1. 서 론
2. 본 론
2.1 제안된 댐퍼의 개요
2.2 유한요소해석 모델의 검증
2.3 해석결과 및 분석
3. 결 론
1. 서 론
CBF(Concentrically Braced Frame)에서 휨강재이력 댐퍼를 가새에 직접 연결한 경우, 압축 하중이 작용하면 좌굴 발생으로 이력거동상 불리한 점이 있다(Ghamari et al., 2021a). CBF 시스템의 가새 부재가 압축 하중을 받는 상태에서 좌굴되면 강성과 강도가 저하되고 지진 에너지의 흡수도 방해하게 된다. CBF 시스템의 이력곡선을 개선하기 위해 세장비를 줄이거나(Bruneau et al., 1998), 가새 시스템의 최적 구성(Qiao et al., 2017), 새로운 가새 시스템의 개발과 같은 다양한 노력이 시도되어 왔다. 또한, 기존의 비좌굴가새(Safeer and Sahoo, 2017), 편심가새골조(Roeder and Popov et al., 1977), 수직전단링크 편심가새골조(Bouwkamp et al., 2016), knee 브레이스(Hsu et al., 2011), Y형 브레이스(Lian and Su, 2018), IH 브레이스(Skalomenos et al., 2022) 등 다양한 상세를 가진 가새 시스템의 비선형 거동에 대한 연구도 활발히 진행되어 왔다. 최신 기술을 사용한 능동 및 반 능동 댐퍼의 사용은 CBF 시스템의 거동을 개선할 수 있는 효과적인 방안이 될 수 있으나, 구축의 용이성, 유지관리의 경제성에 있어서 수동 방식의 댐퍼가 우월한 위치에 있다고 볼 수 있다. 강재이력에 의한 수동 방식의 댐퍼 중에서 구조적 신뢰도가 가장 높고 에너지 흡수 효율도 좋은 것으로 평가받고 있다.
CBF 시스템의 히스테리시스 거동을 개선하기 위해 강재이력 댐퍼 유닛을 브레이스에 직접 또는 간접적으로 추가될 수 있다. CBF 시스템에 간접적으로 부착되는 댐퍼 유형에는 ADAS(Xia and Hanson, 1992), 삼각형 ADAS(Tsai et al., 1993), 마름모꼴(Han et al., 2014), 슬릿(Lee and Kim, 2017), 포물선(Fan et al., 2016), 구부러진 스트립(Wang and Chien, 2009) 및 곡선 강철 댐퍼(Hsu and Halim, 2017) 등이 있다. 이러한 유형의 댐퍼는 주로 가새 요소와 플로어 빔 사이에 설치되는데, 에너지 흡수 능력이 우수하지만 구성과 제작이 복잡하고 제조 비용이 높은 것이 단점이다. 가새 요소에 직접 부착되는 댐퍼는 구성과 제작이 간단해서 경제적이며, U자형강(Taiyari et al., 2019), 비틀림 빔(Lotfi Mahyari et al., 2019), 테이퍼드 캔틸레버(El-Sayed and El-Mongy, 2018), f 테이퍼 튜브 댐퍼(He and Chen, 2021), 전단 댐퍼(Ghamari et al., 2019, 2021) 등이 있다.
2. 본 론
2.1 제안된 댐퍼의 개요
본 연구에서 제안된 댐퍼는 두꺼운 경계판(boundary plate)과 중간판(middle plate) 사이에 여러 개의 나비 형태 댐핑 철판을 부착한 구조로 고안되었으며 주구조체와의 연결 및 교체가 용이하도록 하였다(Fig. 1). 브레이스의 축하중이 댐퍼의 중간판으로 전달되고 이로 인해 경계판과 중간판 사이의 댐핑 철판에 휨모멘트가 발생하게 된다. 단면적이 작은 댐핑 철판에 휨 항복을 집중시키고 그 소성거동으로 발생한 감쇠효과를 이용한다. 공장 제작된 댐퍼를 현장에서 부착하는 방식으로 용접의 품질을 확보하고 시공기간을 줄일 수 있다.

Fig. 1.
Overall description of the damping system
2.2 유한요소해석 모델의 검증
댐퍼의 비선형거동 시뮬레이션을 위해 유한요소해석 프로그램인 ANSYS를 활용하였고, 각각 6자유도를 반영할 수 있는 4개의 노드로 구성된 SHELL 181 요소를 사용하여 모델링하였다. 해석모델의 검증을 위해 준비된 시편과 실험 세팅이 Fig. 2와 Fig. 3에 각각 나타나 있다. 실험체는 중간판 양쪽에 각각 4개씩 두께 3mm의 댐핑 철판으로 구성되어 있으며, 중간판과 경계판의 두께는 각각 15mm와 25mm로 설정하였다. 강재의 항복강도와 극한강도는 각각 235MPa와 370MPa이다.

Fig. 2.
The details of the test specimen

Fig. 3.
Test setup
해석모델은 실험체에서 거셋 플레이트와 연결되는 경계판의 끝부분을 고정단으로 설정하고 실험체에서 브레이스와 연결되는 중간판의 끝부분에 ATC24 하중 프로토콜에 따른 변위제어 반복하중을 적용하였다. 실험 및 유한요소해석 결과에 따른 힘-변위 상관관계가 Fig. 4에 나타나 있다. 유한요소해석에 의한 실험체의 비선형 거동 예측에 오차가 매우 작은 것을 확인할 수 있다. 휨항복이 발생한 이후에도 변위가 증가함에 따라 댐핑 철판의 축방향 인장에 의한 강도의 증가를 관찰할 수 있다(Fig. 5). 또한 변위가 증가함에 따라 실험결과와 유한요소해석 결과의 차이가 증가하는 것은 변형률 경화(strain hardening)에 기인한 것이다.

Fig. 4.
Comparison of the experimental and analytical results

Fig. 5.
Deformed shape of the test specimen
2.3 해석결과 및 분석
휨항복이 집중되는 댐핑 철판이 댐퍼의 거동에 미치는 영향을 분석하기 위한 18개의 유한요소모델에 대한 비선형해석을 수행하였고, 그 목록이 Table 1에 나와 있다. 댐핑 철판의 형태에 대한 변수를 h, t, b, α로 정리하고 추가적으로 이들 변수의 상호관계인 b/h와 h/t에 대한 영향도 조사하였다. 여기서 t는 댐핑 철판의 두께이다. 이들 변수에 대한 정의는 Fig. 1과 같다. 각 시편에서 댐핑 철판 두께가 얇은 경우는 철판의 수를 늘이고 두꺼운 경우는 철판의 수를 줄여서 두께의 전체 합은 12mm로 동일하게 설정하였다. 즉, 두께 t = 1.5mm인 시편의 경우 철판의 수는 8개, 두께 t = 3mm인 시편의 경우 철판의 수는 4개, 두께 t = 6mm인 시편의 경우 철판의 수는 2개로 설계하였다.
Table 1.
List of numerical models with the same total thickness
|
Model
|
h (mm)
|
t (mm)
|
b/h
|
h/t
|
α (°)
|
|
D-0.6-78-90
|
116.7
|
1.50
|
0.60
|
77.80
|
90
|
|
D-0.6-78-60
|
116.7
|
1.50
|
0.60
|
77.80
|
60
|
|
D-0.6-78-45
|
116.7
|
1.50
|
0.60
|
77.80
|
45
|
|
D-1.4-33-90
|
50.0
|
1.50
|
1.40
|
33.33
|
90
|
|
D-1.4-33-60
|
50.0
|
1.50
|
1.40
|
33.33
|
60
|
|
D-1.4-33-45
|
50.0
|
1.50
|
1.40
|
33.33
|
45
|
|
D-0.6-39-90
|
116.7
|
3.00
|
0.60
|
38.90
|
90
|
|
D-0.6-39-60
|
116.7
|
3.00
|
0.60
|
38.90
|
60
|
|
D-0.6-39-45
|
116.7
|
3.00
|
0.60
|
38.90
|
45
|
|
D-1.4-17-90
|
50.0
|
3.00
|
1.40
|
16.67
|
90
|
|
D-1.4-17-60
|
50.0
|
3.00
|
1.40
|
16.67
|
60
|
|
D-1.4-17-45
|
50.0
|
3.00
|
1.40
|
16.67
|
45
|
|
D-0.6-20-90
|
116.7
|
6.00
|
0.60
|
19.45
|
90
|
|
D-0.6-20-60
|
116.7
|
6.00
|
0.60
|
19.45
|
60
|
|
D-0.6-20-45
|
116.7
|
6.00
|
0.60
|
19.45
|
45
|
|
D-1.4-8-90
|
50.0
|
6.00
|
1.40
|
8.33
|
90
|
|
D-1.4-8-60
|
50.0
|
6.00
|
1.40
|
8.33
|
60
|
|
D-1.4-8-45
|
50.0
|
6.00
|
1.40
|
8.33
|
45
|
댐핑 철판이 얇은 경우(t = 1.5mm) 휨항복에 의한 소성거동이 작고, 댐핑 철판의 인장거동 영향이 두드러진다. 댐핑 철판의 인장저항에 의한 강도 증가를 관찰할 수 있으며, 비재하(unloading) 거동에는 댐핑 철판의 압축 좌굴 발생으로 강도 증가 효과가 거의 없다. 댐핑 철판이 두껍고(t = 6mm) h/t가 작은(h/t = 8) 시편의 경우 비재하(unloading) 거동에서도 압축 좌굴이 지연되어 재하(loading)와 비재하(unloading) 거동에 따른 강도의 차이가 작다는 것을 확인할 수 있다. 댐핑 철판의 날개각(α)이 90°가 아닌 경우, 길이가 길어지게 되면 철판의 중앙부는 단면적이 감소하고 조기 항복이 발생한다(Fig. 6). Table 2에서 날개각이 45°와 60°인 경우에는 댐핑 철판 중앙부에 항복이 집중되어 있는 것을 확인할 수 있다. 이로 인해 h/t가 큰 경우 댐핑 철판의 날개각에 따른 이력곡선의 차이가 크다는 것을 볼 수 있다.

Fig. 6.
Hysteresis curves of the numerical models
댐퍼가 지진으로 인한 운동에너지를 효율적으로 흡수할 수 있도록 소성거동은 댐퍼에 국한시키고 구조체의 다른 부분은 탄성상태가 유지되도록 설계해야 한다. 이를 위한 댐퍼의 항복 축강도의 예측 방법은 다음과 같다. 댐퍼의 소성거동은 경계판과 중간판 사이의 댐핑 철판에서 발생하는데, 양단의 최대 휨모멘트와 축방향 인장에 의한 강재의 항복에 기인한다. 양단의 소성힌지가 발생의 항복강도 Pyf와 축방향 인장항복 강도 Pyt는 각각 식 (1)과 식 (2)와 같다.
여기서 n은 댐핑 철판의 수이고, Mp는 각 철판의 소성 휨 모멘트이다.
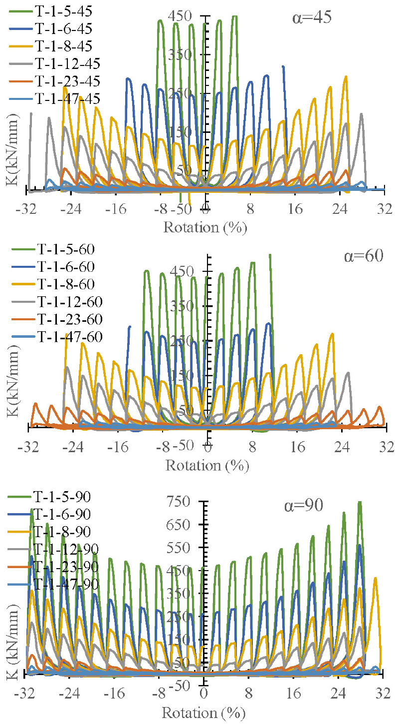
댐핑 철판의 전체 두께가 댐퍼의 강도와 에너지 흡수에 미치는 영향을 조사하기 위해 전체 두께(ttot)와 날개각(α)에 따른 18개의 유한요소모델에 대한 비선형해석을 수행하였고, 그 목록이 Table 3에 나와 있다.
Table 3.
List of numerical models with the different total thicknesses
|
Model
|
t (mm)
|
Ttot (mm)
|
h/t
|
α (°)
|
|
T-1-47-45
|
1.5
|
3.0
|
46.7
|
45
|
|
T-1-23-45
|
3.0
|
6.0
|
23.3
|
45
|
|
T-1-12-45
|
6.0
|
12.0
|
11.7
|
45
|
|
T-1-8-45
|
9.0
|
18.0
|
7.8
|
45
|
|
T-1-6-45
|
12.0
|
24.0
|
5.8
|
45
|
|
T-1-5-45
|
15.0
|
30.0
|
4.7
|
45
|
|
T-1-47-60
|
1.5
|
3.0
|
46.7
|
60
|
|
T-1-23-60
|
3.0
|
6.0
|
23.3
|
60
|
|
T-1-12-60
|
6.0
|
12.0
|
11.7
|
60
|
|
T-1-8-60
|
9.0
|
18.0
|
7.8
|
60
|
|
T-1-6-60
|
12.0
|
24.0
|
5.8
|
60
|
|
T-1-5-60
|
15.0
|
30.0
|
4.7
|
60
|
|
T-1-47-90
|
1.5
|
3.0
|
46.7
|
90
|
|
T-1-23-90
|
3.0
|
6.0
|
23.3
|
90
|
|
T-1-12-90
|
6.0
|
12.0
|
11.7
|
90
|
|
T-1-8-90
|
9.0
|
18.0
|
7.8
|
90
|
|
T-1-6-90
|
12.0
|
24.0
|
5.8
|
90
|
|
T-1-5-90
|
15.0
|
30.0
|
4.7
|
90
|
Table 3에 제시된 유한요소모델에 대한 해석결과가 Fig. 7과 Fig. 8에 나타나 있다. 댐퍼의 강도와 에너지 흡수량이 댐핑 철판의 전체 두께가 클수록 증가함을 확인할 수 있다.

Fig. 7.
Comparison of maximum forces of the models with different total thicknesses

Fig. 8.
Comparison of absorbed energies of the models with different total thicknesses
3. 결 론
본 논문에서는 가새에 직접 부착하는 방식의 휨 항복 메커니즘을 갖는 댐퍼를 제안하고 실험적, 해석적 방법을 활용하여 그 특성과 형태의 적절성을 분석하였다. 유한요소해석 및 실험에 의한 본 연구의 결과는 다음과 같이 요약된다.
1) 댐핑 철판이 얇은 경우 휨항복에 의한 소성거동이 작고, 댐핑 철판의 인장거동 영향이 두드러진다. 이 경우, 댐핑 철판의 인장 저항에 의한 강도 증가 효과가 매우 크며, 비재하(unloading) 거동에는 댐핑 철판의 압축 좌굴 발생으로 강도 증가 효과가 거의 없다.
2) 댐핑 철판이 두껍고 폭두께비(h/t)가 작은 시편의 경우 비재하(unloading) 거동에서도 압축 좌굴이 지연되어 재하(loading)와 비재하(unloading) 거동에 따른 강도의 차이가 작다.
3) 댐핑 철판의 날개각(α)이 90°가 아닌 경우, 길이가 길어지게 되면 철판의 중앙부는 단면적이 감소하고 조기 항복이 발생한다. 이러한 경향은 h/t가 큰 경우 날개각의 차아이 따른 이력곡선의 차이가 큰 것으로 관찰되었다.
4) 본 연구를 통해서 댐핑 플레이트를 병렬로 집결하여 가새에 직접 부착하는 방식의 댐퍼 구조가 상당한 에너지 흡수 능력을 보유할 수 있음을 확인하였다. 댐핑 철판의 날개각과 두께가 작을수록 강재이력에 의한 에너지 흡수량이 줄어드는 것을 관찰할 수 있으며, 효율적인 설계를 위한 댐핑 철판의 날개각 및 두께의 범위를 적정한 수준으로 제안할 수 있는 후속 연구가 필요하다.
Acknowledgements
본 연구는 국토교통부/국토교통과학기술진흥원의 지원(과제번호 21CTAP-C164148-01)에 의해 수행되었습니다.
References
Bouwkamp, J., Vetr, M.G., Ghamari, A. (2016) An Analytical Model for Inelastic Cyclic Response of Eccentrically Braced Frame with Vertical Shear Link (V-EBF),
Case Stud. Struct. Eng., 6, pp.31~44
10.1016/j.csse.2016.05.002Bruneau, M., Uang C.M., Whittaker, A. (1998)
Ductile Design of Steel Structures, McGraw-Hill, Boston, p.365.
El-Sayed, T., El-Mongy, H. (2018) Application of Variational Iteration Method to Free Vibration Analysis of a Tapered Beam Mounted on Two-degree of Freedom Subsystems,
Appl. Math. Model., 16, pp.1107~1122.
10.1016/j.apm.2018.02.005Fan, S., Ding, Z., Du, L., Shang, C., Liu, M. (2016) Nonlinear Finite Element Modeling of Two-stage Energy Dissipation Device with Low-yield-point Steel,
Int. J. Steel Struct., 30(4), pp.383~392.
10.1007/s13296-016-0029-4Ghamari, A., Haeri, H., Khaloo, A., Zhu, Z. (2019) Improving the Hysteretic Behavior of Concentrically Braced Frame (CBF) by a Proposed Shear Damper,
Int. J. Steel Struct., 16, pp.1107~1122.
Ghamari, A., Kim, Y., Bae, J. (2021) Utilizing an I-shaped Shear Link as a Damper to Improve the Behaviour of a Concentrically Braced Frame,
J. Constr. Steel Res., 186(1), 106915.
10.1016/j.jcsr.2021.106915Han, Q., Jia, J., Xu, Z., Bai, Y., Song, N. (2014) Experimental Evaluation of Hysteretic Behavior of Rhombic Steel Plate Dampers,
Adv. Mech. Eng., 6, 185629.
10.1155/2014/185629He, Z., Chen, Q. (2021) Upgrading the Seismic Performance of Underground Structures by Introducing Lead-Filled Steel Tube Dampers,
Tunn. & Undergr. Space Technol., 108, 103727.
10.1016/j.tust.2020.103727Hsu, H.-L. Juang, J.-L., Chou, C.-H. (2011) Experimental Evaluation on the Seismic Performance of Steel Knee Braced Frame Structures with Energy Dissipation Mechanism,
Steel & Compos. Struct., 11(1), pp.77~91.
10.12989/scs.2011.11.1.077Hsu, H., Halim, H. (2017) Improving Seismic Performance of Framed Structures with Steel Curved Dampers,
Eng. Struct., 130, pp.99~111.
10.1016/j.engstruct.2016.09.063Lee, J., Kim, J. (2017) Development of Box-Shaped Steel Slit Dampers for Seismic Retrofit of Building Structures,
Eng. Struct., 150, pp.934~946.
10.1016/j.engstruct.2017.07.082Lian, M., Su, M. (2018) Seismic Testing and Numerical Analysis of Y-Shaped Eccentrically Braced Frame Made of High- Strength Steel,
Struct. Des. Tall & Spec. Build., 27 (6), e1455.
10.1002/tal.1455Lotfi Mahyari, S., Tajmir, H., Riahi, H., Hashemi, M. (2019) Investigating the Analytical and Experimental Performance of a Pure Torsional Yielding Damper,
J. Constr. Steel Res., 161, pp.385~399.
10.1016/j.jcsr.2019.07.010Qiao, S., Han, X., Zhou, K., (2017) Bracing Configuration and Seismic Performance of Reinforced Concrete Frame with Brace,
Struct. Des. Tall & Spec. Build., 26(14), e1381.
10.1002/tal.1381Roeder, C.W., Popov, E.P. (1977) Inelastic Behavior of Eccentrically Braced Steel Frames under Cyclic Loadings, 20375, NASA STI/Recon Technical Report N 78, 318.
Safeer, M., Sahoo, D. (2017) Mitigation of Seismic Drift Response of Braced Frames using Short Yielding-Core BRBs,
Steel & Compos. Struct., 23(3), pp.285~302.
10.12989/scs.2017.23.3.285Skalomenos, K., Whittall, T., Kurata, M., Pickering, J. (2022) Component Testing and Multi-Level Seismic Design of Steel Braced Frames with High Post-Yielding Stiffness and Two-Phase Yielding,
Soil Dyn. & Earthq. Eng., 157, 107248.
10.1016/j.soildyn.2022.107248Taiyari, F., Mazzolani, F., Bagheri, S. (2019) A Proposal for Energy Dissipative Brace with U-Shaped Steel Strips,
J. Constr. Steel Res., 154, pp.110~122.
10.1016/j.jcsr.2018.11.031Tsai, K., Chen, H., Hong, C., Su, Y. (1993) Design of Steel Triangular Plate Energy Absorbers for Seismic-Resistant Construction,
Earthq. Spectra, 9(3), pp.505~528.
10.1193/1.1585727Wang, Y.-P., Chien, C.-S.C. (2009) A Study on using Pre-Bent Steel Strips as Seismic Energy-Dissipative Devices,
Earthq. Eng. & Struct. Dyn., 38(8), pp.1009~1026.
10.1002/eqe.880Xia, C., Hanson, R.D. (1992) Influence of ADAS Element Parameters on Building Seismic Response,
J. Struct. Eng., 118(7), pp.1903~1918.
10.1061/(ASCE)0733-9445(1992)118:7(1903)