1. Introduction
2. Optimization formulation
2.1 Linear eigen buckling analysis
2.2 Optimization formulation
3. Optimization results
3.1 Sensitivity analysis
3.2 Buckling temperature optimization
3.3 Buckling mode optimization
3.4 Application to real-life structures
4. Conclusion
1. Introduction
본 연구는 유한요소 시뮬레이션과 치수 최적화 기법을 결합하여 열팽창으로 인한 좌굴 사례에서 구조물의 좌굴 형상과 좌굴 온도를 제어하는 새로운 구조 최적화 방법을 제시한다. 구조적 안정성 관점에서 구조물의 좌굴 온도 및 좌굴 형상을 예측하는 것은 구조물 설계에서 중요하다. 구조물의 형상과 같은 기하학적 특징을 변경함으로써 구조물의 좌굴 온도와 좌굴 형상을 변경할 수 있는데, 열 좌굴 이론을 고려하여 본 연구에서는 설계 변수로 구조물의 두께 값을 설정했다. 본 연구가 제안하는 최적화 방법을 입증하기 위해 좌굴 온도와 좌굴 형상을 고려한 몇 가지 치수 최적화 문제를 해결했다.
일반적으로 강성이나 진동에 의한 변형이 아닌 구조 불안정 문제가 자동차, 항공기, 발전 설비 등에서 발견되고 있다. 이 불안정성 문제(좌굴, 피로 등)중에 재료의 열팽창으로 인한 좌굴 문제로 많이 밝혀지면서 열에 의한 좌굴 문제 연구가 많이 진행되고 있다. 좌굴에 대한 온도의 영향(George and Jeyaraj, 2018; Moulin et al., 1989; Rakow and Waas, 2005)이나, 단일 재질보다 열팽창 영향이 큰 복합재질의 좌굴(Bai and Xiong, 2014; Fu et al., 2019)에 대한 연구가 진행되었다. 그리고 좌굴 문제를 해결하기 위한 실험적 방법(Dong et al., 2020; Wu et al., 2019) 등에 대한 연구로 발전되었다. 또한, 구조물 설계 단계에서 좌굴 발생 온도와 좌굴 형상을 최적화하는 새로운 방법(Lee and Yoon, 2020)도 제시되었다. 이 방법은 구조물을 여러 요소로 나누어 각각의 두께를 최적화했지만, 구조물 두께가 연속되지 않은 계단식 두께로 실제 설계에 반영하기에는 다소 어려움이 있다.
본 연구에서는 선행 연구의 계단식 두께 최적화를 연속적인 두께로 구조물의 좌굴 발생 온도 및 좌굴 형상을 최적화한다. 구조물을 여러 요소로 나누고, 각 요소의 끝점인 노드 두께를 설계 변수를 적용한 6-자유도 4-노드 쉘 요소를 모델링에 적용하였다. 쉘 요소의 두께는 노드에 할당된 두께 값에 따라 달라지며, 중간 평면을 기준으로 위아래로 대칭 형태를 가지도록 설정하였다. 쉘 요소 두께의 변화는 구조물의 강성 매트릭스의 변화를 야기하고, 이로 인해 구조물의 좌굴 온도와 좌굴 모드 형상이 모두 바뀌게 된다. 본 연구에서는 ANSYS APDL의 181 쉘 요소와 MATLAB의 최적화 알고리즘을 사용한 유한요소해석 기법으로 최적설계를 진행하였다. 구조물의 선형 고유 좌굴 해석은 구조물의 양 끝단을 고정하고 모든 요소에 열을 인가하여 진행했고, 민감도 계산은 유한 차분법(Finite Difference Method)을 사용했다. 좌굴 발생 온도 최적화를 위해 초기 설계 시 발생한 좌굴 온도와 목표 좌굴 온도 간 차이를 최소화하는 목적 함수로 설정한다. 형상 최적화를 위해서는 초기 형상에서 목표 형상의 변형을 최소화하는 목적 함수로 설정하였다. 두 최적화 수행에서 제약 조건은 두께 변화로 발생하는 구조물의 전체 체적으로 하였다. 본 연구에서 제안한 치수 최적화 기법을 통해 원하는 좌굴 온도 값과 좌굴 모드 형상을 가지는 복합 구조물을 설계할 수 있고, 이를 검증하기 위해 평면 쉘 구조를 이용한 여러 사각 영역 최적화 예제를 풀어보았다.
본 연구는 다음과 같이 구성된다. 2장에서는 열 좌굴 해석을 위한 기본 방정식과 3장에서는 현재 연구의 타당성을 입증하는 복합 구조물의 좌굴 온도와 좌굴 형상을 제어하는 예제들을 제시한다. 4장에서는 결론과 향후 진행될 수 있는 연구 주제에 대해 논의한다.
2. Optimization formulation
이 장은 고유좌굴 해석에 대한 이론을 정리한다. 또한 열팽창을 고려한 좌굴 현상에서 구조물의 좌굴 온도(Buckling temperature)와 좌굴 고유 모드(Buckling mode shape)를 최적화하기 위하여 목적함수를 정식화한다.
2.1 Linear eigen buckling analysis
본 연구는 선형 좌굴 해석을 진행한다. 3차원 구조물 중 주로 쉘 구조물에서 좌굴 현상이 많이 발생하기 때문에 본 연구에서는 ANSYS의 4절점 쉘 요소를 사용하여 해석을 진행한다. 4절점 쉘 요소에서 형상 함수는 다음과 같다.
등매개변수(Isoparametric) 공간은 으로 정의된다. 강성행렬을 구하기 위해서 변형률-변위관계 행렬(Strain-Displacement matrix) 를 아래와 같이 정의한다.
쉘 요소의 구성 행렬(Constitutive matrix) 는 다음과 같다.
여기서, 는 탄성 계수, 포아송 비, 쉘 요소의 두께를 나타낸다. 행렬 와 는 단일 쉘 레이어의 요소강성행렬 을 계산하는데 사용된다. 두께 방향의 좌표를 z로 표현할 때, 자코비언 행렬 를 이용해서 단일 쉘 레이어의 요소강성행렬은 다음과 같이 표현할 수 있다.
복합 쉘 레이어의 요소강성행렬 같은 경우, 쉘 레이어마다 요소강성 행렬이 다르고 z에 대한 연속함수가 아니기 때문에 좌표 z를 로 변환해서 적분구간을 나눠서(Panda and Natarajan, 1981) 계산해야 한다. 여기서, 은 복합 쉘의 번째 쉘 레이어가 있는 구간의 좌표를 나타낸다. 좌표 변환은 다음과 같이 행해진다.
여기서, 은 번째 쉘 레이어의 두께를 나타내고, 는 복합 쉘 레이어 요소의 총 두께를 나타낸다. 이를 이용해서 총 레이어 수 L개로 이루어진 복합 쉘 레이어의 요소강성행렬 는 다음과 같이 계산된다.
구조물의 변형을 나타내는 변형벡터 는 열 하중 를 이용해서 다음과 같이 계산한다. 여기서, 는 구조물의 단면적, 는 열팽창계수, 는 온도변화를 나타낸다.
변형 벡터 를 이용해서 구조물 내부의 응력을 계산한다. 응력 값은 개별 가우스 점(Gauss point)에서 다음과 같다.
하중이 가해졌을 때의 단일 쉘 레이어의 요소강성행렬 과 복합 쉘 레이어의 요소강성행렬 은 형상함수 미분 행렬 와 Cauchy stress 행렬 를 이용해서 계산한다.
계산된 값들을 이용해서 쉘 요소의 고유 좌굴 수식을 공식화할 수 있다.
고유 값 은 하중 벡터가 좌굴을 유발하는 임계값으로 조정해주는 하중 승수이다. 고유 벡터 는 해당 하중에 의한 좌굴 형상 값이다.
2.2 Optimization formulation
본 연구에서는 각 요소의 노드의 두께를 설계 변수로 설정한다. 좌굴 온도를 최적화하기 위해서 목적 함수 및 제약 조건은 다음과 같다.
여기서, 와 는 각각 k번째 좌굴 형상의 초기 설계 구조물의 좌굴 온도와 목표 좌굴 온도이다. 설계 변수 의 상한 값과 하한 값은 과 이다. 설계에 고려되는 좌굴 온도 값의 개수는 n이다. 는 최적 설계된 구조물의 부피이고, 는 구조물 부피의 상한 값이다. 좌굴 형상 최적화를 위한 목적함수와 제약 조건은 다음과 같다.
와 는 k번째 좌굴 형상을 일으키는 초기 설계 구조물의 변형 값과 목표 형상의 변형 값이다. 그 외에 설계 변수의 상하한 값, 구조물 부피의 상한 값은 식 (13)과 동일하게 설정하였다.
최적설계를 진행하기 위한 프로세스는 Fig. 1과 같이 진행한다. 식 (13)과 식 (14)을 통해 최적화 식을 공식화한 후, 설계 변수 및 제약 조건을 정의한다. 그 후, 2D 쉘 요소를 이용하여 구조물을 모델링하고, 열 하중을 적용하여 선형 고유 좌굴 해석을 진행하였다. 해석해서 나온 고유 값에 열 하중 값을 곱하여 좌굴 온도 값을 구하였다. 좌굴 해석을 진행한 다음, 유한 차분법을 기반으로 한 좌굴 관련 민감도 분석을 수행하였다. 목표 좌굴 온도 또는 형상이 나올 때까지 구조물의 모델링 단계부터 민감도 분석 단계까지 반복하여 최적화 프로세스를 진행한다. 본 연구에서 제안한 최적화 공식의 타당성을 확인하기 위해 복합 재료를 이용한 예제로 최적화 검증하였다.
3. Optimization results
최적화 예제들은 Fig. 2와 같은 크기 100mm × 10mm와 100mm × 100mm의 복합 재료 구조물에 진행했으며, 양 끝을 6-자유도 구속 하였다. 구조물의 연속적인 두께 변화를 유도하기 위해서, 구조물은 25개의 요소와 36개의 노드로 이루어진 4 노드 쉘(Shell 181)로 모델링했으며 각 노드의 초기 두께는 1.50mm로 일정하다. Shell 181은 횡 방향 전단변형의 선형효과를 포함함으로써 shear locking 현상을 완화해 해석의 정확도를 높여준다.
3.1 Sensitivity analysis
최적설계를 진행할 때, 구조해석을 할 때마다 설계 민감도 값들이 동일해야 정확한 최적의 해를 구할 수 있다. 본 연구에서 좌굴 해석은 subspace method를 이용하여 진행했는데, 설계 민감도 값들이 구조해석을 할 때마다 동일한지 검증하기 위하여 예제들을 진행하기에 앞서 민감도 해석을 진행하였다. 본 구조 최적화 문제는 노드의 두께를 설계 변수로 취하고, 36개의 노드로 이루어진 구조물에 진행하기 때문에 본 문제에서 설계 변수는 36개이다. 설계 변수의 개수가 많지 않아서 민감도 계산은 FDM으로 효율적으로 계산할 수 있다. 민감도 해석은 100mm × 10mm 판을 이용해서 진행했다. Fig. 3을 기준으로 구조물의 좌우를 구속했고, 구조물 전 영역에 열을 가해서 민감도 분석을 진행했다. Table 1은 설계 변수 값의 변화에 따른 민감도 분석 결과를 보여준다.
Table 1.
FDM tests with the perturbations
Fig. 3을 기준으로 구조물의 좌우를 구속했고, 구조물 전 영역에 열을 가했기 때문에 본 민감도 해석 예제는 상하좌우가 대칭인 예제이다. 그래서 설계 변수의 민감도 역시 상하좌우 대칭으로 나와야 한다. Fig. 3에서 선택한 8개 위치의 설계 변수는 각각의 대칭 위치의 설계 민감도 값이 같음을 Table 1로 확인하였다. 여러 번의 민감도 계산을 진행했음에도 동일한 결과가 나오는 것을 확인할 수 있었다.
설계 변수 변화량 0.1mm, 0.01mm, 0.001mm에도 대칭 위치 과 그리고, 위치의 설계 민감도 값은 같다. 8개 위치의 설계 변수에 대한 민감도 계산을 통해서 subspace method를 이용한 좌굴 해석은 해석을 진행할 때마다 동일한 설계 민감도 값들을 이용한다는 것을 알 수 있었다. 이를 토대로 변수 변화량을 0.01mm로 설정하고 예제들을 진행했다.
3.2 Buckling temperature optimization
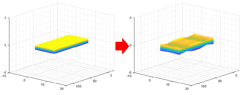
본 예제는 100mm × 10mm 판을 이용해서 최적 설계를 진행했다. 구조물의 초기 두께는 1.50mm로 설정했다. 본 예제에서는 모든 요소에 열을 가하는 조건으로 선형 고유 좌굴 해석을 수행하여, 1차, 2차, 그리고 3차 좌굴 온도 값인 69.9640°C, 224.5486°C, 685.2855°C를 구했다. 최적화 목표 1차와 3차 좌굴 온도 값은 초기 좌굴 온도 값에서 약 20°C를 올리고, 2차 좌굴 온도 값은 약 20°C를 내렸다. 이에 최적화 목표 좌굴 온도 값은 1차 90.0000°C, 2차 205.0000°C, 3차 705.0000°C 로 설정됐다. 노드 두께의 상한 값은 3.00mm, 하한 값은 0.30mm로 설정하여 최적설계를 진행했다. 최적화 수행으로 얻어진 각각의 노드의 두께는 Fig. 4와 같다.
구조물의 중앙과 구속된 가장자리의 두께 값이 증가했고, 그 사이 부위의 두께 값은 감소했다. Fig. 5에서는 보다 알기 쉽게 최적 설계를 진행하기 전 두께가 1.50mm로 일정한 초기 구조물의 형상과 최적설계를 진행한 이후의 구조물의 형상을 비교했다. 이때의 1차, 2차, 3차 좌굴 온도 값은 각각 90.7857°C, 207.0930°C, 703.3208°C로 변했으며, 목표 좌굴 온도 값들에서 각각 0.8730%, 1.0210%, 0.2382% 오차로 목표 값에 근접하는 결과를 얻었다. 각각의 좌굴이 일어날 때의 좌굴 형상은 Fig. 6에서 확인할 수 있다. 본 예제에서는 1~3차 좌굴 온도 값을 목표 값에 수렴시킬 수 있었다.
3.3 Buckling mode optimization
두 번째 예제는 복합 구조물의 좌굴 형상 최적화를 진행했다. 본 예제는 100mm × 100mm 판을 이용해서 최적 설계를 진행했다. 첫 번째 예제에서 사용한 폭이 10mm인 구조물을 이용해서 형상 최적화시 변형 값이 작아서 폭을 100mm로 증대하였고, 마찬가지로 양 끝을 고정하였다.
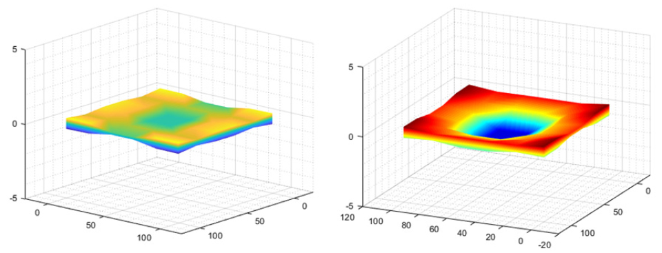
구조물의 치수는 달라졌으나 첫 번째 예제와 마찬가지로 25개의 요소와 36개의 노드로 이루어진 쉘로 모델링했으며, 구조물의 초기 두께는 동일하게 1.50mm로 설정했다. 첫 번째 예제와 같이 모든 요소에 열을 가하는 조건으로 선형 고유 좌굴 해석을 수행하였고, 이때 1차 좌굴 형상은 Fig. 7과 같이 나왔으며, 전형적인 1차 좌굴 형상을 띄고 있다. 이때의 좌굴 온도는 171.6602°C이다.
목표 좌굴 형상은 중앙 부분만 움푹 들어가고, 나머지 부분들은 변형이 최소화되도록 목적함수(싱크홀 형상)를 설정했다. 각 요소 노드 두께의 상한 값은 5.00mm, 하한 값은 0.30mm로 설정하여 최적화 설계를 진행했다. 최적화 수행으로 얻어진 각각의 노드의 두께는 Fig. 8과 같다. 판재 구조물의 중앙 부분의 두께 값이 매우 감소했고, 그 외의 두께 값은 증가했다. Fig. 9에서는 최적설계를 진행한 이후의 구조물의 형상을 보여준다.
최적 두께 값의 형상은 237.5673°C 로 초기 대비 높은 온도에서 싱크홀 형상이 된다. 최적설계를 통해 1차 좌굴 형상을 수치적으로 목표 형상과 비교할 수는 없지만, 시각적으로 싱크홀 형상이 되었다. 이 예제를 통해 본 연구에서 제안하는 최적설계 방법으로 좌굴 형상까지 목표 형상으로 수렴시킬 수 있음을 알 수 있다.
3.4 Application to real-life structures
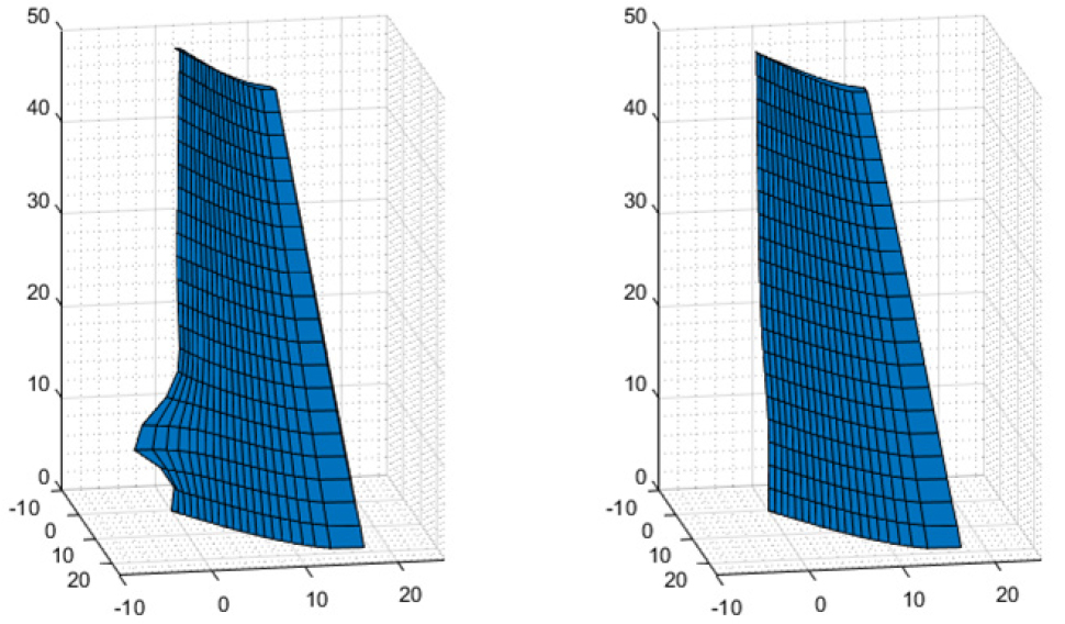
본 논문에서 제안한 치수 최적설계 기법을 실제 구조물에 적용해서 그 타당성을 검증해 보았다. 본 예제에서는 길이 50m의 비행기 날개 형상을 모델링하고, 좌굴 형상 최적화를 진행했다. 구조물의 단면적은 에어포일 형상을 가지도록 설계했고, 초기 최대 두께는 52.5mm로 설정했다. 비행기 날개의 특성을 고려하여 구조물의 한쪽 끝만을 고정하였다.
구조물은 400개의 요소와 441개의 노드로 이루어진 쉘로 모델링했으며, 모든 요소에 열을 가하는 조건으로 선형 고유 좌굴 해석을 수행하였다. 이때, 온도 상승에 따른 물성치의 변경을 고려하기 위해서 온도에 따른 재료 물성치를 테이블로 정의해서 ANSYS 시뮬레이션을 진행하였다. 시뮬레이션 결과, 1차 좌굴 형상은 Fig. 10의 좌측 형상과 같다. 그림을 통해 날개 뒷부분의 변형이 큰 것을 확인할 수 있다. 구조적 안정성을 위해 목표 좌굴 형상은 날개 뒷부분의 변형이 최소화되도록 목적함수를 설정했다. 단면적이 에어포일 형상을 유지하도록 날개 앞부분에 가까운 노드일수록 노드에 할당된 두께 값이 크도록 제약조건을 걸었다. 최적화 수행으로 얻어진 모드 형상은 Fig. 10의 우측 형상과 같다.
최적설계를 통해 1차 좌굴 형상을 수치적으로 목표 형상과 비교할 수 없지만, 시각적으로 날개 뒷부분의 변형이 없어진 것을 확인할 수 있다. 이 예제를 통해 본 연구에서 제안하는 최적설계 방법으로 실제 구조물의 좌굴 형상을 제어하고, 구조적 안정성을 높일 수 있음을 확인할 수 있었다.
4. Conclusion
쉘 요소의 노드 두께를 설계 변수로 지정하여 좌굴 온도와 좌굴 형상을 최적 설계하는 기법을 개발하였다. 개발된 최적화 기법은 민감도 분석을 위해서 유한 차분법을 적용하며 목표 좌굴 온도와 좌굴 형상을 가질 수 있도록 노드 두께를 최적화 한다. 이를 통하여 직관과 경험에 따라 엔지니어가 설계하는 것이 아닌 수학적인 방법으로 최적설계를 진행할 수 있다. 개발된 최적화 기법을 통하여 비행기 날개, 터빈 블레이드, 자동차 브레이크 디스크 등의 복잡한 형상의 구조물의 좌굴 온도 및 좌굴 형상을 최적화로 설계할 수 있다. 본 논문의 연구결과는 향후 유체와 구조물이 연성된 진동 현상 및 복잡한 형상의 구조물을 최적화하는데 적용할 수 있을 것으로 예상된다. 향후에는 실제 설계형상과 재료를 갖는 구조물의 최적화 및 안정성을 높일 수 있는 연구를 진행할 것이다.












