1. 서 론
보 구조물은 산업 현장에서 흔하게 볼 수 있는 구조물로 교량, 항공, 풍력 발전 블레이드 등의 다양한 공학 분야에서 필수적 으로 사용되는 요소이다. 철과 같은 등방성 재료의 보 구조물은 해석 및 설계를 위해 고전 이론인 오일러-베르누이(eulerbernoulli) 보 모델이 주로 사용되어 왔다. 하지만 최근 높은 비강도와 다기능의 구조물에 대한 수요가 많아지면서 복합재료 구조물이 각광을 받고 있다(Cho, 1994). 이러한 이방성 보 구조물에 대해서는 일차전단변형이론이 사용되어 왔지만 정확한 전단수정계수를 계산하는 것은 어려운 문제로 남아있다 (Gruttmann and Wagner, 2001; Kim and Cho, 2005). 이를 극복하기 위해 고차 이론을 개발하려는 시도가 활발히 이루어져 왔고(Han et al., 2017), 고전 이론에 기반을 두어 개발하려는 연구가 일부 연구자들 사이에서 진행되었다(Kim and Cho, 2006; Han et al., 2012).
면내 응력에 3차원 평형방정식을 이용하여 면외 응력을 계산하고 이를 통해 개선된 고전 보 변위장을 얻을 수 있다 (Kim and Cho, 2011; Jeong and Kim, 2016a; 2016b). 이런 방법으로 개선된 변위장은 처짐의 고차 미분항을 포함하고 있다. 고전 보 이론은 기본적으로 C1 연속성 요소를 이용하여 유한요소해석을 수행하였는데 처짐의 2차 혹은 3차 미분까지 연속적으로 변하는 형상함수에 대해서는 문헌상에 잘 나타나 있지 않다(Cook et al., 2002).
본 논문에서는 처짐의 고차 미분까지 절점 자유도로 고려하여 요소 간에 연속적으로 변하게 하는 C2, C3 연속성 요소를 사용하여 오일러-베르누이 보 모델의 정적 해석을 수행하고자 한다. 고차 보 모델은 변위장으로 고차 미분항을 포함하는 경우가 대부분이기 때문에 먼저 고전 보 이론에 고차 연속성 요소를 적용하여 요소의 성능을 기존의 고전 이론과 비교하고자 한다. 또한 고차 미분된 자유도가 추가되므로 알맞은 경계조건 을 결정하기 위해 여러 조건을 적용하고 거동을 분석하여 그 성능을 평가하고자 한다.
2. 본 론
이 장에서는 오일러-베르누이 보 모델의 유한요소해석에서 처짐의 2차 그리고 3차 미분까지 요소들끼리 연속적으로 변하 도록 하는 C2, C3 형상함수를 이용하여 정적해석을 수행한다. 새로운 고차 미분 연속성 요소들에 대한 형상함수들은 부록 A에 기술하였다. 모든 유한요소해석에 2절점 요소 20개를 사용하 였으며, C1 요소를 기본으로 하여 C2와 C3 요소들의 처짐 및 미분 값들을 비교 분석한다.
2.1. 전단력 하의 외팔보
자유단에 횡방향으로 집중력을 받는 외팔보(Fig. 1)는 고전적인 예제로써 보 이론 등의 성능평가에 자주 사용되고 있어, 본 연구에서 기본 예제로 채택하였다.
오일러-베르누이 보 모델은 전단변형을 고려하지 않으므로 면내 응력만 나타나고 끝단에 전단력 P 가 가해졌을 때 처짐은 3차 함수로 나타나게 된다. 보의 평형방정식으로부터 처짐 및 그 미분 값들은 다음과 같이 주어진다.(1)(2)(3)(4)
여기서, E 는 Young’s modulus, I 는 보 단면의 관성모멘트 이다. 상첨자 (·)(k)는 x에 대한 k번 미분을 나타낸다.
위와 같이 평형방정식 w(4)=0을 사용하여 해석적으로 구하는 방법과 유한요소법을 사용하여 수치적으로 구하는 방법이 있다. C1요소를 사용할 경우 w , w(1)이 자유도에 포함되어 있으므로 절점마다 구할 수 있고, 2차, 3차 미분은 차분법을 사용하여 구할 수 있다. 자유단에 집중력이 가해지는 길이 대 두께비가 10인 외팔보에 대하여 유한요소해석을 수행하였다. 고정단의 경계조건에 따라 두 가지의 결과를 그림들에 도시하였는데 동 그라미와 삼각형은 기본 변위 경계조건(GBC; 즉, w=w(1) =0)만을 구속한 결과이고 실선과 점선은 추가적으로 고차변 위를 기술한 결과이다.
전단력 하의 외팔보 문제에서 처짐의 2차 미분이 연속으로 변하는 C2요소를 사용한 결과는 Fig. 2에 도시하였다. C2연속 요소는 처짐의 2차 미분을 자유도로 가지므로 기본 변위경계 조건과 함께 w(2)까지 구속하였을 때의 결과를 비교하였다. 그림에서 보듯이 w(1)의 경우에는 경계조건을 다르게 적용하 였을 때와 차이가 없지만 w(2)는 고차 변위경계조건을 기술함에 따라 고정단 근처에서 진동하는 현상이 발생한다.
Fig. 3에서는 C2 요소를 사용하여 계산한 w(3), w(4)을 축 방향에 도시하였다. Fig 3에서와 마찬가지 현상을 관찰할 수 있으며, w(2)의 경우보다 보의 안쪽으로 더 깊게 진동함을 알 수 있다. 이러한 진동이 전파되는 깊이가 다른 이유는 경계층 효과에서 찾을 수 있다(Prathap et al., 1994a; 1994b; Kim et al., 2016). 처짐의 경우에는 경계조건에 관계없이 일정한 값을 주지만 그 미분 값들은 차수가 증가함에 따라 전파되는 길이가 길어짐을 알 수 있다. 이는 고전적인 경계층 효과가 경계조건에 따라 다르게 나타나는 것과 유사하다. 실제로 문헌(Kim and Wang, 2011)에 따르면 외팔보의 고정단에서 처짐의 미분 값들은 0이 아니며, 점근적으로 정확한 경계조건은 응력의 가중 평균값들이 0이어야 한다.
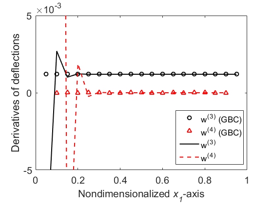
다음으로는 처짐의 3차 미분인 w(3)까지 연속적으로 변하 도록 한 C3요소를 사용하여 외팔보에 대한 정적 해석을 수행 하였다. Fig. 4는 C3 요소를 사용하여 구한 w(3),w(4)결과를 나타내었다. 이때에는 자유도로 w(3)가 추가되는데 C2요소와 마찬가지로 기본 변위경계조건만 주었을 때 결과를 동그라미와 삼각형으로 표시하였고, 고정단에서 모든 자유도를 구속한 경계조건(w=w(1)=w(2)=w(3)=0)에 의한 결과들은 실선과 점선으로 각각 표시하였다. C3요소의 경우에도 기본 변위경계 조건(GBC)만을 주었을 때에 이론 해와 같은 결과를 얻을 수 있었다. 그러나 처짐의 고차 미분을 추가로 구속한 경우에는 고정단 근처에서 진동이 발생하였으며, C2요소와 비교하여 진폭과 전파되는 깊이가 커짐을 확인하였다. 처짐의 고차 미분을 기술하면 할수록 전파되는 오차의 깊이도 커지게 된다.
2.2. 균일 분포하중 하의 외팔보
하중의 형태에 따른 거동을 분석하기 위하여 Fig. 5에서 처럼 외팔보에 균일 분포하중을 받는 문제에 대한 정적 해석을 수행하였다. 이 문제에 대한 해석해는 잘 알려져 있으며, 처짐과 그 미분 항들은 다음과 같이 주어진다.(5)(6)(7)(8)
분포하중 하에서는 처짐의 3차 미분이 상수가 아닌 선형으로 나타난다. Fig. 6은 C2요소를 사용하였을 때에 w(1),w(2) 결과를 경계조건을 다르게 하여 도시한 결과이다. 기본 변위경 계조건만 적용하였을 때에는 이론 해와 동일지만 C2에서 추가 된 고차 미분 자유도까지 기술하였을 때에는 집중하중 문제와 마찬가지로 w(2)가 고정단 부근에서 약한 진동을 보여준다.
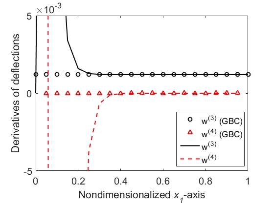
Fig. 7은 w(3),w(4) 결과를 Fig. 6에서와 같은 방법으로 경계조건을 다르게 하여 도시한 결과이다. 집중력 문제와 마찬가지로 경계면 부근에서 튀는 현상이 발생된다. 이러한 양상은 C3요소를 사용하였을 때에도 확인된다. Fig. 8에 C3요소를 사용하였을 때의 w(3),w(4) 결과를 나타내었다. 고차 미분 값의 변화 양상은 Fig. 4에서의 집중하중 하의 외팔보 문제에서와 수렴되는 값을 제외하면 정확히 일치한다.
2.3. 균일 분포하중 하의 단순지지 보
이절에서는 경계조건에 따른 거동 분석을 위하여 Fig. 9와 같이 균일 분포하중 하의 단순지지 보를 해석하였다. C1요소를 사용하여 유한요소해석을 할 경우에 정확하게 고전 보 이론의 해석해에 수렴한다. 보의 평형방정식으로부터 단순지지 경계 조건을 적용하여 해석적으로 풀게 되면 처짐과 처짐의 미분들은 다음과 같이 주어진다.(9)(10)(11)(12)
단순지지 보의 경우 처짐을 제외한 모든 자유도를 구속하지 않기 때문에, 고려한 요소들 모두가 같은 값을 보여준다. 잘 알려진 대로 경계조건의 문제에서 자유로울 수 있는 대표적인 예제이기 때문이다. 많은 고차 보 이론들의 해석을 단순지지 경계문제로 풀기 때문에 고정단에서 발생할 수 있는 문제를 제대로 고려할 수 없다.
본 연구에서는 부정확한 경계조건을 부가하였을 때의 거동을 분석하기 위하여, 단순지지 경계임에도 불구하고, 처짐의 고차 미분 값들을 구속하여 해석을 수행하였다(w =0, w(1)=free, w(2)=w(3)=0). 처짐의 2차 미분이 연속으로 변하는 C2 요소 의 경우 w(2)=0 조건은 단순지지 경계에서의 모멘트 프리 (moment free) 조건과 정확하게 일치하기 때문에 해석해와 같은 결과를 보여준다. 따라서 이절에서의 예제에 대한 결과는 C3 요소의 결과만을 Fig. 10에 도시하였다. 그림에서 보듯이 부정확한 경계조건은 경계층 효과와 유한 현상을 유발하지만, 보의 내부에서는 해석해에 수렴함을 알 수 있다. 이러한 수치적 오차의 경계층 효과는 보의 경계에서 내부로 약 10%~20% 정도 전파됨을 알 수 있다. 앞서의 결과와는 다르게 진동하는 양상은 보이지 않으며, 보다 안정적으로 빠르게 해석해에 수렴 한다. 이는 단순지지 경계조건이 경계층 문제를 상대적으로 유발하지 않는다는 기존의 사실을 확정한다고 할 수 있다.
2.4. 균일 분포하중 하의 힌지-고정 보
마지막으로 혼합 경계조건에 대한 고차미분 연속성 요소들에 대한 성능평가를 위하여 Fig. 11과 같은 균일 분포하중 하의 힌지-고정 보를 고려하였다.
오른쪽 경계는 외팔보와 같은 고정단 경계조건이고 왼쪽은 단순지지 조건이므로 앞서 해석을 수행한 두 조건을 동시에 고려할 수 있다. 이 문제에 대한 해석해는 다음과 같이 주어 진다.(13)(14)(15)(16)
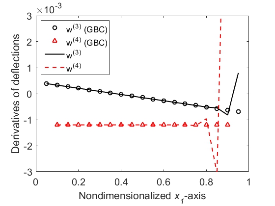
앞 절들에서 부가한 경계조건의 조합으로 표현되는 이 번 예제에서는 단순지지와 고정단 경계에서의 거동을 동시에 확인할 수 있다. 먼저 Fig. 12에는 C2 요소를 사용하여 계산한 w(3),w(4) 결과를 도시하였다. 고전적 경계조건의 결과와 비교 하여 고정단 부근에서만 진동현상이 확인되었다. 한편 C3 연속성 요소의 결과는 Fig. 13에 나타내었다. 고전적 경계 조건은 해석해와 정확하게 일치하는 반면에, 고차미분 값들을 경계에서 기술한 경우에는 모든 경계들에서 진동현상을 보인다. Fig. 12와 Fig. 13을 비교하면, 부정확한 경계조건은 경계 에서의 거동에만 영향을 미치며, 처짐의 미분 차수가 높게 연속하는 요소 일수록 구조물의 내부로 전파되는 정도가 심해 지는 것을 알 수 있다. 또한 단순지지 경계보다는 고정단 경계 에서 그 현상이 더욱 심해지는 것으로 확인되었다.
3. 결 론
본 연구에서는 C2, C3 연속성 유한요소를 이용하여 다양한 경계조건과 하중조건에 대한 정적해석을 수행하고, 요소들의 성능을 비교 분석하였다. 요소의 성능에 영향을 주는 중요한 인자들은, 고차 연속성 정도와 경계조건으로 확인되었다. 집중 하중과 분포하중에 의한 거동의 차이는 없었으며, 경계조건의 차이만이 경계면에서의 거동에 영향을 주었다. 얻어진 결과들은 경계조건들의 항으로 다음과 같이 정리할 수 있다.
자유단 경계조건: 고차 미분 연속성 요소들이 우수한 성능을 보여주었다. 자유단에서는 모든 힘들이 0이기 때문에 고전적 경계조건과 전단력 및 모멘트 자유조건들을 동시에 만족하기 때문인 것으로 확인되었다. 자유단에서 전단력이 가해질 때에도 w(3)=0 조건은 정확한 결과를 보여주었다.
단순지지 경계조건: 자유단 경계와는 다르게 고차 미분 연속성 요소들은 경계조건에 따라 다른 결과를 보여주었다. C2 요소의 경우에는 처짐의 2차 미분이 0이기 때문에 해석해와 차이가 없는 반면에, C3 요소를 사용했을 때는 처짐의 3차 미분이 추가적으로 기술되기 때문에 경계 부근에서 진동현상을 보였다.
고정단 경계조건: 모든 고차 미분 연속성 요소들이 경계 에서 처짐의 진동현상을 보였다. 고정단에서는 고차 미분 값들이 기술되어질 수 없기 때문인 것으로 판단된다. 그러나 이 경우에도 보의 내부에서는 해석해에 수렴하는 결과를 보였다.
경계조건들에 따른 거동을 분석한 결과 보의 내부에서는 영향을 받지 않는 것으로 확인되었다. 경계층 효과는 보가 길수록 내부로 전파되는 깊이가 급격하게 줄어드는 반면, 부정 확한 경계조건에 의한 수치적 경계층 효과는 전파되는 깊이가 일정하게 유지되는 것을 확인되었다. 본 연구에서는 단순한 보에 대한 경계조건들의 영향을 비교 분석하였지만, 관련 정보가 문헌상에 거의 나타나있지 않기 때문에 고차 미분 연속성 요소를 사용하는 것에 대한 가이드라인을 제공할 수 있을 것으로 기대 된다.















