1. 서 론
등기하해석법(IGA: isogeometric ayanysis)은 CAD 모 델에서 기하학적 형상을 표현하는 NURBS(non uniform rational b-spline)기저 함수를 해석에서도 동일하게 사용하는 수치해석 방법이다. 이는 CAD 모델과 유한요소법(EFM: finite element method)로 대표되는 해석을 통합하여 해석의 정확성과 효율성을 높일 수 있게 해 주었다(Hughes et al., 2005). 또한, 조정점(control points)을 변경만으로 형상 변화시에 새로운 요소망 생성없이 변경된 형상에 대한 해석이 간편하며, 경계에서의 법선 벡터, 곡률 등의 기하 정보를 해석 공간에서 직접 고려할 수 있는 장점을 가진다(Ha et al., 2012).
차량 및 작업기계의 거동을 위해 유연 다물체계 동역학 (flexiable multibody dynaimics) 기법을 많이 적용하고 있다. 하지만, 수많은 자유도(DOF: degree of freedom)를 포함하 거나 접촉문제와 같이 비선형성을 포함하고 있는 경우에는 계산 시간이 많이 요구되기 때문에 효율적인 수치해석 방법이 필요 하다. 이를 위해서 모델 축소 기법(MOR: model order reduction) 방법이 많이 쓰이는데, 가장 널리 알려진 방법은 고유치 기반의 축소 기법인 Cragi-Bamp ton(Bampton and Craig, 1968) 방법이다. 이 방법은 구현이 쉬운 반면에 정확한 고유치 계산과 지배적인 고유치의 선택 요구된다(Kim et al., 2018).
고유치 해석에서는 사용하는 기저함수의 차수에 따라 높은 차수의 고유치에서 해의 정확성이 매우 달라지게 된다(Hughes, 2000). 이는 요소사이의 연속성과도 밀접하게 연관되어 있으며, 등기하해석법에서 사용하는 p차의 NURBS 기저함수는 노트 벡터로 나누어지는 요소사이에서 Cp-1차의 연속성을 보장하 기 때문에 요소사이에서 C0 연속성을 보이는 p차 유한요소법 과는 다른 결과를 보여준다(Cottrell et al., 2006).
본 논문에서는 등기하해석법을 이용하여 고유치 기반의 축소 모델을 구성하여 간단한 봉 요소에 대한 동적거동 해석을 수행 하였다. 등기하해석법의 NURBS 기저함수의 차수와 요소간 연속성을 조절하면서 얻어지는 고유치의 정확도를 유한요소법과 비교․검증하였다. 등기하해석법에서 요소간 연속성을 조절 하기 위해 중첩 노트(repeated knot)를 허용하였다. Craig- Bampton 방법을 이용하여 축소 모델을 구성하였다. 지배적인 고유치 모드만을 선택하여, Newmark 시간적분법(Newmark, 1959)을 이용한 동적 거동 해석을 수행하였으며, 주어진 외력의 주파수 성분을 변경하면서 동적해석 결과를 유한요소법과 비교 검증하였다. Fig. 1
2. 등기하 해석법
2.1 B-spline 기저 함수
등기하 해석법에서 1차원 모델을 구성하는 노트 벡터(knot vector)는 아래와 같이 정의된다.(1)
여기서, n은 조정점(control point)의 개수, p는 기저 함수의 차수(order)를 나타낸다. 이러한 노트 벡터를 바탕으로 아래의 기저 함수가 재귀적(recursive)으로 정의된다.(2)(3)
만약 기저 함수가 p의 차수를 가진다면 이를 이용하여 생성된 모델은 p - 1의 연속성(continuity)을 가지며, 이를 Cp-1로 표현한다. 등기하 해석은 이러한 기저 함수를 바탕으로 모델을 생성하며, 높은 차수의 기저 함수를 사용할수록 연속성이 증가 하여 해의 정확도가 높아지는 것이 큰 장점이다. 반면에 유한 요소 해석에 사용되는 기저 함수의 경우 차수가 증가하여도 항상 C0의 연속성을 가지는 것이 특징이다. 2차 기저 함수의 경우, Fig. 2와 같이 다른 형태를 나타낸다.
등기하 해석의 경우, 요소 간의 경계면에서 C1연속성을 가지지만 유한요소 해석의 경우 경계면에서 C0연속성을 가지는 특성을 확인할 수 있다.
2.2 노트의 중첩(Bézier 추출법)
노트 벡터의 파라메트릭 좌표는 등기하해석법에서 해석영역을 요소로 나눌 수 있는 기준이 된다. 노트 간격 [ξi, ξi+1]은 요소를 나타내며, 등기하해석법에서도 유한요소 해석법과 동일한 수치 적분 법칙의 적용이 가능하도록 해준다. B-spline Ni,p(ξ) 은 여러 노트 간격에 국부 지지(compact support)를 가지고 있으 므로 하나의 기저 함수는 여러 요소에 걸쳐서 존재하게 한다. 앞서 언급하였듯이, 요소를 구분 짓는 노트가 반복적으로 존재 하지 않는다면 p차의 기저 함수는 요소 사이에 Cp-1의 연속 성을 나타내게 되며 차수가 증가할수록 요소사이의 연속성도 증가하게 된다(Hughes et al., 2005). 이는 기저 함수가 요소별로 독립적으로 전재하며, 요소 간 C0의 연속성을 보이는 기존 유한요소 해석법과는 다른 특징이다. 본 연구에서는 NURBS 기저 함수가 요소 간에 C0연속성을 갖도록 NURBS 기저 함수에 Bézier 추출 기법(Borden et al., 2011)을 적용 하였다. Fig. 1에 나타난 기저 함수에 Bézier 추출을 위한 매듭값 추가(knot insertion)를 진행할 경우 아래와 같은 수정된 기저 함수를 얻을 수 있다.
요소 사이에 존재하는 기저 함수들의 연속성이 C1에서 C0 으로 감소한 것을 확인할 수 있다. 여기서, p차 Bernstein 다항식은 에서 다음과 같이 재귀적으로 정의된다.
여기서, B1,0 ≡1이고 a < 1 또는 a > p에서 Ba,p ≡ 0이다. B-spline 곡선은 다음과 같이 정의한다.(5)
여기서, 은 각 기저 함수 Ni,p(ξ) 에 해당하는 조정 점 벡터이다. 이 곡선은 B-spline 기저 함수를 식 (4)와 같이 주어지는 Bernstein 다항식 으로 변환 하여 다음과 같이 다시 표현할 수 있다.(6)
은 i번째 기저 함수 Bi,p(ξ) 에 해당하는 조정 점 벡터이다. 이러한 변환은 B-spline을 정의하는 노트 벡터 Ξ 에 l 개의 노트값 을 삽입하여 각 노트 벡터가 p개씩의 중첩 값을 갖도록 함으로써 가능하다. 각 노트 간격 으로 정의된 요소 사이에서 Bernstein 다항식은 C0연속성을 갖는다. 이러한 과정을 Bézier 분리법(Bézier decomposition) 이라 하며, Bézier 추출 연산자에 의해서 B-spline 기저 함수를 다음과 같은 Bernstein 다항식으로 표현할 수 있다(Borden et al., 2011).
여기서, 연산자 C 를 Bézier 추출 연산자라고 한다. Bernstein 다항식은 노트 간격으로 이루어진 각 요소에 한정되어 표현되 므로 모든 B-spline 기저 함수는 요소별로 정의될 수 있으며, 각 요소 e 에서 정의된 Bernstein 다항식과 그 요소에 해당하는 추출 연산자로 다음과 같이 표현할 수 있다.
식 (7)에 의해 B-spline 함수는 곡선의 형태를 유지하면서, C0연속성을 갖는 Bernstein 함수로 변환되게 된다. 각 요소에 영향을 주는 전역 B-spline 함수의 정보(요소와 조정점의 연결성 정보)가 이미 있으므로, 우리가 필요로 하는 것은 단지 요소 e에서 영향을 주는 B-spline Ne (ξ) 함수, 그 요소에서 정의된 Bernstein 다항함수 Be(ξ) , 그리고 그에 해당하는 조 정점 Pb,e 이다. 즉, Fig. 1과 2에 나타난 기저 함수들은 Fig. 3과 같이 연산자 Ce 를 통해서 변환할 수 있다.
2.3 1차원 Truss 문제에 대한 등기하 해석법 구현
물리 공간에서 기하 형상은 식 (8)과 같이 B-spline 기저 함수로 표현할 수 있다.
등기하 해석법은 기하 형상을 나타내는 기저 함수를 이용하여 해를 근사화하는 방법이다. 구하고자 하는 해를 라 하면, 그 근사화된 해 은 다음과 같이 표현된다.
여기서, 은 근사해를 위한 조정 변수이다. 0≤ x ≤ L 에서 정의된 1차원 트러스 동적 구조물의 지배방정식에 가상일의 원리를 적용하여 적분 방정식을 구성하고 그 방정식에 식 (9)를 대입하여 정리하면 다음과 같은 대수 방정식을 얻을 수 있다.(10)(13)(14)
여기서, ρ, E 와 A 는 각각 밀도, 탄성계수, truss의 단면적을 의미하며, FA 는 조정점 A 에 가해지는 외력을 의미한다. J 은 자코비안(jacobian)으로 와 같이 정의한다. 실제 식 (11)과 (12)는 노트 간격으로 정의된 요소에서 적분으로 계산되는 요소 질량과 강성 행렬의 결합으로 얻어진다. 요소별 B-spline 함수 은 식 (8)에 의해 p + 1개의 Bernstein 다항식 변환된다.
3. 모델 축소 기법
3.1 Craig-Bampton 기법
모델 축소기법으로는 가장 대표적이고 널리 사용되는 크랙- 뱀턴 기법을 선정하였다. Craig-Bampton 기법에서 주어진 모델의 운동 방정식은 아래와 같이 정의된다.(15)(16)
여기서, M 과 K 는 각각 원본 모델의 질량 및 강성행렬을 나타 내며, u와 f는 각각 변위 및 힘 벡터를 나타낸다.
Craig-Bampton 법의 특징은 모델을 Fig. 4와 같이 2개 이상의 부구조(substructure)로 나누는 점인데, 식 (7)에서 밑 첨자 s, c와 b는 각각 부구조, 커플링(coupling) 및 경계면 (boundary interface)을 나타낸다. Craig-Bampton 기법 에서는 축소 모델을 생성하기 위해서 크고 복잡한 원본 모델을 직접 다루는 대신에 아래와 같이 작게 나뉜 부구조들의 고유값 문제(eigenvalue problem)를 계산한다.(17)
여기서, 와 번째 부구조의 k번째 고유값해(eigensolution) 를 나타낸다. 또한, ns 와 는 각각 부구조의 개수와 j 번째 부구조의 자유도의 개수를 나타낸다. 식 (18)에서 구해진 해를 바탕으로 아래와 같은 관계식을 유도할 수 있다.
여기서, Φs 와 qs 는 각각 전체 부구조 모드 행렬과 일반화된 좌표 벡터(generalized coordinate vector)를 나타낸다. 크랙-뱀턴 기법은 각 모델을 구성하는 개의 모드 들 중에서 중요 하다고 생각되는 소수의 주요 모드 행렬(dominant mode matrix)만을 선택하여 아래와 같은 변환행렬을 생성한다.(19)
여기서, Φd와 Ψ는 각각 주요 고유값 벡터(dominant eigenvector)와 제약조건행렬(constraint matrix)을 나타 낸다. 또한, I 는 단위행렬을 의미하고, 변환행렬 T위에 표기 된 바(bar)는 축소된 값을 나타내는 기호이다. 각각의 부구조 들에서 소수의 모드들만이 선택되었기 때문에 변환행렬은 정사각 행렬이 아닌 직사각 행렬의 형태를 가지고 최종적으로 아래와 같이 축소된 운동 방정식을 구할 수 있다.(20)(21)
4. 수치 예제
본 단원에서는 앞서 살펴본 등기하해석법 및 유한요소 해석 법을 간단한 봉 모델에 적용하여 모델링 및 시뮬레이션을 진행 하고자 한다. 노드 당 1개의 자유도를 1차원 봉 모델의 운동 방정식은 아래와 같이 구성된다.(22)
이때, x는 0과 1 사이의 값을 가지며, x =0 인 지점에 구 속 조건을 부가하였다: u(0) =0. 본 연구에서는 이러한 봉 모델을 등기하 해석법 및 유한요소 해석법에 사용되는 기저 함수를 이용하여 생성하였다. 봉 모델을 구현하기 위해서 100 개의 조정점이 사용되었다. (N =100) 또한, 매듭값 추가를 이용하여 마찬가지로 100개의 조정점을 가지면서 요소 간 연속성이 감소한 모델들도 추가로 생성하였다. 유한요소 해석 모델은 1차, 2차 및 3차 차수를 가지는 모델을 생성하였으며, 유한요소 해석법의 특성으로 인해 모두 C0연속성을 가진다.
4.1 고유값 해석
본 단원에서는 등기하 해석법 및 유한요소 해석법을 이용한 봉 모델을 생성하고 이들의 고유값 해석 결과를 비교했다. 앞서 생성한 봉 모델은 아래와 같은 엄밀해(exact solution)를 가진다.
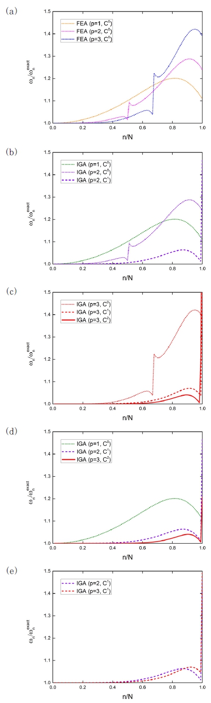
이때, 는 모델이 가지는 n번째 고유 진동수(natural frequency)를 나타낸다. 각 모델에서 고유값 문제를 계산하 였고 구해진 해를 식 (23)에 표기된 엄밀해와 비교하였다. 이때, 각 모델에서 구해진 n번째 고유 진동수를 ωn으로 정의하였다. Fig. 5는 여러 가지 경우에 대한 엄밀해와 실제해 사이의 비교를 나타낸 그래프이다.
먼저, Fig. 5(a)에서 유한요소해석법(FEM)에서의 차수가 증가함에 따른 해의 정확도 변화를 살펴볼 수 있다. 저차 모드 구간에서는 정확도가 향상되는 반면, 고차 모드에서는 오히려 정확도가 떨어지는 경향성을 보인다. Fig. 5(b)와 5(c)에서는 등기하해석법(IGA)의 정확도를 확인할 수 있다. 차수와 관계 없이 매듭값 추가를 통해서 요소 간 연속성이 C0로 떨어지면 유한요소 해석법과 완전히 같은 경향성을 나타냄을 확인할 수 있다. Fig. 5(d)에서는 Fig. 5(a)와는 다르게 차수가 증가함에 따라 저차 및 고차 모드에서 모두 해의 정확도가 증가하는 등기 하해석법의 장점을 확인할 수 있다. 또한 Fig. 5(e)에서 등기 하해석 모델이 C1이상의 연속성을 가질 때, 차수가 다르더라도 유사한 정확도를 나타냄을 확인할 수 있다. Fig. 5에서 등기하 해석법의 고유치 해석 결과 최고차 고유치 값이 불연속적으로 매우 커지는 이상점(outlier)가 발견된다. 이는 맨 끝점 x =1 에서, 열린 노트(open knot)로 인한 수치적인 에러로 차수 p가 증가할수록 커진다. 이는 연속적인 지배방정식을 이산화하는 과정에서 생기는 에러로 조정점 간격을 균일하게 조정하면 개선 할 수 있다(Cottrell et al., 2006).
4.2 변이 해석
본 단원에서는 앞서 살펴보았던 등기하 해석법의 높은 정확 도가 실제 동적 해석(dynamic analysis)에서 어떠한 효과를 나타내는지를 살펴보고자 한다. 이를 위해 앞서 생성한 봉 모델을 이용한 변이 해석(transient analysis)을 수행하였으며, 저차 및 고차 입력 외력 주파수(input frequency)를 가하여 경향성을 분석하였다. 이때, 변이 해석의 경계 조건 및 하중 조건은 Fig. 6과 같다.
생성한 봉 모델의 x = 0지점을 구속하였고, x =1인 지점에 또는 의 입력 주파수를 가지는 1의 하중을 가하였다. 여기서 밑 첨자 l 과 h는 입력 외력의 저차(low-order) 및 고차 (high-order) 주파수를 의미한다.
4.2.1 등기하 해석법에서의 차수의 영향
먼저, 같은 등기하 해석법을 이용할 때, 차수에 따른 거동 차이를 살펴보았다. =5π 및 =75π로 지정하였으며, 이를 이용한 변이 해석을 수행하였다. 모델의 동적 해석을 위해서 Newmark 방법(Newmark, 1959)이 사용되었다. 먼저, 저차 주파수 를 가지는 조화 외력 cos ( ) 이 가해졌을 경우 해석 의 결과가 Fig. 7에 나타나 있다.
이는 x =1인 지점에서의 x방향 변위를 나타낸 것인데, 차 수와 관계없이 모든 모델이 같은 거동을 나타냄을 확인할 수 있다. 반면에, 고차 주파수 를 가지는 조화외력 cos () 을 가했을 경우 변이 해석 결과는 차수에 따른 거동 차이가 발생 하였는데, 그 결과가 Fig. 8에 나타나 있다.
저차 입력 주파수의 경우와는 다르게 차수가 증가함에 따라 모델들 간에 차이가 발생하였는데, 이러한 차이는 Fig. 6(d) 에서 볼 수 있듯이, 저차 모드 구간에서는 차수에 따른 해의 정 확도 차이가 매우 미미하지만, 고차 모드 구간에서는 그 차이가 매우 크기 때문으로 생각된다. 즉, 같은 등기하해석법을 사용 하더라도 사용되는 NURBS 기저함수의 차수와 요소간 연속 성에 따라 정확도에 차이가 발생할 수 있음을 알 수 있다.
4.2.2 등기하 해석법과 유한요소 해석법의 비교
본 단원에서는 같은 차수를 가지는 등기하해석 및 유한요소 모델 사이의 거동 차이를 분석해 보고자 한다. 이를 위하여 p =3의 모델을 사용하였으며 등기하 해석 모델의 경우 요소 간 연속성의 영향을 살펴보기 위하여 매듭값 추가를 통한 C0 및 C1연속성 모델을 추가로 고려하였다. 저차 및 고차 입력 주파 수에 따른 해석 결과가 Fig. 9에 정리되어 있다. 앞선 경향성과 같이, 저차 주파수의 조화 입력 외력이 가해졌을 경우에는 기법 및 차수에 따른 영향이 거의 없었지만, 고차 주파수의 조화 입력 외력이 가해졌을 경우에는 그 차이가 두드러지게 나타났다. 연속성이 낮아져 C0연속성을 가지는 경우, 유한요소 해석법과 동일한 거동을 나타냈다. 즉, 유한요소법과 등기하해석법의 가장 큰 차이점은 요소 간 연속성에 기인하며, 같은 연속성을 가진 다면 두 해석법은 동일한 성능을 나타내게 된다. 또한, 이러한 요소 간 연속성은 특히 고차 모드 구간에서의 해의 정확성에 막대한 영향을 미친다.
4.2.3 모델 축소기법의 적용
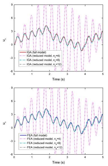
본 단원에서는 앞서 소개한 대표적인 모델 축소기법인 Craig-Bampton 기법을 등기하 해석 및 유한요소 해석 모델에 적용하고 거동을 분석한다. 일반적으로 대부분의 모델 축소기 법들은 유한요소 해석에 적용하기 위해 개발되었으며, 등기하 해석법에 적용된 사례는 매우 적다. 먼저, 저차 입력 주파수 을 가지는 조화 입력 외력을 가했을 경우에서의 등기하해석 및 유한요소해석 결과가 Fig. 10에 나타나 있다.

Fig. 10
Transient responses of full and reduced models with low input frequency in IGA and FEA models
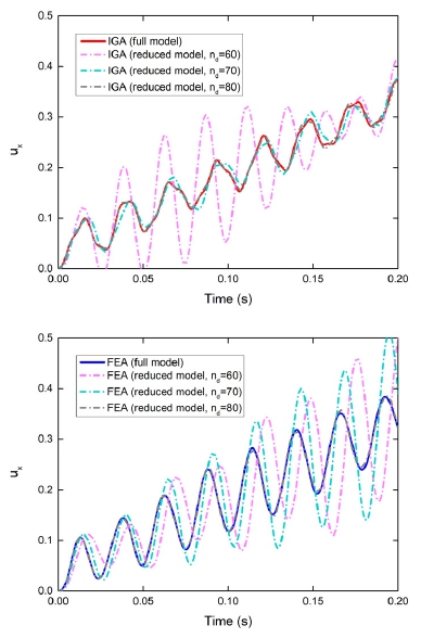
축소 모델 적용시 총 N =100개의 모드 중 주요 모드 선택 개수 nd(=4, 8, 12)를 달리함에 따른 비교하여 Fig. 10에 정리하였으며, 주요 모드의 개수가 증가함에 해가 축소 전 모델 (full model)의 값에 수렴함을 알 수 있다. 저차 입력 주파수를 갖는 조화 입력을 가했을 경우에는 앞선 경우들과 같이 등기 하해석법과 유한요소해석법 사이의 차이가 나타나지 않았으며, 축소 모델의 결과도 같았다(Fig. 10). 반면, 고차 주파수의 조화 입력 외력을 가했을 경우에는 Fig. 11과 같이 유한요소 법과 등기하해석법의 결과 차이가 발생하였는데, 등기하해석 법은 유한요소법에 비해 고차 고유치에서 보다 정확한 값을 제공하므로 높은 주파수의 외력이 가해질 경우 동적거동 역시 유한요소법보다 정확한 결과를 보여준다고 판단할 수 있다. 다만, 충분한 수의 주요 모드를 선택하지 않는다면, 해의 정확 성은 등기하해석법과 유한요소법 두 경우 모두 떨어짐을 알 수 있다.

Fig. 11
Transient responses of full and reduced models with high input frequency in IGA and FEA models
고차 입력 주파수의 경우, 유한요소모델과 등기하해석모델의 거동이 다르다. 이는 유한요소모델의 경우 고주파 영역에서 고유치 값이 정확하게 계산되어지지 않기 때문이다. 그러나 축 소모델이 원본 모델과 유사한 거동을 나타내는데 필요한 주요 모드의 개수는 두 기법 모두 80개로 같았다. 본 연구에서 사용된 입력 주파수 75π는 변이 해석에 사용된 봉 모델에서 상당히 높은 고차 모드이다. 신뢰성 있는 결과를 도출하기 위해 이 입력 주파수 범위를 포함하도록 해야 한다. 본 연구에서는 순차적으로 가장 낮은 주파수 범위에서부터 차례로 주요 모드를 선택하였기 때문에(cut off 방법) 충분히 많은 수의 모드를 선택해야 축소 모델이 정확한 엄밀해에 가까운 거동을 보일 수 있다.
5. 결 론
본 연구에서는 등기하 해석법 및 유한요소 해석법을 이용하여 봉 모델을 생성하고 이들의 해를 이론값인 엄밀해와 비교하였다. 이를 통하여 등기하해석법이 저차 모드뿐만 아니라, 특히 고차 모드에서 높은 정확도를 나타냄을 확인하였다. 이는 등기하해 석법이 가지는 요소 간의 높은 연속성에 기인한 것이며, 실제로 노트 중첩를 통해 연속성을 C0로 낮추었을 경우에는 유한요소 해석법과 같은 결과를 가짐 역시 확인하였다. 두 해석 기법에 모델 축소기법을 적용하여 변이 해석을 진행하였으며, 등기하 해석법에도 모델 축소기법이 효과적으로 작동됨을 검증하였다. 등기하해석법에 모드 기반의 축소 모델을 적용할 경우 고차 고유치 값이 유한요소보다 정확한 값을 보여줌으로 보다 정확한 값을 줌을 알 수 있지만, 더 많은 모드를 선택해야 하는 단점이 있다. 이러한 단점을 극복하기 위해서는 향후에 효율적인 모드 선택 방법의 개발이 필요하다.











