1. 서 론
최근 몇 년 동안 압전/압자기 재료 구조와 관련된 스마트 혹은 지능 재료에 대한 연구가 많은 연구자들의 관심을 끌고 있다. 스마트 혹은 지능형 소재는 전기, 자기 및 탄성 에너지 사이에서 에너지를 변환할 수 있다. 또한, 압전/압자기 재료로 만들어진 복합 재료는 단상 압자기 재료 또는 압전 재료에는 존재하지 않는 자기/전기 효과를 나타낸다. 자기-전기-탄성(MEE) 재료는 센서 및 액추에이터, 로봇 공학, 구조물 상태점검, 진동 제어 및 의료 기기를 비롯한 많은 공학 응용 분야에서 널리 사용되고 있다.
다층 MEE 판의 정적 변형을 위해, 정확한 닫힌 형태의 해는 Pan(2001)에 의해 연구되었다. Pan의 일부 수치 예제는 MEE 재료가 스마트 구조물의 설계 및 분석에 유용한 특수 기능을 보유하고 있음을 명확하게 나타내고 있다. 또한 Pan과 Heyliger(2002)는 다층 MEE 판의 자유 진동에 대하여 연구 하였다. Wang 등(2010)은 단순지지된 3 차원 종 방향 등방성 다층 MEE 원형 판에 대한 해석적 결과를 제시하였다. Xue 등(2011)은 Kirchhoff 판 이론을 이용여 MEE 직사각형 판에 대한 비선형 대 변형 모델을 연구하였다. Sladek 등(2013)은 무요소 국소 Petrov-Galerkin(MLPG) 방법을 이용하여 MEE 판의 대변형에 관하여 연구하였다. Li(2014)는 탄성 기초위에 놓인 MEE 판의 좌굴 해석을 연구하였다. Li 등(2014)은 비 국소 탄성이론을 통해 Pasternak 탄성지반위에 놓인 직사각형 Mindlin MEE 나노 판의 좌굴 및 자유 진동 거동에 대한 해석적 연구가 수행하였다. 그들은 전위의 크기가 증가될 때 무차원 진동수가 감소함을 제시하였다. 그러나 무차원 진동수는 자위의 크기가 증가될 때 함께 증가하였다. Lee 등(2016)은 전단변형이 고려된 4변수 변위장을 사용하여 점진기능재료 판의 정적 및 자유진동 해석을 수행하였다.
위에 열거 한 문헌과 저자의 지식에서 볼 때 평면 내 하중의 두 가지 방향에 대한 MEE 나노 판의 다양한 형상 비에 대한 좌굴 해석은 거의 연구되지 않았다고 판단된다. 면내 자기장과 전기장은 MEE 나노 판에서 무시할 수 있다. 자기-전기 경계 조건 및 맥스웰 방정식에 따라, MEE 판의 두께 방향을 따라 자기 및 전위의 변화가 결정된다. 해밀턴 원리에 의한 판의 두께 방향을 따른 전기, 자기 분포와 운동 지배 방정식을 구하기 위해 변분이론을 적용하였다. 본 연구에서는 다양한 매개변수의 영향을 분석하기 위해 MEE 일차 전단변형 나노 판의 좌굴 해석 결과 표 및 그래픽 형태로 제시하였다. 다양한 형상비, 전위 및 자위, 면내 하중 방향의 영향이 MEE 나노 판의 좌굴 응답에 미치는 영향을 조사하였다. 본 연구에서 제시한 방법으로 얻은 좌굴 응답은 참고문헌의 결과와 비교하였을 때 잘 일치함을 알 수 있었다.
2. 자기-전기-탄성 판의 구성방정식
2.1. 전단 변형이론
일반적으로 전단변형이 고려된 5-변수 변위장은 식 (1)로 표현할 수 있다.
여기서, f(z) = z - Ψ(z) , 그리고 는 중립면(z = 0)에서 면내 변위이고, uz 는 판의 두께방향으로의 수직방향 변위이다. 또한 θx, θy 는 전단변형에 의한 전단변형 각이다. Ψ(z)는 두께방향으로 전단응력과 전단 변형률 분포의 변화를 결정 하는 형상함수이다. 3변수 고전 판 이론의 변위장은 Ψ(z) =0인 경우이고 일차전단변형이 고려된 5변수 판 이론의 변위장은 Ψ(z) = z 인 경우이다.
2.2. 자기-전기-탄성 판의 재료특성
자기-전기-탄성(Magneto-Electro-Elastic:MEE)체가 판의 상하면 사이에서 두께방향으로 자기장의 세기 Ω0과 전기 장의 세기 V0를 받고 있는 경우를 가정한다.
여기서, σij, Di, 그리고 Bi 는 각각 응력, 전기 변위 그리고 자기유도(자속)을 나타내고 γkl, Em,그리고 Hn는 변형률, 전기장 그리고 자기장을 나타낸다. 또한 Cijkl, hm 그리고 kin는 탄성계수, 절연투과계수 그리고 자기투과계수이다. 또한 emij, hnij 그리고 gin는 압전계수, 압자기계수 그리고 자기-전기 계수이다. 식 (2)에서 적절한 계수를 0으로 놓으면 다양한 비결합 경우를 유도할 수 있다.
일반적인 변형률-변위 관계는 식 (3)과 같다.
여기서, ϕ 그리고 ψ는 각각 전기장과 자기장의 세기를 나타낸다.
체적력, 전하 그리고 전류밀도를 무시하면 동적 평형방정 식은 식 (4)와 같다.
여기서, ρ는 재료의 밀도이다.
2.3. 비국소 탄성이론
비국소 탄성이론에서 동적 평형방정식은 비국소 균형법칙 으로부터 구할 수 있다(Kim et al., 2014).
여기서, tij는 Hooke 응력 텐서이고, 선형 미분 연산자 ℒ은 식 (6)으로 정의된다.
여기서, μ는 비국소 변수, e0는 실험으로 정해지는 재료 상수 이고 a는 내적 특성 길이이다.
식 (5)의 연산자를 Eringen(1983, 2002)이 제안한 비국소 응력 텐서를 표현하기 위한 구성 모델에 적용하면 비국소 구성 방정식을 구할 수 있다.(7)
일반적으로 식 (6)의 미분 연산자 ∇는 3차원 라플라스 연산자이다. 2차원 문제를 해석하기 위해 라플라스 연산자 ∇는 2차원으로 감차할 수 있다. 2차원 선형 미분 연산자 ℒ 는 식 (8)과 같다.
미분 연산자 ℒ 는 z방향에 대해 독립적이다.
3. 동적 평형방정식
해밀턴 원리를 이용하여 자기-전기-탄성(MEE) 미소스케일 판의 동적 평형방정식을 유도하면 식 (9)와 같다(Reddy, 2014).
여기서, δU 는 가상변형에너지, δW는 외력에 의한 가상일, 그리고 δK 는 가상운동에너지이다.
자기-전기-탄성(MEE)판의 변형에너지는 식 (10)과 같다.
자기-전기-탄성(MEE)판이 얇으면 면내 전기장 및 자기장은 무시할 수 있다. 즉 Ex = Ey =0 그리고 Hx = Hy =0이다.
자기-전기-탄성(MEE)판의 운동에너지는 식 (11)로 나타 낼 수 있다.
여기서, 위첨자는 시간에 대한 미분을 의미한다.
면내력에 의한 위치에너지는 식 (12)로 주어진다.
Nxm, Nxe, Nxq, Nym, Nye 그리고 Nyq 은 역학적, 전기적 그리고 자기적 x - 그리고 y - 방향 힘들이며 식(13)으로 나타낼 수 있다.
여기서, R 은 x - 방향 역학적 하중이고 λ는 직각방향(2방향) 하중 비이다.
식 (9)에 식 (10), 식 (11) 그리고 식 (12)를 대입하고 부 분적분하여 정리하면 식 (14)와 같은 평형방정식을 얻을 수 있다.(14b)(14c)(14d)
여기서,
식 (14)에서 ℒ =1이라고 놓으면 비국소탄성 이론이 적용 되지 않은 정식을 유도할 수 있다.
식 (2)의 Di 그리고 Bi 를 식 (14f)와 (14g)에 대입하면 식 (15)와 식 (16)을 얻을 수 있다.
크라머 법칙을 적용하면 식 (17)을 구할 수 있다.
여기서,
식 (17)과 식 (18)로부터 식 (19)를 유도할 수 있다.(20)
여기서,
여기서, 전기적 경계 및 자기적 경계는 ϕ(h/2) = V0, ϕ(- h/2) = 0 그리고 ψ(h/2) = Ω0 , ψ(- h/2) =0로 정의된다.
자기-전기-탄성(MEE)판의 합응력은 식 (21)과 같다.
식 (21)의 합응력으로부터 면내변형률이 무시된 식 (22)를 구할 수 있다.
여기서,
식 (22)를 식 (14d)와 식 (14e)에 대입하면 개선된 지배 방정식을 구할 수 있다.
4. 해석적 방법
자기-전기-탄성 나노 스케일 판의 해석 시 미소 규모 효과를 연구하기 위해 비국소 이론을 이용한 단순지지 판의 해석 결과 를 나타내었다. Navier 방법에서 판의 중립면에서의 변위는 식 (23)과 같이 이중 푸리에 급수로 표현할 수 있다.
여기서, 그리고 이다.
자기-전기-탄성 나노 스케일 판의 좌굴 해석을 위하여 식 (23)을 식 (14a)∼(14e)에 대입하고 행렬형태로 정리하면 평형방정식 식 (24)를 얻을 수 있다.
여기서, , [K]5×5 는 강성행렬, λmn 은 좌굴하중 그리고 [G]5×5 는 기하강성행렬이다.
5. 결과 분석
자기-전기-탄성 나노 판의 좌굴해석 결과를 참고문헌의 결 과들과 비교, 분석하기 위하여 Table 1과 Fig. 1에 자기-전기 -탄성 나노 판의 재료 및 기하학적 성질을 제시하였다.
Table 1
Material properties of MEE plate
자기-전기-탄성 나노 판의 좌굴하중은 식 (25)를 이용하여 무차원화 하였다.
2방향 면내 압축하중을 받는 자기-전기-탄성판을 Fig. 2에 타내었다.
5.1. 정확도 검증
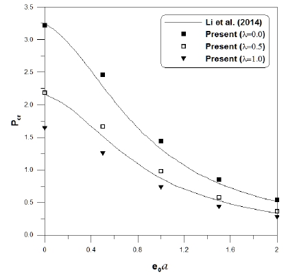
첫 번째로 폭-두께 비가 10인 경우의 자기-전기-탄성 나노 판의 좌굴하중을 참고문헌들의 결과와 비교하기 위하여 Table 2에 나타내었다.
Table 2
Buckling loads for MEE plates
| Pcr | Side to thickness ratio(a/h) | ||
|---|---|---|---|
| 10 | |||
| Li 2014 | Park and Han 2017 | Present | |
| λ = 0 | 2.9747 | 2.9786 | 2.9783 |
| λ = 0.5 | 1.9831 | 1.9858 | 1.9855 |
| λ = -0.5 | 5,9494 | 5.9573 | 5.9566 |
본 연구의 결과는 두 가지 참고문헌 결과의 중간 값을 나타 내어 해석방법의 정확성을 검증할 수 있었다. 참고문헌과의 오차는 Li(2014)는 전단보정계수 π2/12을 사용하였고 Han과 Park(2017)은 고차 전단변형이론을 적용하였기 때문으로 판단된다. 본 연구는 1차 전단변형이론을 적용하였으며 전단 보정계수는 일반적으로 널리 사용되는 5/6를 사용하였다. 3가지 결과의 차이는 001%~0.1%로 무시할 수 있을 정도로 매우 작음을 알 수 있다.
두 번째 비교예제는 비국소 매개변수의 변화에 따른 좌굴하 중의 변화를 선택하였다. 비국소 매개변수의 변화와 2방향 하중비의 변화에 따른 좌굴하중을 참고문헌의 결과와 비교하 였다. 비국소 매개변수가 0인 경우에는 참고문헌의 결과와 매우 유사한 결과를 나타내었다. 비국소 매개변수가 0에서 2사이에 서는 유사한 결과를 나타내기는 하였으나 약간의 오차(7%)가 발생하였다. 이러한 오차의 발생원인은 향후 추가 연구되어야 할 것으로 판단된다.
5.2. 해석 예제
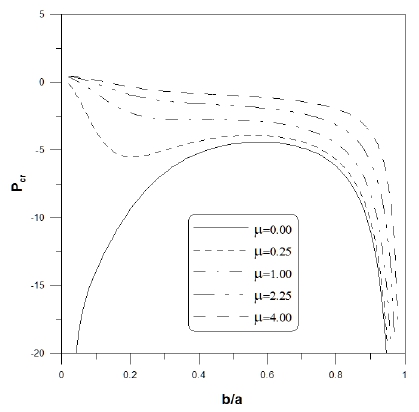
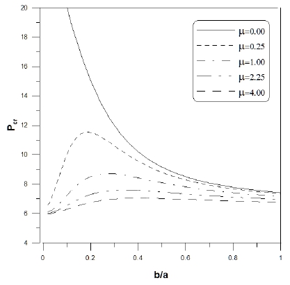
면내 압축과 면내 인장을 받는 자기-전기-탄성 나노판의 형상비 변화에 따른 좌굴하중을 Fig. 4에 나타내었다. 형상비의 변화는 1까지로 제한하였다. 형상비가 1보다 작은경우에 좌굴 하중값이 음의 값을 가지는 현상을 볼 수 있다. 좌굴하중이 음수라는 것은 면내하중의 방향이 바뀌는 것을 의미한다. 형상 비가 1이상인 경우 좌굴하중의 변화는 일정값에 수렴하는 단순한 그림으로 본 연구결과에서는 배제하였다. 비국소 매개 변수 또한 자기-전기-탄성 나노판의 강성에 중요한 변화를 발생시키므로 자기-전기-탄성 나노판의 해석 및 설계 시 형상 비와 비국소 매개변수의 효과가 정확하게 고려되어야 함을 알 수 있다.

Fig. 4.
Nondimensional buckling loads, versus aspect ratio, for MEE nano plate with various nonlocal parameters(V0 = Ω0 =0, a/h =10)
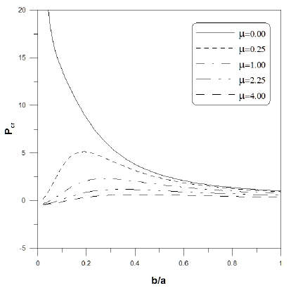
Fig. 5에서는 2방향 면내 압축을 받는 자기-전기-탄성 나노 판의 형상비 변화에 따른 좌굴하중을 분석하였다. 면내 압축과 인장을 동시에 받는 경우와 달리 형상비가 1이하인 경우에도 음의 좌굴하중값을 나타내지 않았다. 형상비가 0.2~0.3인 경우 비국소 매개변수의 효과에 의해 좌굴하중값의 변화가 발생함을 알 수 있었다. 2방향 면내 압축을 받는 경우에도 형상비와 비국소 매개변수가 좌굴하중의 변화에 중요한 인자임을 알 수 있다.

Fig. 5.
Nondimensional buckling loads, versus aspect ratio, for MEE nano plate with various nonlocal parameters(V0 = Ω0 =0, a/h =10)
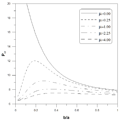
Fig. 6과 Fig. 7에서는 전위가 50인 경우의 면내 압축과 면내 인장이 동시에 작용하는 경우와 2방향 압축이 작용하는 경우에 대하여 분석하였다. 전위는 좌굴하중을 미소하게 감소 시키는 효과를 나타내었다. 형상비가 0.4인 경우 좌굴하중이 약 13%정도 감소하였다. 전위는 자기-전기-탄성 나노판의 강성을 감소시키는 역할을 한다는 것을 알 수 있었다.

Fig. 6.
Nondimensional buckling loads, versus aspect ratio, for MEE nano plate with various nonlocal parameters(V0 =50, Ω0 =0, a/h =10)

Fig. 7.
Nondimensional buckling loads, versus aspect ratio, for MEE nano plate with various nonlocal parameters(V0 =50, Ω0 =0, a/h =10)
탄성 나노판의 경우와 마찬가지로 형상비가 0.2인 경우에 좌굴하중의 변화가 발생하였다. 특히 형상비가 0.1보다 작은 경우에 좌굴하중의 부호가 바뀌는 현상이 발생하였다. 전위와 비국소 매개변수의 효과가 혼합되어 강성의 부호가 바뀐 것으로 판단된다. 이러한 현상은 물리적 의미를 파악하기가 용이 하지 않으며 수치적 해석의 부족한 부분이라고 판단된다. 향후 실험적 연구가 동반되어 정확한 물리적 한계를 규명해야 할 것이며 실험적 규명이 이루어지기까지는 형상비의 허용범위를 설정 해야 할 필요성을 제시할 수 있다.
자위가 5인 경우의 면내 압축과 면내 인장이 동시에 작용하는 경우와 2방향 압축이 작용하는 경우에 대하여 Fig. 8과 Fig. 9에서 분석하였다. 자위는 전위와 달리 좌굴하중을 크게 증가 시키는 효과를 나타내었다. 형상비가 0.4인 경우 좌굴하중이 약 2.5배정도 증가하였다. 자위는 자기-전기-탄성 나노판의 강성을 증가시키는 역할을 한다는 것을 알 수 있었다.

Fig. 8.
Nondimensional buckling loads, versus aspect ratio, for MEE nano plate with various nonlocal parameters(V0 =0, Ω0 =5, a/h =10)

Fig. 9.
Nondimensional buckling loads, versus aspect ratio, for MEE nano plate with various nonlocal parameters(V0 =0, Ω0 =5, a/h =10)
자위에 의한 강성의 증가효과가 전위에 의한 강성의 감소 효과에 비하여 매우 크기 때문에 형상비가 매우 작은 경우에도 좌굴하중의 부호가 바뀌는 현상은 발생하지 않았다.
전위와 자위가 동시에 작용할 때 면내 압축과 면내 인장을 받는 경우와 2방향 압축이 작용하는 경우에 대하여 Fig. 10과 Fig. 11에 나타내었다. 자위에 의한 강성의 증대 효과가 전위에 의한 강성의 감소효과보다 매우 크기 때문에 종합적으로 좌굴 하중은 증대하였다.
6. 결 론
본 연구에서는 1차 전단변형이론을 이용하여 자기-전기- 탄성 나노판의 2방향 좌굴해석을 수행하였다. Hamilton 정리를 이용하여 자기-전기 효과가 고려된 평형방정식을 유도하였다. 전위와 자위 그리고 비국소 매개변수 및 형상 비의 변화에 따른 자기-전기-탄성 나노 판의 좌굴 해석 결과들을 분석한 결과 다음과 같은 결론을 얻을 수 있었다.
(1) 2방향 압축을 받는 경우와 면내 압축과 면내 인장을 받는 경우의 자기-전기-탄성 나노 판의 좌굴하중은 매우 상이한 결과를 나타내므로 해석 및 설계 시 정확한 고려가 수반되어야 함을 알 수 있었다.
(2) 전위는 좌굴하중을 미소하게 감소시키는 효과를 나타 내었다. 전위는 자기-전기-탄성 나노판의 강성을 감소 시키는 역할을 한다는 것을 알 수 있었다.
(3) 자위는 전위와 달리 좌굴하중을 크게 증가시키는 효과를 나타내었다. 자위는 자기-전기-탄성 나노판의 강성을 증가시키는 역할을 한다는 것을 알 수 있었다.
(4) 전위와 자위가 동시에 작용할 때 면내 압축과 면내 인장을 받는 경우와 2방향 압축이 작용하는 경우에 대하여 종합적이고 다양한 분석이 수행되어야 할 것으로 판단된다.
전위와 자위의 효과를 고려한 자기-전기-탄성 나노 판의 해석을 위하여 전단변형 효과와 비국소 탄성이론을 고려한 본 연구에서 계산된 결과들은 향후 자기-전기-탄성 구조물의 수치해석 연구자들을 위한 참고자료가 될 것으로 판단된다.







