1. 서 론
프리스트레스트 콘크리트(prestressed concrete, PSC) 구조는 콘크리트 내부 텐던(tendon)에 미리 응력을 가하여 기존의 콘크리트 구조보다 경제적이고 처짐과 균열을 억제 하는 등 뛰어난 성능을 가진 구조이다. 이러한 장점들을 통해 현재 다양한 토목‧건축 구조물에 사용되고 있으며, 특히 장경 간구조(long span structures)에 대한 기능이 우수하여 많은 교량 구조물에 적용되고 있다. 하지만, Ynys-y-Gwas Bridge (1985년), Malle Bridge(1992년), I-70 Overpass(2005 년), 정릉천 고가도로(2016년) 등 국내외 교량 사고 사례를 통해 볼 수 있듯이, PS텐던의 관리 문제로 인한 교량 붕괴 및 사고가 빈번하게 발생하고 있다. PSC 교량이 노후화되면서 거더 내부 텐던에 손상이 발생하고, 이로 인한 물과 염소 이온의 접촉을 통해 부식‧파단이 발생하여 응력이 저하됨에 따라 교량 내 거더의 구조적 안정성이 저하되었다(Youn and Kim, 2006;Kim et al., 2018).
따라서 PSC 거더의 구조적 안정성을 확보하기 위해서는 거더 내부 텐던의 긴장력 관리가 매우 중요하다. 텐던의 재료적 특 성인 릴랙세이션과 콘크리트 하중에 의한 크리프가 동시에 발생 하면서 두 가지 영향으로 인한 부재의 응력이 감소하고 변형이 증가하기 때문에 지속적인 PSC거더 내 텐던의 긴장력 관리는 필수적인 부분이다. 하지만 현재 시공 시 텐던에 도입되는 초기 응력에 대한 검증은 이루어지고 있으나, 시공 후 공용 시 텐던의 긴장력 관리는 제대로 이루어지지 않고 있다(Kim et al., 2015).
이에 PSC교량 내 텐던의 긴장력을 관리하기 위해서 다양한 비파괴 검사에 대한 연구가 진행되었다. 대표적으로 진동 특성 (Saiidi et al., 1994;Russell and Lardner, 1998), 초음파 ‧탄성파의 속도(Chen and Wissawapaisal, 2001;Washer et al., 2002), 자기장(Sumitro et al., 2002;Wang et al., 2005; Kim)을 이용한 텐던 장력 추정 기법에 대한 연구가 진행되었으며, 이 외에도 정착판의 임피던스(Kim et al., 2009), 텐던 내부의 FBG센서(Kim et al., 2012) 등을 이용 한 방법 등 다양한 계측 기법이 제안되었다. 그러나 기존의 PS 텐던의 긴장력 추정 기법에 대한 연구는 외부 텐던에 대한 긴 장력 추정 기법 혹은 실제 PSC교량 거더 내 텐던의 긴장력을 관리하는데 있어서 적용하기 어렵다.
따라서 본 논문은 안정적인 전력공급이 어려운 실제 현장에 적용하고 추후 무선운용 시스템을 개발하기 위해 저전압 상태 에서의 EM센서를 이용한 PSC거더 내부 텐던의 긴장력 추정 기법을 제안하고자 한다. 특히, 정착구 외부의 영향을 받지 않고 양쪽의 정착구사이 강재의 응력구간(Kim et al., 2013)인 거더 내 쉬스관(sheath pipe)에 연결 가능하도록 내부매립형 EM (elasto-magnetic)센서를 제작하였다(Park et al., 2015). 이를 이용하여 유압식 인장기를 이용한 텐던의 인장 실험 모델을 구성하고 전압 크기에 따라 케이블 긴장력 계측 실험을 진행하 였다. 또한, 취득한 계측데이터를 기반으로 얻은 긴장력과 유압을 통해 산정된 긴장력을 비교·분석하여 저전압 PSC거더 내부 텐던의 긴장력 관리 기법에 대해 검증하였다.
2. PS 텐던의 긴장력을 추정하기 위한 EM센싱 기법
이 장에서는 본 연구에서 적용된 EM(elasto-magnetic) 센서의 자기이력 모니터링 기법에 대한 탄성-자기이론을 소개 한 후, 이를 바탕으로 자기변형과 응력의 효과에 따른 저전압 PSC 내부 텐던의 긴장력 추정 기법에 대하여 말하고자 한다.
2.1 탄성-자기 이론 기반 자기이력 모니터링
강자성체를 자화할 때 그 자성체에 탄성적 변형이 생기는 현상을 자왜 혹은 자기변형(magnetostriction)이라 한다. 이 때, 식 (1)과 같이 변형된 크기와 원래 크기의 비율을 변형률 (strain, λ)이라 하며, 그 크기는 매우 작다.
일정한 자기장 상태에서 양의 자기변형을 갖는 재료에 대한 자화가 미치는 인장력 효과는 응력이 증가할수록 자화도 증가 시키게 된다. 이처럼 응력은 자화곡선의 특성만 변화시킬 뿐만 아니라 자기변형에 대해 영향을 주게 됨으로써 자기 특성 변화의 크기는 그 재료만의 성질을 나타나게 된다. 이와 같은 현상은 자기변형이 등방성일 경우, 변형률과 응력을 포함한 자기 구역의 내부퍼텐셜에너지인 자기탄성에너지(magnetoelastic energy, Eσ)로서 설명할 수 있다.
이 때, λs 는 포화자기변형(saturation magneto-rest- -riction)이며 θ 는 응력과 자화 방향이 이루는 각을 의미한다. 그리고 σ는 적용된 응력(applied stress)이며, 이를 이용하여 다음과 같은 식으로도 표현할 수 있다.
여기서, Js 는 자기 편극(magnetic polarization), μr 은 재료의 상대 투자율, 그리고 μ0는 진공상태의 투자율을 말한다.
투자율(permeability, μ)이란 강자성체에 자화할 때 생기는 자속밀도(magnetic flux density, B )와 진공 중 자기장 세 기(H)의 비를 의미하며, 식 (4)와 같이 나타낼 수 있다.
이 때, 강자성체에서는 Fig. 1과 같이 자기장의 방향과 크기에 따라 자화가 변하는 순환 형태의 히스테리시스곡선 (hysteresis loop)을 갖게 되며, 이를 통해 투자율을 얻을 수 있다. 하지만 이때의 투자율은 자기장 강도에 따라 일정하지 않기 때문에 자기 곡선의 기울기가 아니며, 단순한 자속밀도와 자기장 세기의 비를 의미한다.
이러한 이론을 바탕으로 본 연구는 이중 원통코일 형태의 EM센서를 이용하여 탄성-자기 특성 변화에 따라 강자성체에 도입된 응력을 추정하고자 한다. EM센서의 원리는 강자성체를 자화시키고 동시에 가해진 자기장과 비투자율에 따라 자속밀 도의 변화를 확인한다. 즉, 센서를 통해 계측된 히스테리시스 곡선을 이용하여 PSC 내부 텐던에 걸린 응력에 따라 자속밀도의 변화를 확인함으로써 PS텐던의 긴장력 추정이 가능하다.
3. EM센서를 이용한 저전압 PSC 내부 텐던의 긴장력 추정 실험
3.1 실험 계획 및 구성
탄성-자기 이론에 따라 PSC 내부 텐던의 긴장력을 추정하기 위해 Fig. 2와 같이 이중 원통 코일 형태의 EM센서를 제작 하였다. 쉬스(sheath)에 결속이 가능하도록 특수제작된 내부 매립형 PVC 보빈에 굵기가 다른 코일을 이중으로 권선하였다. 여기서 1차코일은 300ר150mm 보빈에 200mm 폭으로 1.2mm 에나멜동선을 300회 권선하였으며, 2차코일은 300× Ø100mm 보빈에 20mm 폭으로 0.3mm 에나멜동선을 105회 권선하였다. 이를 통해 실험에서 발생할 수 있는 정착손실에 의한 긴장력 손실은 영향이 미칠 수 있으나, 정착조건에 대한 영향이 없도록 설계하였다.
또한, 제작된 EM센서를 이용하여 전압 크기에 따른 PSC 내부 텐던 긴장력의 자기이력을 모니터링하기 위해 Fig. 3과 같이 유압식 인장기를 이용한 PS 텐던의 인장 실험 모델을 제 작하였다. 형태는 폭 32mm, 높이 32mm, 길이 1.7m의 반력 대로서 텐던을 고정하고 지지하는 역할을 해주며, 유압잭 (hydraulic jack)을 이용하여 84mm 원형 인장기를 통해서 텐던의 인장력을 도입하였다. 이 때, 본 실험에 적용한 텐던은 길이 2.5m의 7연선 15.2mm PC 강연선이다.
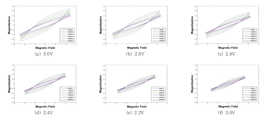
실험장비는 DC Power Amplifier, Integrator 및 DAQ (NI PXI-6251, BNC-2120)로 구성하였으며, 구성된 장비 를 통해 EM센서를 운용하여 도입된 긴장력 크기에 대한 자기 이력곡선(magnetic hysteresis loop)을 계측하였다. 본 연구의 목적에 따라 저전압 상태에서 PSC 내부 텐던의 긴장력 추정이 가능함을 확인하기 위해 각 입력 전압의 크기를 6단계로 나누어 3.0V부터 2.8, 2.6, 2.4, 2.2, 2.0V까지 감소시키며 총 4번의 반복실험을 실시하였고, 이에 대한 긴장력에 따른 자기 이력곡선의 변화를 확인하였다. 이 때의 인장기를 이용한 도입 된 긴장력 크기는 각각 0, 10, 20, 30, 40, 50MPa이다.
3.2 실험 결과
실험을 통해 각 전압 크기에 따라 긴장력에 대한 자기이력곡 선의 변화는 Fig. 4와 같이 나타났다. 전압값 3.0V부터 2.0V로 감소하면서 긴장력이 증가할수록 단계적으로 자기이력곡선의 면적과 기울기가 감소하는 것을 볼 수 있었다.
여기서, 자기이력곡선의 기울기는 투자율(permeability)을 의미하며, 정량화하기 위해 각 전압 크기에 따라 긴장력에 대한 투자율을 Fig. 5와 같이 나타내었다. 이 결과, 확연하게 긴장 력에 대해 단계적으로 감소하는 것을 확인할 수 있었으며, 또한 전압값이 낮아짐에 따라 발생하는 자기장의 크기가 감소하여 전압값 3.0V보다 전압값 2.0V일 때 계측된 자기이력곡선의 투자율이 작게 나타는 것을 확인할 수 있었다.
이에 최고/최저 전압 크기에 대한 자기이력곡선의 투자율 (μ)과 긴장력(T )간의 관계를 비교·분석하기 위해서 선형회귀 분석기법을 통해 전압값 2.0V와 3.0V에 대한 긴장력 추정식을 도출하였다.
이 때, 각 도입된 긴장력의 크기는 유압을 통해 산정된 값으로 0, 55.42, 110.84, 166.25, 221.67, 277.09kN이다.
이를 통해 Fig. 6과 같이 얻어진 분석 결과를 보면, 최대/ 최소 전압 크기에 따라 도출된 추정식에 대해 자기이력곡선의 투자율과 긴장력 관계는 선형관계를 가지고 변화하는 것을 확인할 수 있었다. 또한, 전압이 감소함에 따라 자기장의 크기가 감소하면서 추정식의 상수값은 상이하지만, 유사한 형태의 긴 장력에 대한 자기이력곡선 투자율의 변화를 확인할 수 있었다.
이에 본 연구를 통해 도출된 투자율-긴장력의 관계에 따라 저전압 상태에서의 PSC 내부 텐던에 대한 EM센서를 이용 하여 긴장력을 추정할 수 있으며, 이를 이용하여 추후 무선운용 상태에서의 PSC 내부 텐던의 긴장력 관리가 가능함을 확인하 였다.
4. 결 론
본 연구에서는 저전압 상태에서 EM센서를 이용하여 현장 적용성을 향상시키고 추후 무선운용 시스템을 구축하기 위해 PSC 내부 텐던의 긴장력 추정에 대한 자기이력 변화를 확인하 였다. 탄성-자기(elasto-magnetic)이론을 바탕으로 강자성 체의 자기변형과 응력의 관계를 이용하여 PS텐던에 도입된 긴 장력 크기에 따라 자기이력곡선의 투자율 변화를 통해 긴장력을 추정할 수 있었다. 이에 EM센서를 이용하여 안정적인 전력공 급이 어려운 실제 PSC 교량 현장에 적용하기 위한 기초연구로써, 전압 크기에 따라 긴장력에 대한 자기이력곡선의 변화를 확인 하고 이를 통해 저전압상태에서의 PSC 내부 텐던의 긴장력 관리에 관한 연구를 실시하였다.
이에 전압 크기에 따라 긴장력에 대한 자기이력곡선의 변화를 계측하기 위해서 내부 매립형태의 이중 원통코일형 EM센서를 제작하였다. 또한 전압의 변화에 따라 안정적으로 실험을 하기 위해 실내 실험단계에서 유압식 인장기를 이용한 PS텐던의 인장 실험 장치를 구성하여 실험을 진행하였다. 이를 통해 제작된 센서를 이용하여 전압값 3.0V를 기준으로 0.2V씩 6단계로 나누어 실험을 진행하였으며, 긴장력은 유압식 인장기를 이용 하여 0, 55.42, 110.84, 166.25, 221.67, 277.09kN를 도입하였다. 이 때, 전압 크기에 따라 EM센서를 이용하여 긴 장력 단계에서 자기이력곡선을 계측하였다.
실험을 통해 계측된 각 전압 크기에 따라 긴장력에 대한 자기 이력곡선의 변화를 보면, 긴장력이 증가할수록 자기이력곡선의 면적과 기울기 또한 감소하는 것을 볼 수 있었다. 이에 최대/ 최소 전압 크기에 대한 자기이력곡선의 투자율을 추출하여 투자 율의 변화와 긴장력 간의 관계를 선형회귀 분석방법을 이용하여 추정식을 도출하였다. 그 결과, 최대/최소 전압 크기에 따른 투자율의 변화와 긴장력간의 관계는 전압이 감소하면서 자기 장의 세기가 감소하여 추정식에 대한 상수값이 상이함을 알 수 있었다. 하지만 선형관계로서 유사한 형태의 긴장력에 대한 자기이력곡선 투자율의 변화를 확인할 수 있었으며, 이에 본 연구를 통해 도출된 투자율-긴장력의 관계에 따라 저전압 상태 에서의 PSC 내부 텐던에 대한 EM센서를 이용한 긴장력 추정이 가능함을 확인하였다. 이에 따라 추후 EM센서를 이용하여 무선운용이 가능한 PSC 내부 텐던에 대한 긴장력 관리가 가능 할 것으로 판단된다.








