1. 서 론
무한 매질의 물성치를 추정하는 방법은 관련 기술 분야의 다양한 문제에 적용될 수 있기 때문에 많은 연구자들에 의해 연구되어 왔다. 이러한 적용의 일반적인 예로는 지구물리학적 지하구조 영상화, 지반공학 부지 조사 및 비파괴 검사 등이 있다. 무한 매질의 물성치는 완전파형역산(full waveform inversion) (Fathi et al., 2015; Mashayekh et al., 2018; Virieux and Operto, 2009; Yi et al., 2015) 또는 표면파 역산(surface wave inversion) 방법(Astaneh and Guddati, 2016a; Nazarian et al., 1983; Park et al., 1999; Xu et al., 2006)을 사용하여 추정할 수 있다. 표면파 역산 기법은 층상 반무한체와 같은 규칙적인 층상 구조를 가질 때 매질의 재료 특성을 추정하기에 계산적으로 효율적인 접근 방식이다. 표면파 역산 접근법을 사용할 때 지표면 변위를 진동수-파수 영역(frequency-wavenumber domain)으로 변환하고 변환된 응답에서 첨두를 선택하여 겉보기 또는 유효 분산 곡선(apparent or effective dispersion curve)을 얻어야 한다(Astaneh and Guddati, 2016a). 응답에서 가장 높은 첨두를 선택하여 유효 분산 곡선을 얻을 수 있는데, 이 곡선은 다수의 이론적으로 얻어진 분산 곡선의 조합이다. 그러나 측정치의 수가 제한되어 있고 파수 분해능이 충분히 높지 않기 때문에, 유효 분산 곡선은 이론적 곡선과 일치하지 않을 수 있다(Astaneh and Guddati, 2016a). 따라서 유효 곡선에 대한 명시적인 표현을 얻기 어려울 뿐만 아니라, 후속 역산 과정은 측정치에 잡음이 없는 경우에도 근사적인 과정이 된다. 또한, 불규칙한 재료 특성과 형상을 가진 2차원 및 3차원 매질에 대해 표면파 역산 기법을 적용하는 것은 명확하지 않다. 그러므로 이 연구에서는 일반적인 조건의 매질에 사용할 수 있는 완전파형역산 기법을 사용하여 무한 매질의 물성치를 추정하고자 한다.
완전파형역산 기법의 기본 사항은 Virieux와 Operto(2009)에 잘 요약되어 있는데, 이 연구에서는 층상 반무한 지반의 재료 특성을 추정하기 위한 완전파형역산 접근법을 정식화할 것이다. 고려하는 매질의 층상 구조로 인해 thin-layer method(Kausel, 1981; 1996)로 알려진 방법이 정식화에 사용될 것이다. 유사한 문제를 Astaneh와 Guddati(2016a), Mashayekh 등(2018), Lee와 Lee(2021)에서 고려하였다. Astaneh와 Guddati(2016a)는 층상 반무한체에 대한 표면파 역산 기법을 개발하였지만, Mashayekh 등(2018)과 Lee와 Lee(2021)는 목적 함수의 gradient를 활용한 최적화 문제의 해를 구하여 완전파형역산을 수행하였다. 특히, Lee와 Lee(2021)에서는 목적 함수의 gradient를 계산하는 엄밀한 과정을 제시하였다.
이 연구에서는 전역 최적화 문제의 해를 유전 알고리즘(genetic algorithm)을 사용하여 얻어 완전파형역산을 수행하고 층상 반무한체의 물성치를 추정하고자 한다. Fig. 1에서 볼 수 있듯이, 조화 수직 하중이 작용하는 층상 반무한체의 동적 응답을 측정하고 이를 추정 물성치를 가정하여 계산된 응답과 비교한다. 응답의 추정치는 층상 매질에 대해 정확하고 효율적인 thin-layer method를 사용하여 얻는다(Kausel, 1981; 1996). 이때, mid-point integrated finite element(Astaneh and Guddati, 2016a, 2016b; Guddati et al., 2016)와 perfectly matched discrete layer(PMDL) (Lee and Tassoulas, 2011)을 사용하여 층상 반무한체에 대해 정확하고 효율적인 수치 모형을 구성한다. 전역 최적화 문제의 목적 함수는 관측된 응답과 추정된 응답 간의 차이에 대한 L2-norm으로 구성된다. 유전 알고리즘을 사용하여 전역 최적화 문제의 해를 구하여 완전파형역산을 수행하고자 한다. 제안된 기법을 기본 진동 모드 뿐만이 아니라 고차 진동 모드도 우세한 다양한 층상 반무한 매질에 적용하여 그 정확성을 검증한다.
2. 정해석 문제(forward analysis problem)
이 연구에서 지표면에 조화 수직 원형 분포하중을 받는 층상 반무한체의 동적 응답을 결정하는 문제가 정해석 문제로 정의된다. 이 문제에 대한 해는 잘 정립되어 있기 때문에(Kausel, 1981), 여기에서는 역해석 문제의 정식화에 필요한 해당 내용만이 제시되어 있다. 고려하는 정해석 문제의 해를 구하는 과정은 다음과 같다.
Thin-layer method는 Fig. 1에 표현된 층상 매질의 동적 문제에 대해 정확하고 효율적이기 때문에 이 연구에서는 그 방법을 활용할 것이다(Kausel, 1981; 1996). 이 접근법에서 반무한체 표면의 조화 수직 원형 분포하중으로 인한 변위는 다음과 같이 표현된다(Kausel, 1981).
여기서, 와 는 각각 반무한체에서의 반경 및 수직방향 변위, 과 은 각각 0차 또는 1차 Bessel 함수 또는 Hankel 함수, 는 수평방향으로의 파수, 는 가진 진동수, 는 허수 단위이다. 수직방향 변동 와 는 유한요소 기법을 사용하여 결정할 수 있다. 반무한체를 개의 유한요소를 사용하여 나타낼 때, 층상 매질의 동적 거동에 대한 이산화된 지배방정식은 다음과 같이 얻을 수 있다(Kausel, 1981).
여기서, 는 파수 영역(또는 영역)에서 계산해야 하는 변위 벡터, 는 이에 대응하는 주어진 하중 벡터이다. 변위 벡터에서 과 은 각각 번째 절점선의 반경 및 수직 방향으로의 변위다. 조화 수직 원형 분포하중에 대한 의 구체적 표현은 Kausel(1981)에 주어져 있다.
식 (2)의 행렬 은 각각의 유한요소 행렬로부터 구성된다. Thin-layer method에 대한 최초의 연구에서는 기존의 선형 유한요소를 사용하여 층상 매질을 나타낸다(Kausel, 1981). 최근에 개발된 mid-point integrated finite element 또는 complex-length finite element는 층상 반무한체의 분산 방정식을 잘 나타낼 수 있다(Astaneh and Guddati, 2016a, 2016b; Guddati et al., 2016). 따라서, 이 연구에서는 mid-point integrated finite element를 층상 매질을 나타내는데 사용할 것이다.
원래의 thin-layer method는 층상 매질의 하부 경계에 고정 경계 조건을 가정한다(Kausel, 1981). 따라서 반무한 조건을 표현하기 위해서는 특수한 경계 조건이 하부 경계에 적용되어야 한다. 이러한 특수한 경계 조건에 대한 몇 가지 접근법이 제안되어 왔다(De Oliveira Barbosa et al., 2012; Lee and Tassoulas, 2011; Lee et al., 2011). 이 연구에서는 perfectly matched discrete layer(PMDL)을 고려한 Lee와 Tassoulas(2011)의 접근 방식을 채택할 것이다. 이 방식은 4 개의 추가 요소만을 사용하여 충분한 정확도로 반무한 조건을 나타낼 수 있다.
식 (2)의 미지의 는 고려하는 문제의 고유모드를 사용하여 얻을 수 있다. 번째 고유모드의 방정식은 다음과 같다.
여기서, 과 은 각각 번째 모드의 고유값과 고유벡터이다. 식 (3)은 고려하는 층상 매질의 분산방정식이다. 개의 유한요소를 사용하여 층상 매질을 나타내면, 개의 Rayleigh파 모드가 식 (3)으로부터 얻어진다. 번째 Rayleigh 고유모드는 다음을 만족하도록 정규화한다.
이상으로부터, 조화 수직 원형 분포하중이 표면에 작용하는 반무한체의 표면에서의 수직방향 변위 에 대한 표현을 얻을 수 있다(Kausel, 1981).
여기서, 은 원통형 좌표계에서의 반경방향 좌표, 와 은 각각 수직 원형 분포하중의 강도와 반경, 은 표면에서의 수직방향 변위에 해당하는 번째 고유벡터 의 요소, 와 은 각각 제1종 0차 또는 1차 Bessel 함수, 와 는 각각 제2종 0차 또는 1차 Hankel 함수이다. 식 (5)의 변위는 조화하중에 대한 응답의 푸리에 변환이다.
3. 역해석 문제(inverse analysis problem)
이 연구에서는 전역 최적화 문제의 해를 유전 알고리즘을 사용하여 얻어 FWI(Virieux and Operto, 2009)를 수행하고 층상 반무한체의 물성치를 추정하고자 한다. FWI의 정식화를 위해 표면에 조화 수직 원형 분포하중이 작용하는 반무한체의 표면에서 관찰된 수직 변위와 대상 매질의 물성치를 추정하여 얻은 수직 변위 간의 차이를 이용하여 L2-norm 기반의 목적함수로 정의한다. 이 정의는 재료 특성과 형상에 불규칙성을 가질 수 있는 일반적인 2차원 및 3차원 역해석 문제에도 적용할 수 있다. 이 연구에서 목적함수는 다음과 같이 정의된다(Virieux and Operto, 2009).
여기서, 는 번째 계측기에서의 진동수 의 조화하중에 의해 발생한 관찰된 또는 계측된 수직 변위의 푸리에 변환, 는 식 (5)에 의해 추정된 수직 변위, 은 정규화항, m은 결정해야 하는 개의 모델 변수로 구성된 벡터이다. 식 (6)에서 과 는 각각 에 위치한 수신기의 수와 고려하는 가진 진동수 의 수이다. 이 연구에서는 반무한체의 재료 성질을 목적함수 (6)을 최소화하여 결정하고자 한다.
식 (6)의 목적함수에 대한 전역 최적화를 수행하기 위해 유전 알고리즘을 사용할 것이다. 유전 알고리즘은 유전적인 계승과 생존경쟁이라는 자연현상을 최적화에 적용한 방법이다. 목적함수의 최적값에 가까운 개체들의 특성만이 다음 반복계산 단계에 전달되어 궁극적으로 목적함수의 전역 최적값을 찾는 알고리즘이다. 목적함수를 최적화하는 후보 해 또는 개체들은 한 세대를 구성한다. 이 개체들로부터 더 최적화된 해를 얻을 수 있는 다음 세대를 구성하는데, 한 세대의 부모 개체들의 유전자를 서로 교환하는 교배를 통하여 새로운 자녀 개체를 얻거나, 가장 우수한 유전 형질을 가지고 있는 개체를 그대로 보전하거나, 교배와는 상관없이 무작위적으로 돌연변이의 개체를 발생시켜 다음 세대를 구성한다. 새로운 개체에 대한 목적함수의 값을 계산하여 새로운 세대를 평가하게 되고, 이중 가장 유전 형질이 좋은 개체를 선정하여 다음 단계의 새로운 세대를 구성하게 된다. 이와 같은 과정을 반복하면, 결국 목적함수를 최적화하는 해로 수렴하게 된다. 이 해는 유전 알고리즘의 특성에 의해 전역 최적화하는 해일 가능성이 크다. 유전 알고리즘은 목적함수의 기울기 정보를 필요로 하지 않기 때문에, 기울기를 구할 수 없거나 또는 기울기를 구하기 힘든 목적함수나 구속조건을 가지는 문제에 쉽게 적용 가능한 장점이 있다.
4. 적용 예제
개발된 FWI 기법을 Astaneh와 Guddati(2016a)의 층상 반무한체의 재료 특성을 추정하는데 적용한다. 대상 매질의 층상 구조는 Table 1에 주어져 있다. 모델 2와 3에서는 전단파 속도가 큰 두 개의 층 사이에 부드러운 층이 위치한다는 점에 유의해야 한다. 따라서, 이 모델들에서는 고차 모드가 표면파 응답을 지배하고 유효 분산곡선은 다양한 모드의 이론적 분산곡선의 조합이다. 반면에 모델 1에서는 기본 모드가 중요하며, 유효 분산곡선은 기본 모드의 이론적 분산곡선과 잘 일치한다. 이 적용예제에서는 전단파 속도의 프로파일을 최대 20m 깊이까지 결정한다. 반무한체는 두께가 0.5m인 40개의 mid-point integrated finite element와 4개의 PMDL(Lee and Tassoulas, 2011)로 구성된 44개의 thin-layer element로 표현된다. 따라서 식 (6)에서 총 41개의 모델 변수를 고려한다. 즉, 이고, 이다. 여기서, 과 는 각각 고려하는 유한요소의 수와 추정해야 할 모델 변수의 수이다. 기저를 이루고 있는 하나의 모델 변수를 가진 4개의 PMDL로 표현되기 때문에 이다.
Table 1.
Structures of layered half-spaces
| Layer | Shear-wave velocity(m/s) | Thickness(m) | Poisson’s ratio | Density (kg/m3) | Damping ratio | ||
| Model 1 | Model 2 | Model 3 | |||||
| 1 | 200 | 300 | 300 | 6 | 0.35 | 1800 | 0.02 |
| 2 | 300 | 200 | 400 | 4 | |||
| 3 | 400 | 400 | 200 | 8 | |||
| Half-space | 500 | 500 | 500 | ||||
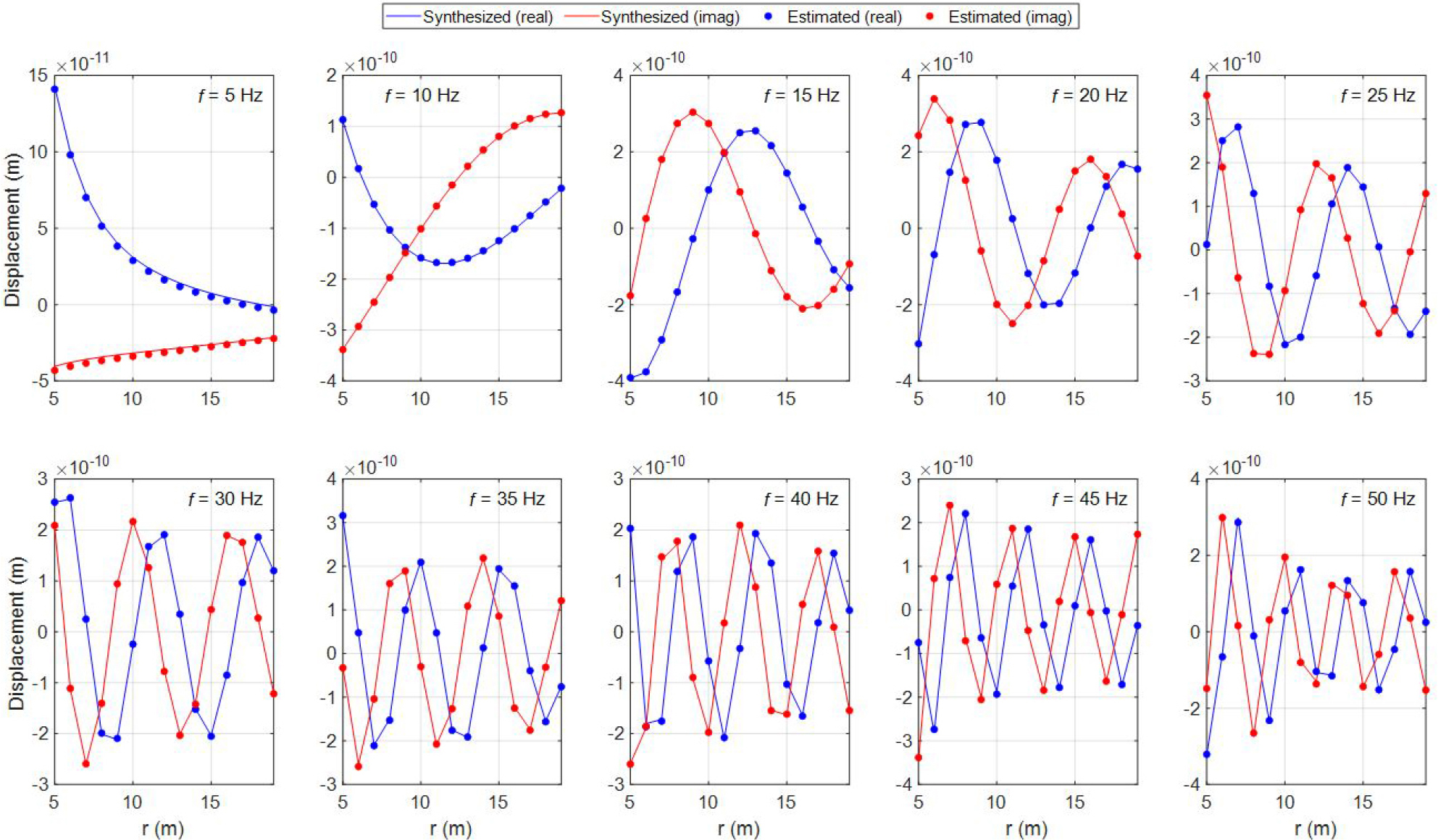
개발된 FWI 기법을 적용하려면 관찰된 또는 측정된 데이터가 필요하다. 이 적용예제에서는 수직 변위의 측정치를 2장의 정해석을 수행하여 합성한다. 수직 변위는 에서 의 진동수에 대하여 합성한다. 따라서, 이고, 이다. 수직 원형 분포하중의 반경 및 강도 는 각각 0.1m이고 이다. Table 1의 재료 특성이 정해석에 사용되고, 합성된 데이터가 Figs. 2, 3, 4에 주어져 있다.
역해석 문제로부터 얻어진 해의 매끈함(smoothness)를 보장하기 위해 식 (6)의 정규화항 을 다음과 같이 정의한다.
여기서, 은 번째 요소의 전단파 속도이고, 정규화 계수 은 인데 이는 식 (6)의 목적함수의 두항의 크기를 비슷하게 설정하기 위해 사용된 계수이다. 이, 적용예제에서는 모델 1, 2, 3에 대해 각각 의 값을 사용할 것이다. 모델 2와 3의 공간적 변동이 모델 1의 경우보다 크기 때문에 모델 2와 3의 계수는 모델 1의 계수보다 작다. 이 연구에서는 반복 수행을 통해 경험적으로 의 값을 가정하여 사용하였지만, 정규화 계수 변화에 따른 목적함수와 정규화항의 관계 나타내는 L-곡선을 사용하여 이 값을 결정할 수도 있다(Hansen, 1992). 모델 1, 2, 3에 대하여 는 각각 4.3097×10-10, 2.3644×10-10, 1.9954×10-10이다.
전단파 속도의 프로파일은 3장에서 제안한 FWI 기법에 의해 추정된다. 유전 알고리즘을 이용한 전역 최적화 문제의 해는 MATLAB의 ga 함수를 사용하여 얻는다(MathWorks, Incorporation, 2021). 추정된 전단파 속도의 하한 및 상한은 각각 100m/s 및 600m/s라고 가정한다. Figs. 2, 3, 4는 최종적으로 추정된 전단파 속도 프로파일로부터 계산된 변위와 합성된 측정 변위를 비교하여 보여준다. Fig. 5는 전단파 속도의 최종 추정 프로파일을 보여준다. 이 예제에서는 전단파 속도의 프로파일을 20m 깊이까지 추정하였는데, 5m, 10m, 15m 깊이까지만 지반을 모사하여 추정한 결과도 함께 Fig. 5에 수록하였다. 모델 1은 전단파 속도가 깊이에 따라 증가하기 때문에, 지반을 모사한 깊이까지는 비교적 정확한 결과를 얻을 수 있다. 하지만, 모델 2와 3과 같인 전단파 속도 프로파일이 복잡한 경우에는 기반암이 나타난다고 예상되는 충분한 깊이까지 지반을 모사하지 않으면 정확한 결과를 얻을 수 없음을 관찰할 수 있다.
추정된 프로파일이 목표 프로파일과 만족스럽게 일치함을 알 수 있다. 목표 프로파일의 수직적 변화를 추정 결과에서 포착할 수 있다. 추정의 정확성을 조사하기 위해 전단파 속도의 상대 오차를 계산한다.
여기서, 은 번째 요소의 목표 전단파 속도이다. 식 (8)로부터 계산된 모델 1, 2, 3의 상대오차는 각각 7.05%, 7.40%, 13.3%이다.
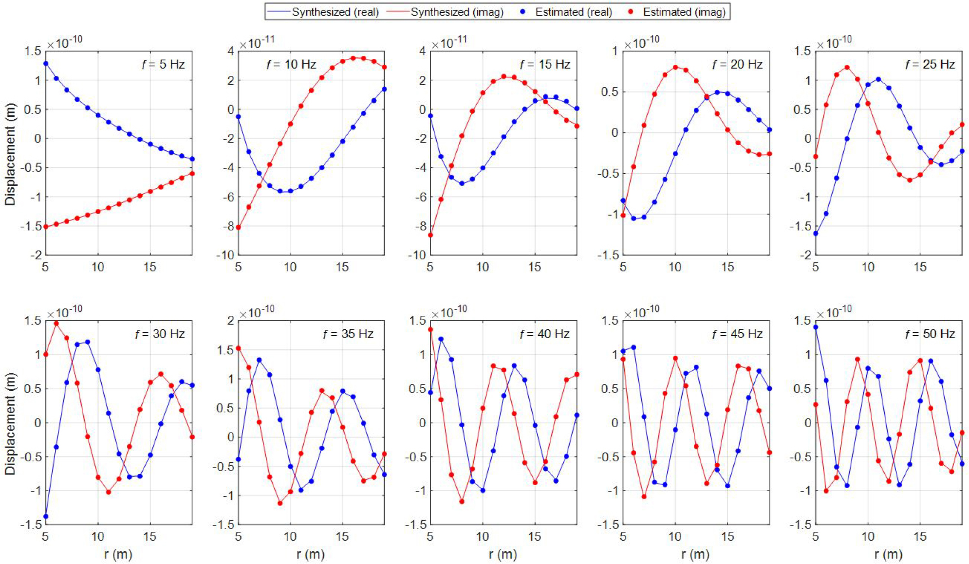
측정된 지표면의 변위에는 다양한 이유로 잡음이 포함되기 때문에 측정된 신호에 잡음이 있는 경우에도 제안된 FWI 기법을 적용할 수 있는지 검토할 필요가 있다. 이 적용예제에서 합성된 측정값에 MATLAB의 awgn 함수를 사용하여 13dB의 신호 대 잡음비(signal-to-noise ratio, SNR)(잡음의 진폭비 5%)를 가지는 백색 가우스 잡음을 추가한다. 이와 같이 얻어진 잡음이 있는 지표면의 변위의 한 예가 Figs. 6, 7, 8에 표현되어 있다. 세 가지 종류의 반무한체의 프로파일을 잡음이 있는 합성 변위를 사용하여 3장에서 제안된 FWI 기법에 의해 추정하였고, 그 결과가 Fig. 9에 나와 있다. 잡음 크기의 영향을 살피기 위해 10dB의 SNR(잡음의 진폭비 10%)을 가지는 백색 가우스 잡음을 추가하였을 때의 결과도 Fig. 9에 같이 도시하였다. 식 (8)에 의해 계산되는 추정된 전단파 속도 프로파일의 상대오차는 SBR이 13dB일 때 모델 1, 2, 3에 대하여 각각 8.81%, 10.1%, 21.22%이고, SNR이 10dB일 때는 각각 9.54%, 9.42%, 13.14%이다. 측정 잡음이 없는 경우와 비교할 때, 잡음으로 인해 추정된 프로파일의 정확도가 떨어질 수 밖에 없다. 그럼에도 불구하고, 측정치에 잡음이 있는 경우에도 추정된 프로파일을 수용할만하다는 것을 관찰할 수 있다. 또한, 잡음은 불규칙한 특성을 가지며 사용된 정규화 기법으로 인해, 잡음의 크기가 커져도 그 오차는 오히려 줄어들 수 있음을 관찰할 수 있다.
제안된 방법의 수렴성을 조사하기 위하여 세대에 따른 fitness value의 변화를 잡음이 없는 경우와 13 dB의 잡음을 포함한 경우 대하여 Fig. 10에 도시하였다. 결과에서 확인할 수 있듯이, 측정 신호에 잡음을 포함할 경우에는 fitness value가 더 큰 값에서 최종 추정치를 얻게 된다.
앞선 적용 예제들을 통해 제안된 FWI 기법이 다양한 층상 반무한체의 물성치 특성을 추정함에 있어 적합하다는 결론을 내릴 수 있다.
5. 결 론
이 연구에서는 thin-layer method를 사용하여 층상 반무한체의 재료 물성치를 추정하기 위한 유전 알고리즘 기반의 완전파형역산(full waveform inversion, FWI) 기법을 개발하였다. 표면에 조화 수직 원형 분포하중이 작용하는 층상 반무한체의 수직 변위를 측정한 후, 해당 응답을 대상 시스템의 추정된 재료 특성으로부터 계산된 변위와 비교하였다. 추정된 응답은 mid- point integrated finite element와 perfectly matched discrete layer로 구성된 thin-layer 모델로부터 얻어졌다. 측정된 응답과 추정된 응답 간의 차이에 대한 L2-norm으로 정의된 목적함수는 시스템의 재료 속성을 추정하기 위해 전역 최적화 방법인 유전 알고리즘을 이용하여 최소화되었다. 층상 반무한체의 전단파 속도 프로파일을 추정하기 위해 제안된 기법을 다양한 예제에 적용하였다. 개발된 FWI는 잡음을 고려한 경우에도 만족스러운 정확도로 층상 반무한체의 재료 특성을 추정할 수 있음이 적용 예제를 통해 입증되었다. 이 연구에서는 측정신호에 포함된 잡음의 영향만을 고려하였지만, 향후 연구에서는 층상 지반 모델의 불확실성에 따른 정확성 평가도 이루어져야 할 것으로 보인다. 또한, 향후 연구에서는 불규칙한 재료 특성과 형상을 가진 2차원 및 3차원 매체에 대한 역해석 문제로의 확장 및 적용이 다루어져야 할 것이다.












