초기에는 (𝜃, 𝜙) = (90°, 0° 또는 180°) 근처에 집중되어 있다. 시간이 흐르면서 채프의 방향은 점점 균일하게 분포되며 점선의 값에 수렴한다.
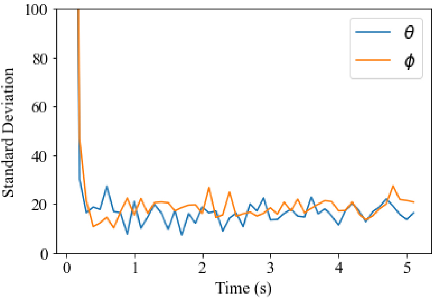
Fig. 6은 Fig. 5와 같은 히스토그램에서 각 구간 값과 균일 분포에 대한 값 및 의 차이를 시간에 따라 표준편차로 나타낸 것이다. 채프는 초기에 일정한 방향으로 배열되어 있으므로 표준편차가 매우 큰 값을 갖다가, 1초 이전에 급격히 감소한다. 1초 이후부터는 채프들이 지속적으로 회전하면서 모든 방향으로 고르게 분포하기 때문에 표준편차는 낮은 수준을 유지하며 진동한다.
4.2 바람이 채프운의 분포에 미치는 영향 분석
바람이 채프운의 분포에 주는 영향을 분석하기 위해 Table 1과 같이 X-, Y-방향으로 각각 0, 2.5, 5, 7.5, 10 m/s의 풍속 을 설정하였다. 즉, Fig. 2에서 𝛼=0°으로 채프 카트리지가 지면에 평행하게 놓여 있을 때 채프 카트리지의 길이 방향(X-방향) 또는 그에 수직한 방향(Y-방향)으로 바람의 크기를 달리하면서 채프운의 동적 거동을 분석하였다. 10 m/s는 나무가 흔들리고 우산이 뒤집힐 수 있는 정도의 풍속이다.
바람이 채프운의 분포에 미치는 가장 큰 영향은 평균위치의 이동이다. 채프운의 평균위치 좌표 및 는 Fig. 7과 같이 바람이 부는 방향으로 풍속과 시간에 선형 비례하여 나타난다. Fig. 8은 폭발 이후 5초가 경과되었을 때(=5s)의 X-방향 및 Y-방향 바람에 따른 채프운의 분포를 각각의 축에 대해 나타낸 것이다. 비교를 위해 채프운의 중심 위치를 0으로 일치시켰다. Fig. 8의 분포에서 풍속에 따른 유의미한 차이는 나타나지 않는다. 즉, 바람은 채프의 분포 범위와 형태를 변화시키지 않고, 바람 방향으로 풍속에 비례하여 채프운을 이동시킬 뿐이라는 것을 알 수 있다.
식 (13)에 따르면 채프의 방향에 따라 투영 면적이 달라지기 때문에 항력에 차이가 나타난다. 풍속이 크면 항력의 차이가 더 커지기 때문에 바람이 부는 방향으로 채프가 넓게 퍼지는 것을 예상할 수 있다. 그러나 Fig. 8과 같은 본 연구의 결과에는 이러한 항력 차이에 의한 확산 효과는 거의 나타나지 않는다. 채프는 큰 항력계수와 작은 질량을 가지고 있으므로 매우 짧은 시간 안에 유체와 같은 속도를 갖게 된다. 결과적으로 상대속도가 0이 되면서 항력이 발생하지 않으므로 바람은 채프운의 분포 크기와 형태에 큰 영향을 끼치지 않는다.
4.3 채프 카트리지 초기 각도가 채프운의 분포에 미치는 영향 분석
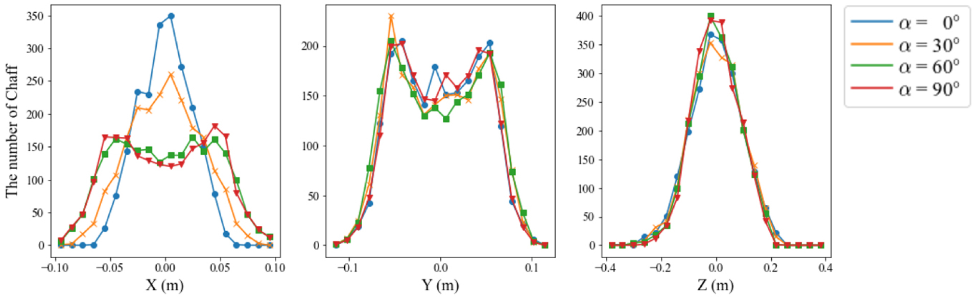
채프 카트리지는 함정에서 발사된 후 일정 시간 후에 폭발하여 채프들을 확산시키는데, 폭발이 발생하는 순간에 카트리지가 어떤 방향을 향하는지는 알 수 없다. 따라서 채프 카트리지 초기 각도를 해석 파라미터로 선정하여 초기 각도에 따른 채프운의 분포를 분석하였다. Fig. 2에 𝛼로 정의되어 있는 채프 카트리지의 초기 각도를 각각 0°, 30°, 60°, 90°로 설정하였다. 여기에서 𝛼=0°는 4.1절 및 4.2절에서의 해석에서와 같이 채프 카트리지가 지면과 평행한 상태에서 폭발이 일어나는 경우에 해당하며, 𝛼=90°는 카트리지가 중력 방향으로 세워져 있을 때에 해당한다.
Fig. 9는 폭발 후 5초가 경과되었을 때의 채프 카트리지 초기 각도에 따른 채프운 분포를 각각의 축 방향으로 나타낸 것이다. X-축 방향으로의 분포에서는 채프 카트리지의 초기 각도가 커질수록 채프운이 넓고 균일하게 분포하는 것을 알 수 있고, Y-방향과 Z-방향으로의 분포에서는 각도에 따른 경향이 나타나지 않는 것을 확인할 수 있다. 이것은 폭발에 의해 채프가 퍼져 나가는 방향 차이로 인해 발생한다. 초기 각도가 0°일 때 채프가 폭발에 의해 확산되는 방향은 Y-, Z-축 방향이다. 초기 각도가 커질수록 Z-축 방향 확산은 줄어들고 X-축 방향 확산이 커지며, Y-축 방향 확산은 변화가 없다. 따라서 초기 각도가 커질수록 채프운은 X-축 방향으로 넓고 균일하게 분포되며, Y-축 방향으로는 차이가 없다. 폭발 이후에는 중력에 의한 확산 영향이 크기 때문에 중력 방향인 Z-축 방향으로는 폭발 시 채프 카트리지의 초기 각도에 관계없이 분포 양상이 유사하게 나타난다.
4.4 폭발 압력이 채프운의 분포에 미치는 영향 분석
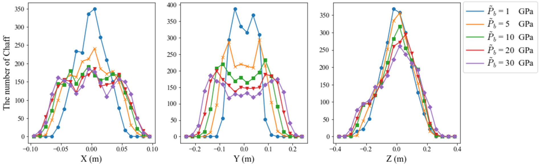
Fig. 10은 폭발 5초 경과 후, 폭발 압력에 따른 채프운의 분포를 각 축의 방향별로 나타낸 것이다. 이때 바람은 고려하지 않았으며, 채프 카트리지의 초기 각도 𝛼는 0°이다. 폭발 압력이 클수록 채프운이 더 넓게 분포되지만, 폭발 압력의 증가율에 비하면 채프운의 분포 차이는 크지 않다. 또한 폭발에 의한 확산 방향이 Y-축 및 Z-축이기 때문에 X-축 방향으로의 분포 차이는 Y-축 방향으로의 차이에 비해 작게 나타난다. Z-축은 폭발에 의한 확산 방향이지만, 동시에 중력 방향이기도 하다. 폭발 이후 중력의 지배적인 영향으로 채프들이 확산되면서 Z-축 방향으로의 분포에서는 폭발 압력의 효과가 작게 나타나는 것으로 추론할 수 있다.
5. 결 론
본 연구에서는 함정용 채프운의 시공간 분포를 수치적으로 해석하였으며, 이를 위해 CFD-DEM 단방향 연동 기법을 이용하였다. 채프 카트리지 중심에서 폭발이 일어나는 시점부터 공기의 유동과 채프 사이의 충돌을 고려하여 해석함으로써 함정용 채프운의 시간과 공간적인 확산 특성을 분석하였다. 함정용 채프는 폭발에 의해 방사형으로 확산되어 고리 모양을 형성한 후, 채프 간의 충돌과 공기의 난류 유동에 의해 고리 모양이 크게 퍼지는 방향으로 확산된다. 이후에는 중력의 지배적인 영향을 받아 중력방향으로 넓게 분포된다. 이때, 채프의 방향은 시간이 흐를수록 모든 방향으로 균일하게 분포된다.
이어서 바람의 방향 및 크기, 채프 카트리지의 폭발 시 초기 각도 및 압력을 주요 파라미터로 선정하고, CFD-DEM 연동 기법을 이용하여 파라미터가 채프운의 분포에 미치는 영향을 고찰하였다. 바람의 방향과 크기는 채프운의 확산 모양에 영향을 미치지 않으며, 채프운을 전체적으로 이동시키는 역할을 한다는 것을 알 수 있었다. 채프 카트리지의 초기 각도는 폭발에 의한 방사형 확산 방향을 변화시키므로 채프의 분포 특성에도 영향을 미친다. 또한 폭발 압력이 커질수록 채프운은 더 넓게 분포하지만, 폭발 압력의 차이에 비해 채프운의 분포 경향의 차이는 크지 않다. 폭발 직후에 채프운의 분포는 중력에 의한 지배적인 영향을 받기 때문에 중력 방향으로의 채프 분포는 채프 카트리지의 초기 각도 및 압력에 큰 영향을 받지 않는 것으로 나타났다.
본 연구에서는 실제 채프 카트리지의 채프보다 훨씬 적은 수의 채프를 사용하였고, 채프의 굽힘은 고려하지 않았다. 또한 국부적으로 변하는 공기의 유동을 고려하지 않았다. 이와 같이 여러 가정과 한계는 있었으나 폭발과 중력, 채프들 사이의 충돌과 유체 유동에 의한 영향까지 고려함으로써 채프의 분포를 균일 또는 정규분포의 구 형상으로 단순하게 가정한 이전 연구들(Bendayan and Garcia, 2015; Chae et al., 2017; Pandey, 2013; Pinchot et al., 2005; Zuo et al., 2019; Zuo et al., 2021)에 비해서 더욱 실제 상황에 가까운 채프운의 분포를 예측할 수 있었다. 채프운의 시공간 분포 해석을 위한 프레임워크 및 해석 결과는 RCS 분석까지 연계함으로써 채프 관련 기술의 개발 및 운용에 대한 기초로 활용할 수 있을 것이다. 향후 연구에서는 함정용 채프운의 시공간 분포에 대한 CFD-DEM 연동 해석 결과를 접근 가능한 실험 결과와 비교함으로써 정량적으로 검증할 것이다. 또한 주요 파라미터들과 채프운 분포 및 RCS 특성을 대리 모델(Surrogate model)로 표현하고, 각각의 상관관계를 보다 엄밀하게 분석하고자 한다.












