1. 서 론
항로를 가로지르는 교량이나 항로변에 건설된 시설물은 운항하는 선박으로 인한 충돌위험에 항상 노출되어 있다. 운항하는 선박은 큰 질량에 비례하는 운동에너지를 가지고 있고, 갑작스런 정지가 어렵기 때문에 시설물의 안전을 위해 다양한 방법으로 충돌을 회피하거나 충돌시 받는 피해를 최소화하는 방법을 강구해야 한다. 비교적 작은 크기의 충돌에는 시설물에 부착되는 방현재 등을 이용하지만 큰 규모의 충돌을 대비하기 위해서 별도의 방호구조물이 설치되기도 한다. 이러한 방호구조물 중에서 가장 큰 충돌을 대비하기 위한 방호구조물은 선박방호용 인공섬(protective island)이다. 따라서 방호용 인공섬은 대형선박의 운항이 잦은 곳에 설치되는데 외국의 사례로는 미국의 sunshine skyway Bridge나 Orwell Bridge 등의 교량에 설치되었고(AASHTO, 2009) 국내에서도 이순신대교와 부산항대교 등에 시공되었다. 이러한 인공섬은 선박의 충돌에너지를 사면을 구성하는 지반의 변형이나 마찰로 소산하는 시스템이기 때문에 설계과정에 필연적으로 지반의 대변형을 고려한 충돌해석을 수반하게 된다. 이와 같은 지반의 대변형을 수치해석하기 위해서는 대규모의 요소망과 지반의 비선형파괴거동을 해석할 수 있는 재료모델이 구성되어야 한다. 하지만 일반적인 유한요소를 이용한 해석기법에서는 이러한 대변형이나 비선형성을 안정적으로 고려하기 힘든 문제가 있다.
이러한 문제를 해결하기 위해서 요소의 소거나, 변형에 따른 요소망의 재구성(Na et al., 2014), 입자법 등 다양한 기법과 방법이 적용되고 있다(Kulak and Bojanowski, 2011). 최근에 대변형을 일으키는 부분을 일종의 유체와 유사한 특성을 가진 것으로 가정하고 이의 특성을 이용하여 대변형거동을 해석하는 기법이 지반대변형의 해석에 적용되기 시작하였다. 이러한 기법들중 대표적인 것으로 Coupled Eulerian-Lagrangian 방법(이하 CEL 방법; Simulia, 2012)나 Arbitrary Lagrangian-Eulerian (ALE; LSTC, 2017) 방법이 있다.
CEL방법을 지반의 대변형해석에 사용한 예는 동적관입앵커(dynamic penetration anchor)의 관입해석을 수행하면서 기존의 유한요소해석법으로는 구현이 어려운 앵커의 관입거동을 모사하였고(Kim and Jeong, 2014), 초연약 지반에서의 치환공법의 효율성을 분석한 연구도 있다. 이 연구에서는 요소의 크기에 따른 수렴도 조사도 수행하여 이 방법의 적용성을 평가하였다(Ko et al., 2017). 선박충돌과 관련된 분야의 연구에서 CEL 방법을 적용하여 선박의 좌초해석을 수행한 경우가 있다(Qiu et al., 2011). 이 연구에서는 띠기초의 수치해석을 수행하여 이 해석방법을 이용한 적용성을 보이고 수렴성이 기존의 유한요소법보다 우월하다는 것을 보였다. 이 후 선박의 좌초문제에 이 방법을 적용하였다. 하지만 이들의 연구에서는 선박의 크기나 충돌속도를 설계목적에 국한된 값을 사용하여 설계 선박의 좌초에 의한 지반의 국부적인 변형과 응력분포만을 파악하였다. 따라서 선박충돌에 의한 전체지반의 대변형 및 이에 따른 에너지 소산거동에 대한 고찰부분은 미비한 것으로 판단된다.
본 연구에서는 CEL 방법을 이용하여 대변형이 발생하는 수중지반의 모델을 작성하고 이를 참조해가 존재하는 대변형문제에 대하여 검증하였다. 그리고 검증된 모델링 기법으로 수중사면에 발생하는 선박충돌과정을 수치적으로 해석하였다.
2. Coupled Eulerian-Lagrangian(CEL) 방법
CEL 방법은 공간상에서 운동하는 물체의 위치를 기술하는 Lagrangian 기법과 고정된 지점을 지나는 물체의 운동을 기술하는 Eulerian기법을 결합하는 해석기법이다. CEL방법에서는 일반적으로 대변형이 발생하는 물체를 Eulerian 영역으로 모델링하고 변형이 미소하거나 강체인 부분을 Lagrangian 영역으로 모델링한다. 이 때 Eulerian 영역으로 모델링된 부분은 격자망을 기준으로 한 격자내부에 물질이 어느 정도 포함되어 있는지 기술된다. 즉, 한 격자에 다수의 물질이 있을 때는 각각의 물질의 점유부피로 기술된다. 이는 본 연구에서 사용된 ABAQUS (SIMULIA, 2012) 프로그램에서는 Eulerian Volume Fraction (EVF)라는 값으로 정의된다. 따라서, Eulerian 영역에서 두 물질의 경계는 정확히 구분되는 것이 아니라 전이영역으로 표현된다. 그러므로 성근 격자망을 사용하여 영역을 모델링하는 경우에는 부정확하지만 조밀한 격자를 구성하는 경우에는 영역의 경계면을 나타내는데 충분한 정확도를 가질 수 있다. 이러한 특성 때문에 Eulerian 영역에 대변형이나, 심지어 격자내의 물질이 소거되는 상황이 발생해도 격자의 형상은 변하지 않고 격자내의 점유부피만 변경하여 기술할 수 있기 때문에 해석의 안전성이 높다. 반면 일반적인 구조해석에 사용되는 Lagrangian 기법에 의해서 구성된 모델은 각 부분을 요소로 구분하고 두 물질의 경계면은 요소의 형상이 허용하는 한에서 정확하게 구별된다(Fig. 1). 하지만 이러한 요소망에 대변형이나 물질의 이동이 일어나는 경우 요소망의 질이 급격히 저하되어 해가 불안정해지거나 수렴하지 않은 위험이 커진다.
이러한 대변형 문제에 있어서 해석모델의 변형에 의한 해석의 안정성이 구성으로 저하되는 것을 막는 다른 방법으로는 smoothed paticle hydrodynamics(SPH), element free Galerkin (EFG) 등의 입자법(particle method)이 있지만, 선박충돌과 같은 동적대변형 해석에서 가장 큰 안정성을 보이고(Bojanowski, 2014) 지반의 비선형성이나 응답을 고려하기 위한 유리한 해석기법은 CEL 방법이라고 판단하였다.
3. 검증해석
CEL 방법이 수중사면에 대한 선박충돌해석에 적합한지를 검토하기 위하여 참고문헌(Kim and Jeong, 2014)에 기술된 동적관입앵커의 관입실험에 대하여 CEL 해석을 수행하였다. 예비해석에서 고려된 실험은 날개가 없는 지름 76cm의 앵커에 대한 실험이다. 이들은 논문에서 실제 동적관입실험의 결과와 자신들의 해석결과를 비교하였다. 본 논문에서는 다음과 같이 해석모델을 구성하였다.
해석영역은 수직방향으로 지반 45.6m, 해수를 나타내는 공백(void)영역 10m를 Eulerian 영역으로 모델링하였으며 수평방향으로는 각각 13.37m를 모델링하였다. 이 때 수평방향으로 최소요소망의 크기를 0.135m 로 하고 최대 2.5m의 범위에서 지수적으로 크기가 증가하도록 하여 응답의 연속성을 갖도록 하였다. 수직방향으로는 최소 0.25m에서 최대 2.0m까지 지수적으로 증가하도록 하였다. 요소망의 크기가 최대값에 도달한 후에는 그 값을 그대로 유지하면서 요소망을 구성하였다(Fig. 2). 지반의 물성값은 Table 1 과 같이 가정하였으며 Mohr-Columb 재료모델을 사용하였다. 지반에 관입하는 앵커는 고체요소를 이용하여 Lagrangian 영역으로 모델링하였고 강재의 물성치가 적용되었다.
Table 1 Soil properties used for the verification analysis
| Elastic modulus(Pa) | Su(Pa) | Density(kg/m3) | friction angle |
| 2.03×106 | 5.25x103 | 6.116×102 | 25° |
CEL해석은 기본적으로 양해법(explicit method)을 이용한 방법이기 때문에 안정된 해석에 필요한 최소시간간격은 탄성파의 속도와 요소의 크기에 따라서 결정된다.
| $$\Delta t\approx\frac h{v_d}$$ | (1) |
여기서, 는 안정적인 해석을 위한 최소 시간간격이고, 는 요소망에 사용된 최소요소크기이다. 그리고 는 탄성파의 속도이다. 이 때 탄성파의 속도는 재료의 탄성계수와 밀도 및 포아슨비의 함수이다.
| $$v_d=\sqrt{\frac{\frac E{(1+v)}\left(\frac v{1-2v}+1\right)}\rho}$$ | (2) |
여기서, 는 재료의 탄성계수이고, 는 포이슨비, 는 재료의 밀도이다. 결과적으로 작은 크기의 요소나 낮은 밀도로 구성된 요소망은 안정된 해석을 수행하기 위해 더 작은 시간간격을 사용해야 한다. 따라서 가장 작은 시간간격을 요구하는 요소망에서 재료의 밀도를 증가시키면 전체적으로 효율적인 해석이 이루어진다. 본 해석모델에서는 이러한 최소시간간격이 필요한 부분은 앵커의 선단부이다. 따라서 상대적으로 최소시간간격이 작은 선단부의 밀도를 증가시키고 기둥부의 밀도를 감소시켜 동일한 앵커질량을 유지하면서 최소시간간격의 크기는 증가시켜 해석의 효율성을 높이고자 하였다.
참고문헌(Kim and Jeong, 2014)에서 나타난 바와 같은 낙하속도를 초기조건으로 부여하여 해석을 수행하였다. 해석결과 얻어진 앵커의 관입형상은 Fig. 3과 같다. 여기서, Eulerian 영역인 해수와 지반이 나타내는 값은 요소의 변형이 아니라 앞 절에서 언급한 EVF값이며 적색인 부분은 이 값이 0이고 청식인 부분은 1이다. Lagrangian 영역인 관입앵커가 차지하는 부피에 대해서 Eulerian영역의 물질이 차지하는 영역은 0이므로 이 영역에 대한 EVF도 0으로 나타난다. 충돌초기에는 큰 속도로 관입이 일어나지만 시간이 지날수록 관입속도가 줄어드는 것을 앵커부분에 해당하는 EVF가 0인 영역의 변화를 통해 알 수 있다.
해석결과 얻어진 관입이력을 참고문헌의 실험결과와 비교하면 Fig. 4와 같다. 그림에서 볼 수 있듯이 최종변위와 변위의 형상이 실제 실험에서 얻어진 결과를 잘 나타내는 것을 알 수 있다. 이 해석은 대규모의 요소망을 사용하고 많은 비선형성이 포함된 해석이므로 해석조건을 세심하게 조정해야 하지만 이와 같이 결과를 보이는 것은 이 접근법이 지반의 대변형에 대한 유용한 모델링 방법이라는 것을 나타낸다. 따라서 수중사면에 선박이 충돌하는 경우에 이 방법을 적용하고 그 충돌 거동을 평가하였다.
4. 사면충돌해석
4.1 모델링
본 해석에서는 충돌선박을 Lagrangian영역으로 모델링하고 지반과 해수를 Eulerian 영역으로 모델링하였다. Lagrangian 영역의 해석대상인 선박의 충돌질량은 2.0×104 배수톤(DT)으로 일반적인 1,000TEU 급의 상선의 만재배수량에 해당하는 질량이다. 선수충돌을 가정하고 선박전체의 질량을 선수부에 집중시켜 모델링을 수행하였다. 실제 선수는 매우 많은 수의 보강재와 강판으로 구성되어 있으나 사면과의 충돌에서 선박 특히 선수의 상대적인 강도는 지반에 비하여 매우 큰 편이므로 이러한 선박내부의 상세한 구조세목은 무시하고 강체로 작용할 수 있도록 큰 단면을 가정하고 선박의 외형은 상용선수(conventional bow)형태로 구성하였다(Fig. 5). 따라서, 선박은 약 5,500개의 절점과 약 19,000 개의 고체요소로 모델링되었으며, 이를 구성하는 재료는 강재의 탄성물성치를 갖는 것으로 모델링하였다. 하지만, 선수를 구성하는 재료의 밀도는 1.198×105kg/m3으로 실제 강재에 비하여 150배 정도로 크게 산정되었다. 이러한 모델링은 요소의 크기와 질량비를 개선하여 앞절에서 설명한 바와 같이 최소시간 간격을 크게 설정할 수 있어 해석의 효율성을 높일 수 있다.
Eulerian 영역으로 모델링된 해수와 지반은 직육면체로 영역을 설정하고 EVF 값을 설정하여 지반에 해당하는 부분의 EVF 값을 1.0으로 설정하고 다른 부분은 EVF 값은 0.0영역으로 설정하였다. 지반의 모델링에 사용된 재료의 특성값은 Table 2에 나타내었다. 요소망의 생성시 충돌이 일어나는 부분은 작은 크기의 요소를 사용하여 해석의 정확도를 높이고자 하였고, 이 영역 밖으로는 요소의 크기가 최대값이 이를 때까지 일정한 비율로 변화하도록 하였다. 요소망에 사용된 요소의 최소 및 최대크기는 선박의 진행방향(x)으로는 0.2m, 1.5m, 선박진행의 직각방향(y)로는 0.2m, 1.0m, 수직방향(z)로는 0.2m, 1.0m이다. 해석에 사용된 전체 Eulerian 영역은 절점수 약 18만개, 요소수 17만개 정도이다(Fig. 6). 지반의 경사는 1:3으로 설정하였으며 지반의 충돌위치는 선박의 흘수를 고려하여 수면으로부터 8m아래로 가정하여 충돌을 시작하는 것으로 가정하였다(Fig. 7). 선수외면과 지반간의 마찰계수는 0.3을 가정하였다.
Table 2 Soil properties used for the vessel collision analysis
| Elastic modulus(Pa) | Su(Pa) | Density(kg/m3) | friction angle |
| 4.50×107 | 9.00×104 | 6.116×102 | 25° |
4.2 해석결과
해석결과 얻어진 선수와 사면의 충돌시 지반의 변형형상을 Fig. 8에서 볼 수 있다. 선수가 사면을 파고 들면서 사면을 구성하던 지반이 대변형을 일으키며 옆쪽으로 밀려나오는 것이 나타나 있다. 이 때 밀려나온 지반의 부피는 지반으로 관입한 선수의 부피와 동일한 것으로 가정할 수 있다. 현재 선수의 모델은 모서리부분이 곡면으로 처리되었고 선수각이나 스템각등으로 구성되어 있지만 기본적으로는 쐐기모양의 선수가 지반을 관입한 경우의 부피이므로 선수변위에 대해서 3차식의 관계를 가질 것이다.
실제 해석은 6초까지 수행했지만 4초에서 최대 변위가 발생하고 이후에는 정지후 약간의 반동거동이 관찰되었다. 선수의 변위와 속도의 시간이력은 Fig. 9에 나타난 바와 같다. 변위는 충돌 후 4초시점에서 최대 약 13m의 값을 보이고 이후에는 반동거동을 보인다. 반면 속도의 시간이력도 충돌초기 5m/s에서 충돌 후 4초시점에서 0으로 감소하고 이후에는 음의 속도를 보여 반동하는 것을 나타내고 있다.
선박의 충돌에너지는 충돌초기에는 운동에너지의 형태이므로 이의 소산은 선박의 운동에너지 변화로 파악할 수 있다. 운동에너지는 속도의 제곱에 비례하는 값이므로 선박속도의 감소에 따른 운동에너지의 변화는 충돌에너지의 소산으로 볼 수 있다. 이러한 선박속도의 변화와 운동에너지의 변화는 Fig. 10에 나타나 있다. 이 그래프에서 점선으로 속도와 에너지의 변화량을 나타냈다. 이에 따르면 약 4초경에 충돌속도가 0에 도달하고 이후에는 반동거동을 보여 충돌이 종료된 것으로 파악할 수 있다. 하지만 반동에 의한 운동에너지는 전체에너지의 수준에 비하면 작은 값이다.
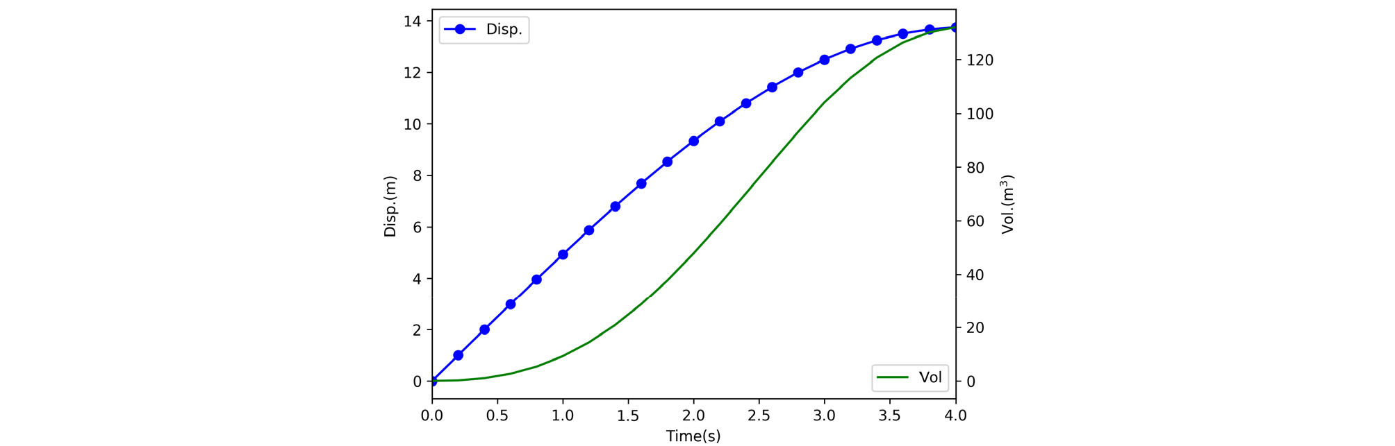
선수의 변위와 이 때 원지반에 관입된 선수의 부피와의 관계를 Fig. 11에 나타내었다. 이 값은 실제 해석에 사용된 선수와 사면의 각도를 고려하여 수치적으로 계산된 값이다. 선수의 최대 변위인 13m에서 약 130m3의 원지반이 선수에 의해서 밀려나는 것으로 계산되었다.
충돌 시 발생하는 각각의 응답에 대한 물리량은 크기와 단위가 상이하므로 최대값이 발생하는 충돌 후 4초의 값을 기준으로 각각의 응답을 정규화하고 이를 비교하였다(Fig. 12). 이 그래프에서 볼 수 있는 바와 같이 선수의 충돌로 인해서 밀려난 지반의 부피와 소산된 에너지의 그래프가 서로 유사한 형상을 가지고 있는 것을 볼 수 있다. 따라서 이 두 물리량 간에 밀접한 관계가 있을 것으로 추정된다. 하지만 이들 두 물리량의 관계는 보다 다양한 충돌조건에 대해서 검증되어야 할 필요성이 있다. 이 내용은 후속연구(Lee, 2019)에서 다뤄질 예정이다.
5. 결 론
본 연구에서는 Coupled Eulerian Lagrangian 기법을 이용하여 충돌 시 발생하는 지반의 대변형을 고려한 충돌해석을 수행하였다. Mass scaling 기법을 이용하여 해석의 효율성을 증가시키고 선수의 형상을 단순화한 충돌선박모델링을 Lagrangian영역으로 수행하고 대변형을 일으키는 지반은 Eulerian 영역으로 모델링하여 해석을 수행하였다. 해석결과 다양한 충돌거동을 파악할 수 있었고, 특히 충돌선박에 의해서 밀려난 지반의 부피와 충돌에너지의 소산이 밀접한 관련이 있는 것을 파악하였다. 따라서 추가적으로 다양한 매개변수에 대한 추가적인 연구가 필요할 것으로 판단된다.














