1. 서 론
지진으로 인한 사면 파괴는 인접한 사회기반시설물에 직간 접적으로 심각한 피해를 초래할 수 있다. 구체적으로 이러한 지진유발 사면파괴는 직접적으로 인근 건물, 도로, 플랜트 등의 다양한 주요 시설물의 심각한 손상을 발생시킬 수 있고, 이로 인해 인명 피해를 유발할 수 있다. 또한, 병원, 도로, 및 주요 플랜트 등이 손상되는 경우 사회 기능이 마비되고 이는 곧바로 심각한 경제적 손실 및 방대한 간접적 인명 피해로 이어질 수 있게 된다. 지진유발 사면 붕괴로 인한 피해 사례는 1970년에 발생한 Peru 지진부터 2016년 일본 Kumamoto 지진에 이르 기까지 다양한 피해가 보고되고 있는 실정이다. 국내의 경우는 큰 규모의 지진이 많이 발생하지 않는 곳으로서 실제 지진으로 인한 사면 붕괴로는 대규모의 피해 사례가 없는 편에 속한다. 그러나 기상청 자료에 따르면 1978년 지진계측을 시작한 이래로 규모 2.0이상 지진은 1998년까지 약 20년 동안 연평균 20회 정도 발생하였던데 반하여, 1998년부터 2015년까지는 평균 약 48회로 지진 발생빈도가 증가하였다고 보고된 바 있다. 더욱이 최근에는 강한 지진이 두 차례 각각 2016년 경주 및 2017년 포항에서 발생한 바 있어 주요 시설물 인근 사면의 지진 안전성에 대한 우려가 증가되고 있다.
지진으로 인한 사면의 안정성을 평가하는 방법은 크게 유사 정적해석, Newmark 영구변위해석, 응력-변형해석 방법 등의 세 가지로 분류할 수 있다. 위에서 기술된 세 가지 방법론은 각 각 장단점을 모두 가지고 있어 상황에 따라 선택되어 적용되고 있는 상황이다. 일반적으로 유사정적해석은 적용이 간단하지만, 과도한 가정으로 정확성이 떨어지고, 수치모델을 통한 응력- 변형해석 방법은 상세 해석으로서 정확도는 높일 수 있지만 결정해야 할 입력변수가 많고 계산시간이 과도하다는 단점이 있다. 그러므로 Newmark 영구변위해석은 이 둘 사이에 적절 한 타협점 형태로 많은 연구자에 의해 자주 사용되고 있다 (Jibson, 2011). 이 방법은 특정한 지진기록을 바탕으로 시간 이력해석을 수행하여 해석 시간이 유사정적해석 방법에 비해 서는 오래 걸린다는 단점이 있지만, 이러한 점을 극복하기 위하여 여러 연구자들이 수천 개의 계측된 실제 지진기록을 기반으로 이 이론을 이용하여 영구변위 경험식을 제안한 바 있다 (Jibson, 2007).
지반의 무작위성 및 불확실성을 고려하여 사면의 안전성을 확률론적으로 평가하는 방법은 여러 연구자에 의해 개발되었다. 이러한 무작위성 및 불확실성은 측정오차, 모델링방법, 여러 가지 가정사항 등의 다양한 원인들로 인하여 발생하고, 이에 따라 지반 정수는 이러한 불확실성으로 인한 값의 변동성을 나타내기 위하여 특정한 변동계수를 가진 확률분포함수로 표현 할 수 있게 된다. 구체적으로 지진에 의한 사면 안정성을 평가 하는 연구를 살펴보면, 이는 대개 사면의 확률론적 지진 취약도 평가 형태로 이루어져 왔다. Yiannis 등(2008) 및 Wu (2015)는 지반의 불확실성과 관련하여 유사정적해석을 기반 으로 사면의 지진에 대한 파괴확률을 계산하였으며 각각 MCS(monte carlo simulation) 및 FORM(first order reliability method)을 이용하여 취약도를 평가하였다. Xu와 Low(2006), Huang 등(2010), Kim과 Sitar(2013) 등은 Newmark 영구변위개념 혹은 동적 수치해석 기법을 기반으로 사면의 취약도를 평가한 바 있다. 이러한 지반의 불확실성을 고려한 확률론적 분석은 해석 시간이 오래 걸린다는 단점이 있다. 그러므로 이러한 점을 보완하기 위하여 유사정적해석 기법을 기반으로 인공신경망(ANN) 기법을 활용하여 효율적인 지진취약도 해석 기법을 개발한 연구가 수행된 바 있었다 (Lagaros et al., 2009;Park and Cho, 2016).
지진 취약도 해석을 통한 사면의 안전성 평가는 모든 지진세기 영역에 대하여 사면의 파괴확률을 제공하는 비교적 완전하며 정확한 방법이다. 또한, 이는 사면의 안정성을 지진으로 인한 사면 영구 변위 등의 간접적인 지표 형태가 아닌 지진의 정량적 세기인 지반최대 가속도 등의 직관적인 지표와 연결하여 지진에 대한 직접적 내력을 평가한다. 그러나 이를 위해서는 과다한 계산 비용이 요구되므로 지진 취약도 분석의 장점을 주어진 사면 조건에서 효율적인 내진 안전성 평가에 적용하기 어렵다. 더욱이 다양한 지형학적/토질학적 조건의 수많은 사면이 공간 상에 분포되어 있는 지진유발 사면 취약도 지도 개발에는 적용이 불가능하다는 단점이 있다. 이러한 배경아래 Kwag과 Hahm (2018)이 Newmark 영구변위해석 개념을 기반으로 지진으로 인한 사면 취약도 분석 방법을 개발하고, 이를 기반으로 다양 한 조건의 사면에 대하여 빠른 취약도 분석을 가능하게 하는 닫힌식(closed-form equation)을 제안한 바 있다. 그러나 이렇게 도출된 닫힌식은 기본적으로 전통적인 통계학적 선형 근사 방법를 이용한 방법으로서 원데이터와의 정확도에 있어서 비교적 큰 차이를 발생시킬 수 있다는 단점이 있었다. 그러므로 본 논문에서는 개발된 닫힌식의 정확도를 인공신경망(artificial neural network: ANN) 기법을 이용하여 개선함으로써 사면의 확률론적 지진 안전성 평가의 정확성과 효율성을 비약 적으로 증가시킬 수 있는 기법을 개발하였다.
ANN 기법은 인간 두뇌 신경세포의 지식 습득 및 처리 과정에 착안하여 개발된 전산 모형이다. 이는 입력변수와 출력 값 사 이의 비선형적 관계를 잘 모사한다고 알려져 있다. 그러므로 본 연구에서는 ANN의 장점을 활용함으로써, 비선형성이 큰 사면 모델-내진성능 데이터와 관련하여 기존의 통계학적 근사 방법과 비교하여 유연하게 실제 데이터를 표현하여 모델의 정확도를 상대적으로 높일 수 있을 것이라 판단된다. 또한 궁극 적으로 이로 인해 사면 지진취약도 지도를 개발하고, 원전의 인근 사면으로 인한 리스크를 효율적으로 분석하는 등 다양한 분야에 활용할 수 있을 것이라 기대된다.
2. 사면 지진취약도 평가 및 선형회귀모델
앞서 설명하였듯이, 지진에 대한 사면의 안정성을 평가하는 방법은 크게 3가지로 나누어지고 각각 장단점이 존재한다. 이 중 Newmark 영구변위해석은 다른 두 방법과 비교하여 계산의 효율성과 정확성을 동시에 추구할 수 있는 개념으로서 사면의 재해위험평가에 있어 널리 사용되는 방법이다. Newmark 영구변위해석(1965)은 경사면 위에 놓인 강체 블록의 활동과 지진하중으로 유발된 사면의 영구변위의 유사성을 통해 개발 된 개념이다. 이 이론에서 파괴가 예상되는 토체는 Fig. 1(a) 에서와 같이 하나의 강체 블록으로 간주하게 되고, 강체 블록 내에서는 내부 변형이 일어나지 않는다고 가정한다. 이러한 가정 아래 바닥으로 유입되는 특정 지진 가속도 하중에서 이러한 블록이 활동하기 시작하는 가속도를 항복가속도라 하고, 지진 가속도 기록이 항복가속도를 초과하면 강체 블록이 움직이기 시작하고, 강체 블록의 가속도와 지진 가속도 기록이 같아질 때까지 영구변위가 발생하게 된다. 즉, 사면의 영구변위는 지반에 유입되는 지진 가속도 기록과 항복가속도 차이를 Fig. 1(b)와 같이 두 번 적분하여 누적된 값을 계산함으로써 산정 할 수 있게 된다.
Newmark 영구변위해석 기법은 움직이는 블록을 강체로 취급하기 때문에 블록 내부에서의 변형 특성으로 인한 입력 지 진파의 증폭효과 및 감쇠효과를 고려하지 못한다는 단점이 있 다. 또한, 진동에 따른 지반의 강도 변화를 고려할 수 없기 때 문에 항복가속도를 일정하게 해석해야 하는 한계를 가지고 있 다. 그러나 실험실 시험 및 실제사례를 통한 분석은 지진 시 사 면의 변위를 비교적 잘 예측하는 것으로 알려져 있다. 이러한 배경 아래, 여러 연구자들은 계측된 지진 데이터를 기반으로 이 기법을 이용하여 영구변위 경험식을 제안하였다(Jibson, 2007). 이는 Newmark 영구변위해석 기법이 유사정적해석 방법에 비하여 특정한 지진기록을 바탕으로 시간이력해석을 수행하여 해석 시간이 오래 걸린다는 단점을 극복하는 계기가 되었다. 아래의 식은 본 연구에서 활용하는 Jibson(2007)이 제안한 영구 변위 경험식을 보여주고 있다.
여기서, Dn은 영구변위(cm)이고, amax 는 최대지반가속도 이며, ac는 항복가속도이다. 항복 가속도는 정적 안전률(FS) 및 사면 경사각(α, degree)의 함수로 식 (2)와 같이 나타낼 수 있다. 정적 안전률은 식 (3)과 같이 토질의 점착력(c), 단 위중량(γ), 내부마찰각(ϕ), 물의 단위중량(γw), 파괴 토체의 수직 두께(t), 및 포화도(m)을 통하여 산정할 수 있다. 식 (1)의 오른쪽 마지막 항인 ±0.510은 모델에 대한 표준편차를 나타낸다. 이 모델에 대한 자세한 정보는 Jibson(2007)에 잘 제시되어 있다. Fig. 2
확률론적 지진유발 사면 취약도 분석은 지진의 무작위성과 사면 모델의 불확실성을 고려하기 위하여 수많은 조건의 해석을 필요로 한다. 또한, 사면의 파괴를 규정하는 한계기준에 대한 신뢰성이 필수적이다. 이에 따라 Jibson 등(2000)은 Oat Mountain Quadrangle(CA, US) 지역에서 관측한 여러 지반조건 사면을 기반으로 예측된 Newmark 영구변위와 Northridge 지진 시 실제 관측된 사면파괴 기록에 대한 상관 성을 분석하였다. 이렇게 얻어진 영구변위-관측된 사면파괴 상관성 분석을 바탕으로 Kwag과 Hahm(2018)은 지진 시 파괴를 일으키는 한계 영구변위를 통계적 기법을 통하여 도출 하였다. 또한, 이 연구에서는 이를 위하여 Newmark 영구변위 경험식을 기준으로 MCS 샘플링 기법을 통하여 지진유발 사면 취약도를 평가하는 방법을 제시하였다. 이는 기존 2~20cm의 Newmark 영구변위가 지진으로 인한 사면의 붕괴 위험도 기준이 된다는 정성적인 연구 결과 대한 유효성을 정량적인 분석을 통하여 입증하였다. 마지막으로 사면의 지진 취약도 방법을 통하여 다양한 조건 하에 있는 사면의 무작위성 및 불 확실성을 하나의 내진 성능 지표로서 반영할 수 있는 고신뢰도 저파괴확률(high confidence low probability of failure: HCLPF) 개념을 도입하였고, 이로부터 다양한 조건을 가진 사면의 확률론적 내진 성능을 산정하였다. 구체적으로 특정 사면의 지진취약도 분석은 무작위성 및 불확실성으로 인하여 다양한 취약도 곡선을 도출한다. 이를 통계적으로 정리하면, 평균 취약도 곡선, 5% 신뢰도 취약도 곡선, 및 95% 신뢰도 취약도 곡선으로 나타낼 수 있다(Fig. 3 참조). 이는 해당 사면 모델의 종합적인 내진성능을 나타낼 수 있지만, 하나의 값으로 표현할 수 없다는 단점이 있다. 그러므로 이 연구에서는 HCLPF 개념을 도입하였다. 이 개념은 수학적으로 95% 신뢰도 취약도 곡선에서 5% 파괴확률을 의미하여, 취약도 곡선의 불확실성을 반영하고 이를 요약하여 나타낼 수 있는 척도가 된다(EPRI, 1994). 즉, 이 개념을 이용하면 지진 및 사면 모델의 무작위성 및 불확실성을 고려하여 하나의 사면 내진성능 값을 도출할 수 있다. 이러한 HCLPF 특징으로 인하여 이 개념은 원자력시설의 주요 구조물, 시스템 및 기기의 확률론적 내진성능을 하나의 대푯값으로 나타낼 때 널리 사용되고 있다.
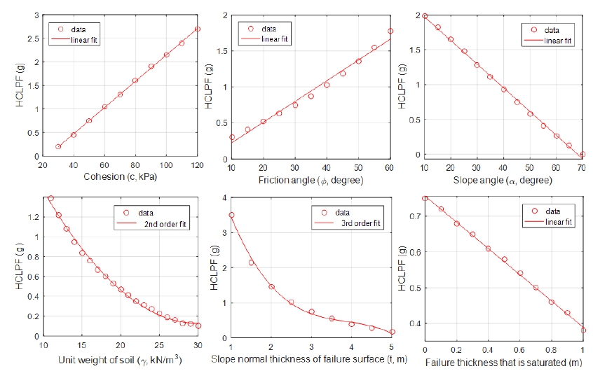
우선, 입력 변수의 변화가 사면 HCLPF 내진성능에 어떠한 영향을 미쳤는지 살펴보았다. Fig. 3의 사면조건을 기준으로 입력변수 값의 각각의 변화에 따라 HCLPF 값을 평가하였고, 이를 Fig. 4에 나타내었다. Fig. 4를 통하여 사면의 점착력 및 내부마찰각이 클수록 HCLPF 내진성능이 높아지고, 반면에 사면의 경사각, 토체단위중량, 파괴 토체의 수직 두께, 및 포화 도가 커질수록 HCLPF 내진성능이 낮아짐을 확인할 수 있다. 이러한 경향을 기반으로 다차원 변수 영역에서 모든 변수의 임의적인 변화에 따른 HCLPF 내진성능 변화를 살펴보기 위하여 아래와 같은 추가적인 분석을 실시하였다.
다양한 조건에 대한 사면 모델 고려는 Newmark 영구변위를 결정하는 다음의 주요한 6개 인자의 범위 내에서 이루어졌다: c =30~120 kPa; ϕ =10~60°; α =10~70°; γ =11~ 30kN/m3; t =1~5 m; m =0~1. 6개의 파라미터로 구성된 다차원 공간에서 가능한 모든 조합을 효율적으로 고려하기 위하여 라틴하이퍼큐브 샘플링 방법(Kwag and Ok, 2013)을 통하여 10,000개의 다양한 사면 조건을 추출하였다. 이렇게 추출된 10,000개의 사면 조건을 기반으로 지진에 의한 사면 취약도 분석을 통하여 사면의 HCLPF 내진성능을 산정하였고, 이러한 데이터를 통계적으로 분석하여 아래와 같은 다중 선형 회귀모델을 제시하였다(Fig. 2 참조).
식 (4)에서 확인할 수 있듯이, 사면의 점착력과 내부마찰각은 HCLPF 내진성능과 양의 상관관계를 보여주고 있고, 반면에 사면의 경사각, 토체단위중량, 파괴 토체의 수직 두께, 및 포화 도는 HCLPF 내진성능과 음의 상관관계를 가지고 있음을 확인 할 수 있다. 이러한 결과는 Fig. 4의 결과와 동일한 경향을 보여 주는 것으로써 특정한 조건의 사면 뿐 아니라 고려하는 범위 내의 다양한 조건 사면에서도 같은 경향을 나타내고 있음을 의미한다. 그러나 Fig. 2에서 확인할 수 있듯이 도출된 선형회 귀모델(Kwag and Hahm, 2018)은 R2값이 0.8335로서 유 의미한 상관성을 보여주지만 모델의 예측 편차가 상당히 크고 높은 내진 성능 값 영역에서는 예측 정확도가 상대적으로 떨어 짐을 확인할 수 있다. 여기서 R2는 결정계수(coefficient of determination)를 의미하고, 이는 추정된 확률모형의 주어진 자료에 대한 적합한 정도를 재는 척도이다. 통계적으로는 입력 변수의 변동량 중에서 적용한 확률모형으로 설명가능한 부분의 비율을 가르킨다. R2값은 0에서 1사이 값을 가지며, 입력변수와 출력변수의 상관관계가 높을수록 1에 가까워진다. 그러므로 본 연구에서는 이러한 데이터를 기반으로 이를 보다 잘 예측할 수 있는 모델을 인공신경망 기법을 통하여 개발하고자 한다.
3. 인공신경망 기법 개념
인공신경망은 인간 두뇌 신경세포(neuron)의 지식 습득 및 처리 과정을 모사한 전산 모형이다. 20세기 초 인간 신경세포에 대한 이해가 크게 발전함에 따라 이러한 특징을 전산으로 모사 한 뉴런 모형이 제안되었다. 또한, 각 뉴런 간 연결상태에 변화가 일어난다는 사실이 알려짐에 따라 추가적인 가중치를 부여한 퍼셉트론 모형이 고안되었다. 현재는 뉴런 및 퍼셉트론 모형을 기반으로, 여러 층의 퍼셉트론 연결을 통하여 보다 큰 표현 자유 도를 가진 신경망(multi-layer perceptron: MLP)을 도출 하고, 이를 복잡한 모형 학습에 이용하려는 접근 방식이 다양한 분야에서 적용되고 있다(Yegnanarayana, 2009).
MLP 구조는 입력층(input layer), 은닉층(hidden layer), 출력층(output layer) 총 3부분으로 구분할 수 있다. 입력층은 주어진 입력 변수 개수에 따라 뉴런의 수가 결정되고, 이 층의 각 뉴런은 외부로부터 정보를 입력 받고 이를 은닉층으로 전달 하는 기능을 한다. 은닉층은 입력층의 뉴런 간 관계를 정의하고 이를 통하여 입력층 입력 변수 사이의 복잡한 연관 관계를 표현 한다. 출력층은 최종적으로 은닉층으로부터 온 정보를 기반으로 입력 변수에 대한 신경망의 결과를 생성한다. 여기서, 서로 이 웃한 층들간 모든 뉴런은 가중치(weighting) 및 편향값 (bias)으로 서로 완전히 연결되어 있다. 구체적으로 은닉층 및 출력층의 각각의 뉴런은 입력되는 값에 가중치를 곱하고 편향 값을 더하여 합한 후, 이러한 합을 전달 함수(transfer function) 를 통하여 각 층에서의 결과 값을 도출한다. 이러한 과정 에서 MLP는 입력층에서 출력층까지 한 방향으로만 정보가 업데이트 되기 때문에 이를 완전연결 순방향 신경망(fullyconnected feed-forward neural network)이라 한다.
생성된 인공신경망은 각 뉴런의 가중치 및 편향값을 변경하여 이 모형으로부터 예측된 출력값과 실제 출력값의 차이를 최소 화하는 방식으로 경사하강법(gradient decent method)을 활용하여 학습한다. 이 때 신경망의 수많은 가중치를 동시에 바꾸는 것은 매우 힘들기 때문에 통상적으로 역전파(back propagation: BP) 기법을 사용하여 출력층부터 입력층까지 거꾸로 한 층씩 업데이트한다. 역전파 알고리즘은 MLP 학습 을 실질적으로 가능하게 한 개념으로서 이를 기반으로 한 보다 빠르고 효율적인 최적화 알고리즘에 대한 연구가 계속 진행되고 있다.
Fig. 5는 본 연구를 통해 생성된 ANN 모델을 보여준다. 이는 2층 순방향 신경망(two layer feed-forward neural network)의 MLP로서 입력층의 뉴런은 총 6개로 앞 절에서 언급한 사면 모델을 구성하는 6개의 주요 인자로 구성된다. 은닉층 및 출력층의 뉴런은 각각 총 10개 및 1개를 사용하였고, 출력층 뉴런의 최종값은 사면의 HCLPF 내진성능을 의미한다. 여기서, 전달 함수는 은닉층에서 Sigmoid 함수를 활용하였고, 출력층에서 선형 출력 함수를 사용하였다. 은닉층의 뉴런 개수와 관련하여 최적의 값을 정하는 일반적인 방법이 없기 때문에 이에 대한 매개변수연구를 통하여 결정하였다. ANN 모델 학습을 위한 BP 알고리즘은 Levenberg-Marquardt기법을 활용하 였고, ANN의 성능을 표현하는 오차함수로는 평균제곱오차 (mean squared error)를 이용하였다.
4. 결과 및 논의
사면의 HCLPF 내진성능 예측 모델을 도출하기 위하여 10,000개의 데이터(2장 참조)를 무작위로 Training Sample 과 Testing Sample로 구분하였다. 구체적으로 90%의 데이터 즉 9,000 Sample은 Training Set으로 할당하여 예측 모델을 도출하는데 활용하였고, 나머지 10%의 데이터 즉 1,000 Sample은 도출된 예측 모델의 정확성(유효성)을 확인하는데 사용하였다. 본 연구에서 소개한 ANN 기법을 통한 예측모델의 성능 유효성을 검증하기 위해서는 일반적인 통계학적 회귀방 법인 다중 선형회귀(multiple linear regression: MLR) 및 다중 다항식기반 회귀(multiple polynomial regression: MPR) 방법을 동일한 데이터 조건에 적용하였고, 도출된 결과를 ANN 기법을 통한 결과와 비교하였다. 여기서, MLR 모델의 경우는 입력변수의 상호간 연계작용을 고려하지 않는 일반적인 모델과 이를 고려하는 모델(MLR with Interaction)을 구분 하여 적용하였다. MPR 모델의 경우는 2차 다항식 기반으로 비선형 모델로 구성하였고, 이와 관련된 매개변수를 최적화 기법을 통하여 산정하였다. 도출된 모델의 성능은 선형상관계 수(R), 결정계수(R2), 평균절대오차(MAE) 및 평균제곱근오차 (RMSE)로 정량화하였다. 여기서 R 및 R2는 클수록(값이 1에 가까울수록), MAE 및 RMSE는 작을수록 해당 모델 성능이 우수함을 의미한다.
위에서 언급한 사면의 주요한 6가지 입력변수-HCLPF 내진 성능 데이터를 기반으로 일반적인 통계학적 회귀방법 및 인공 신경망 기법을 통하여 도출된 모델의 예측값과 이에 해당하는 실제값을 서로 연계하여 Fig. 6에 나타내었다. 이와 관련한 구체적인 성능 지표 비교는 Table 1에 정리하였다. 이렇게 도출된 그림과 표로부터 아래와 같은 내용을 정리 및 분석할 수 있다.
MLR기반 모델은 HCLPF 0~3g 값 사이에서 입력변수에 대하여 실제값을 비교적 평균적으로 잘 예측하는 경향을 보이지만, 그 값의 분산이 큼을 확인할 수 있다. 또한, 3g 이상의 값 영역에서 실제값보다 작은 값을 도출하여 예측 능력이 현저히 떨어짐을 확인할 수 있다.
MLR w/ Int. 모델은 HCLPF 0~6g 값 사이에서 입력 변수에 대하여 실제값을 평균적으로 잘 모사하지만, 그 값의 분산이 여전히 큼을 확인할 수 있다. 또한 6g 이상의 값에서는 실제값보다 작은 편향된 값을 예측함을 확인할 수 있다.
MPR 모델은 HCLPF 0~6g 값 사이에서 입력변수에 대 하여 실제값을 평균적으로 잘 예측하고, 기존의 MLR 모 델과 비교할 때 그 값의 분산이 상대적으로 작음을 확인할 수 있다. 그러나 여전히 6g 이상의 값 영역에서는 실제값 보다 작은 편향된 값을 예측함을 확인할 수 있다.
ANN 모델은 기존의 언급한 모델들과 비교하여, HCLPF 내진성능 모든 값의 영역에서 입력변수에 대하여 평균값을 거의 정확하게 예측하고, 그 값의 분산 또한 상당히 작음을 확인할 수 있다. 이는 Table 1의 정량화된 성능지표를 통 해서도 확인할 수 있다.
이러한 결과의 원인은 입력변수에 대한 실제값 데이터를 MLR 및 MPR은 저차원의 선형적인 입력변수 공간에서 실제 데이터를 잘 모사하는 구조화된 함수의 기본 파라미터를 찾아 적합한 모델을 도출한다. 반면에, ANN 기법은 기본적으로 입력변수의 차원을 데이터를 잘 모사할 수 있는 고차원 입력공 간으로 변경하고, 이를 바탕으로 기본 모델 함수의 파라미터 값를 찾기 때문이다. 이러한 ANN의 특징으로 인하여, 본 연 구의 비선형성이 큰 사면모델-HCLPF 내진성능 데이터와 관련 하여 ANN 모델이 기존의 MLR 및 MPR 모델과 비교하여 유연하게 실제 데이터를 표현하여 모델의 정확도를 상대적으로 높인 것으로 판단된다.
5. 요약 및 결론
이 논문에서는 인공신경망 기법을 적용하여 사면의 확률론적 내진 성능을 정확하면서도 효율적으로 예측하는 모델을 개발 하였다. 이는 R2 값이 거의 1이 되는 값을 가지는 모델로서 도출된 모델의 정확성은 기존의 다중 선형 및 다중 비선형 회귀 분석을 통한 모델과 비교하여 각각 약 17% 및 약 3% 상승함을 확인할 수 있었다. 또한, 이 모델은 기존의 사면 지진취약도 해석과 관련한 계산 시간을 비약적으로 줄이면서도 계산 결과의 정확도는 거의 훼손하지 않음을 확인하였다. 구체적으로 사면의 확률론적 내진 성능은 사면에 대한 지진 취약도 방법을 통하여 분석하였고, 95% 신뢰도 구간의 5% 파괴확률 즉, HCLPF를 대표 성능 값으로 규정하였다. 사면 지진 취약도 분석을 위하여, 지진유발 사면안정해석은 Newmark 영구변위 기법에 기반한 경험적 모델을 활용하였고, 사면파괴를 규정하는 한계상태는 과거 지진 시 실제 관측된 사면파괴 기록과 영구변위 값에 대한 상관성 데이터를 통하여 추정하였다.
결과적으로, ANN을 통한 사면의 확률론적 내진성능 예측 모델과 기존의 다중 선형회귀방법을 통한 예측모델 관련한 상호 비교 연구를 통하여 결론을 아래와 같이 정리하였다.
MLR 모델은 비교적 낮은 값의 사면 HCLPF 내진성능 값 관측 영역에서는 평균적으로 잘 예측하는 결과를 보였 지만, 그 예측값의 변동성이 매우 컸다. 또한, 높은 값의 사면 HCLPF 내진성능 영역에서는 만족스러운 결과를 제공하지 못하였다.
MLR w/ int. 모델 및 MPR 모델은 기존 다중 선형식의 1차원 기본 함수 차원을 높여 예측치의 정확도를 높일 수 있었으나 여전히 예측치의 변동성이 크고, 또한 높은 값의 사면 HCLPF 내진성능 관측영역에서는 부정확한 값을 도출하였다.
ANN 모델이 다른 이전 모델에 비하여 4가지 성능지표 (R, R2, RMSE, MAE) 비교 결과 가장 우수한 예측 능 력을 보여주었고, 이는 또한 관측된 모든 영역의 HCLPF 내진성능 값을 비교적 정확하게 선정하였다.
위와 같이 ANN을 통한 비교적 정확한 값을 도출하는 사면 HCLPF 내진성능 예측모델은 향후 지진에 대한 사면의 안전 성을 효율적이고 정확하게 평가하는데 기본적인 분석도구로 활용될 수 있을 것이다. 구체적으로 원자력발전소(원전) 인근 사면의 내진성능 지도를 개발하고, 이를 통하여 원전 지진유발 사면붕괴로 인한 리스크를 효율적으로 분석하는데 매우 유용 하게 활용될 수 있을 것이라 기대된다. 마지막으로 향후 연구 시 개선 및 보완해야 할 사항으로는 지진유발 사면붕괴 시험이나 정밀한 사면 수치모델를 통한 지진응답 결과를 활용하여 도출 된 모델의 유효성을 검증하고, 이러한 과정을 통하여 모델을 업데이트하는 연구가 필요할 것으로 판단된다.









