1. 서 론
2. 지진 리스크 평가를 위한 베이지안 네트워크
2.1 공정 프로세스 기반 고장수목 구축
2.2 고장수목 기반 베이지안 네트워크 변환
3. 베이지안 네트워크 기반 시스템 지진취약도
3.1 플랜트 구조물 및 설비 지진취약도 조사
3.2 BN 확률추론을 이용한 시스템 지진취약도 분석
4. 수치 예제: 가스플랜트 Plot Plan
4.1 시스템 취약도 도출: 플랜트 규모에 따른 비교
4.2 시스템 취약도 도출: 구성요소 변화에 따른 비교
5. 결 론
1. 서 론
최근 산업시설물의 일종인 가스플랜트의 지진 리스크 평가를 수행하기 위해 베이지안 네트워크(Bayesian Network, BN)를 이용한 확률론적 안전성 평가(Probabilistic Safety Assessment, PSA) 방법론이 제안되었다(Lee et al., 2023, 2024). 해당 방법론은 원자력 플랜트 PSA 방법론으로부터 착안되었으며(Kwag et al., 2021), 고장수목(Fault Tree)을 선 구축하고 이를 BN으로 변환하여 유연한 의사결정을 가능하게 하였다(Lee et al. 2023). 구축된 BN은 노드(Node)들의 관계도를 시각적으로 표현하며, 해당 관계도는 가스플랜트의 공정을 기반으로 구성되게 된다. 이때, 가장 하위 노드(Node)는 플랜트를 구성하는 구조물 및 기계설비(예: 변전소, 저장탱크, 하역설비, 방산탑, 기화기 등)를 의미한다. 하위 노드는 각 설비에 해당하는 지진 취약도를 이산화한 조건부 확률표(Conditional Probability Table, CPT)를 갖게 되며, 이를 통해 지진 강도 변화에 따라 각 하위 구성요소, 하위 시스템, 전체 시스템의 리스크 평가를 수행할 수 있다. 제안된 BN 방법론의 장점은 주어진 정보에 따른 확률추론 수행이 가능하다는 점과, 다양한 인과관계를 설명하는 확률변수들을 쉽게 추가할 수 있다는 점이다. 이러한 장점 덕분에 산업시설물에서 전통적 재해로 고려되는 화재・폭발을 사건수목(Event Tree)으로 구성하고 BN으로 변환하여 기존 고장수목 기반 BN과 연계하는 방법론이 제안되었다(Lee et al., 2024). 해당 방법론은 지진뿐만 아니라, 지진으로 유발된 화재・폭발과 같은 복합재해를 다를 수 있다는 점에서 큰 의의가 있다.
그런데 지진으로 인한 시스템 리스크 평가를 정밀히 수행하기 위해서는 대상 플랜트의 네트워크 연결 정보와 더불어 정확한 구조적 정보를 필요로 하며, 그중에서도 개별 구조물 및 설비들의 지진 취약도 정보는 필수적이다. 하지만 저장탱크를 제외한 나머지 설비들에 대한 취약도 산정 연구는 굉장히 미미하며, 이러한 한계로 인해 선행 연구에서는 취약도 대표 파라미터들을 확률변수로 가정하고 선택하여 사용할 수 있도록 BN 모듈을 구성하여 제시하였다(Lee et al., 2023, 2024). 본 연구는 사전에 가스플랜트에 대해 구축된 BN 방법론을 기반으로 개개 취약도 정보들을 입력하여 최종적으로 시스템 취약도 도출을 목표로 하며, 이를 위해 우선적으로 개별 구조물 및 설비들의 지진 취약도 문헌조사를 수행하였다. 수집된 취약도 정보들을 BN에 입력하고 지진 크기를 변화시킴에 따라 산정되는 시스템 고장확률을 기반으로 시스템 취약도를 도출하게 된다. 또한, BN의 유연한 확률추론을 활용하여, 특정 구성요소들의 취약도를 변화시키고 그에 따른 전체 시스템 취약도가 어떻게 변화하는지 살펴보고자 하였다.
2절에서는 가스플랜트에 대해 구축된 고장수목과 이를 바탕으로 변환된 BN을 간략히 소개한다. 3절에서는 플랜트를 구성하는 개별 구조물 및 설비들의 지진취약도 문헌조사 수행 결과와 함께 일반적인 시스템 취약도 산정법에 대해 소개한 후, 구축된 BN 방법론을 이용하여 시스템 취약도를 도출하는 방법을 제안한다. 4절에서는 규모가 다른 가스플랜트 예제들에 대해 도출된 시스템 취약도를 비교하고, 추가적으로 개별 구성 요소들의 취약도 변화에 따른 전체 시스템 취약도 변화를 분석한다. 최종적으로 제안되었던 고장수목 기반 BN 방법론을 실질적으로 사용하기 위해 필요한 향후 연구를 제안하고자 한다.
2. 지진 리스크 평가를 위한 베이지안 네트워크
2.1 공정 프로세스 기반 고장수목 구축
고장수목은 하행법(Top-down) 방식의 연역적 방법론으로서, 최상위(정점) 이벤트인 시스템 고장을 유발하는 구성요소들의 관계를 AND, OR 논리 게이트로 표현하여 신뢰성 평가 및 분석을 수행하는 기법이다(Hauptmanns, 2004; Kim et al., 2009). 고장수목은 고전적 방법론에 속하나 주어진 문제를 직관적으로 관계를 표현할 수 있다는 점에서 장점을 갖고 있다. 이를 이용하여 선행 연구들에서는 주어진 문제를 바로 BN 모델링 시 발생가능한 인과오류를 줄이기 위해 고장수목을 선구축하여 시스템을 검토하고 BN으로 변환하는 과정을 선택하였다(Lee et al., 2023, 2024).
고장수목을 구축하기 위해서는 적용 대상 플랜트의 공정 프로세스 정보가 필요하며, 가스플랜트의 공정은 Fig. 1과 같으며 크게 하역, 저장, 기화, 공급 단계로 이루어진다.
가스플랜트의 정점 이벤트를 운영중단(Shut-Down)으로 가정할 때, 정점 이벤트 하위 그룹은 하역, 저장, 기화, 공급과 더불어 변전소, 파이프 시스템 등이 있으며, 이들 중 하나라도 고장이 발생할 경우 운영정지가 발생하므로 OR 게이트로 표현된다. 그리고 해당 하위 그룹은 추가 세부 공정이 있을 경우에는 OR 게이트, 여분의 장비들이 병렬 구조로 이루어진 경우에는 AND 게이트로 표현된다. 최종적으로 구축되는 고장수목은 Fig. 2와 같으며 상세한 고장수목 구축과정은 선행연구에 자세히 기술되어 있다(Lee et al., 2023).
2.2 고장수목 기반 베이지안 네트워크 변환
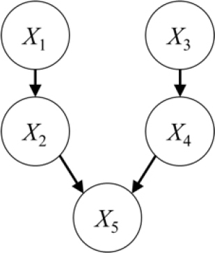
앞서 구축된 고장수목을 기반으로 유연한 의사결정을 수행하기 위해 베이지안 네트워크(Bayesian Network, BN)로 변환한다. 시각적 확률모델인 BN은 DAG(Directed Acyclic Graph)와 베이지안 업데이팅(Bayesian Updating)이 결합된 방법론으로서(Barber, 2012; Byun et al., 2017), 시스템의 구성요소들을 확률변수로 가정하고 BN 내 노드(Node)로 표현한다. 이때, 노드들간의 관계는 시각적으로 링크(Link)로 그려지고, 수치적으로 조건부확률표(Conditional Probability Table, CPT)로 표현된다. 다음 Fig. 3은 간단한 BN 예이다.
주어진 예제는 다섯개의 확률 변수(~)로 구성되어 있으며, 변수들의 관계를 모를 경우 일반적 결합확률분포 함수(Joint Probability Distribution Function, JPDF)는 다음과 같이 구할 수 있다.
하지만, 사전에 정의된 링크를 고려할 경우 식 (1)은 다음과 같이 수정될 수 있다.
Fig. 3에서 , 는 의 부모 노드이고, 같은 방식으로 과 는 각각 와 의 부모 노드이다. 해당 관계들을 CPT로 표현하면 각각 , , 와 같으며 최종적으로 JPDF는 식 (2)와 같이 간략화될 수 있다. 주어진 시스템이 많은 확률변수를 갖고 변수들 간의 관계가 복잡해질수록 JPDF 구축 과정 효율성이 증대된다.
고장수목 기반 BN을 구축하기 위해서는 AND, OR 게이트를 CPT로 변환하는 과정이 필수적이다(Kwag and Gupta, 2016; Zwirglmaier, 2016). 다음 Fig. 4는 가스플랜트 하역 단계를 BN으로 표현한 것이다(Lee et al., 2023).
Fig. 4에서 Unloading과 Unloading Equip. 노드는 각각 OR, AND 게이트에 해당하며, 각 게이트에 해당하는 CPT는 Table 1, 2와 같다. Table 1은 OR 게이트 로직(Logic)에 대응하는 Unloading 노드의 CPT이며, 해당 노드의 상태(State)는 부모 노드들인 LNG-Ship과 Unloading Equip.의 조건부 상태(Safe, Fail)가 모두 Safe 한 경우에만 Safe(= 1)로 표현된다. 반면에, Table 2는 AND 로직에 대응하는 CPT이며, 부모 노드들이 모두 Fail인 경우에만 해당 노드의 상태도 Fail임을 알 수 있다(Lee et al., 2023). 이와 유사하게 제안되었던 고장수목(Fig. 2) 내 모든 게이트들을 CPT로 변환하면 BN을 구축할 수 있게 되며, 자세한 예는 3절에서 소개하도록 한다.
3. 베이지안 네트워크 기반 시스템 지진취약도
3.1 플랜트 구조물 및 설비 지진취약도 조사
고장수목 기반 BN을 이용한 산업시설물 지진 PSA를 수행하기 위해서는 기초사건(고장수목) 혹은 상단 부모 노드(BN)에 대응되는 구조물 및 대형 설비들의 지진취약도 정보가 필요하며, 취약도 곡선은 일반적으로 다음과 같다(Bursi et al., 2018; Kim et al., 2009).
식 (3)은 주어진 PGA(Peak Ground Acceleration)에 대응하는 파괴확률을 누적된 로그 정규분포함수() 형태로 나타낸 것으로, 은 가정된 DS(Damage State)에 대한 해당 구조물의 지진동 내력 중앙값, 𝛽는 로그 표준편차로서 불확실성을 의미한다(Oh and Kwag, 2018).
산업시설물에서 중요한 설비로 여겨지는 저장탱크에 대해서는 많은 취약도 연구가 진행되어 왔다(Abbiati et al., 2021; Bursi et al., 2018; Lee et al., 2013; Park and Lee, 2015). 하지만, 그 외 증류탑, 기화기(Submerged Combustion Vaporizer, Open Rack Vaporizer), BOG(Boil-off Gas) Compressor, 펌프 등 기계 설비들에 대해서는 연구가 미미한 실정이다. 이와 같은 한계로 인해 선행연구에서는 Fig. 5와 같이 내력중앙값(), 로그 표준편차(𝛽)를 변수로 하는 취약도 BN 모듈을 구성하여, 주어진 설비에 대해 취약도 정보가 있을 경우 사용자가 해당 정보를 BN에 입력하거나 가정한 값을 사용할 수 있도록 하였다.
제안된 취약도 BN 모듈은 여전히 정확한 취약도 값을 제공하는 것은 아니므로 지진 관련 연구로 저명한 미국 FEMA (Federal Emergency Management Agency)에서 배포한 Hazus Earthquake Model Technical Manual(2024)을 면밀히 검토하였다. Hazus 매뉴얼은 건축구조물 뿐만 아니라 도로, 교량, 터널과 같은 인프라구조물들 또한 폭넓게 다루고 있다. 그중에서도 Section 8에서는 다양한 Utility System을 다루고 있으며, 그 중에서 산업시설물과 연관성이 있는 Oil-, Natural Gas-, Electrical Power-System을 검토하였다. 검토 결과 Refineries, Pumping Plants, Tank Farms와 같은 하위 카테고리가 있었고, 여러 구조요소의 취약도 정보가 제시되어 있음을 확인하였다. 추가적으로 매뉴얼에서는 플랜트의 규모와 함께 Anchored와 Unanchored를 구분하는데, 본 연구에서는 Anchored에 해당하는 지진취약도 정보를 사용하는 것으로 한다. 다음 Table 3, 4, 5는 각 카테고리에서 제시한 구조요소들의 취약도 값들을 정리하였다(FEMA, 2024).
Table 3.
Fragility functions for refineries (Anchored)
Table 4.
Fragility functions for pumping plants (Anchored)
| Subcomponent | DS | Median (g) | 𝛽 |
|
Electric Power, Loss of Commercial Power, Electrical/Mechanical Equip.: Same for Table 3 | |||
| Vertical/Horizontal Pump | Moderate | 1.25/1.60 | 0.6 |
| Building | Slight | 0.15 | 0.80 |
| Moderate | 0.40 | 0.80 | |
| Extensive | 0.80 | 0.80 | |
| Compete | 1.50 | 0.80 | |
Table 5.
Fragility functions for tank farms (Anchored)
| Subcomponent | DS | Median (g) | 𝛽 |
|
Electric Power, Loss of Commercial Power, Electrical/Mechanical Equip.: Same for Table 3 | |||
| Tanks | Slight | 0.30 | 0.60 |
| Moderate | 0.70 | 0.60 | |
| Extensive | 1.25 | 0.65 | |
| Compete | 1.60 | 0.60 | |
| Elevated Pipes | Extensive | 0.53 | 0.60 |
| Complete | 1.00 | 0.60 | |
세 가지 카테고리 모두 Electric Power(Backup), Loss of Commercial Power, Electrical/Mechanical Equipment 항목을 가지고 있으며, 동일한 DS와 취약도 정보로 정의되어 있다. 차이점으로는 Refineries의 경우 Stack과 관련된 취약도 정보가 있으며, Pumping Plants의 경우 Pump와 Building에 관한 정보가 추가되어 있다. 그리고 Tank Farms의 경우 Refineries와 유사하나, Tank 취약도 정보가 다소 다르며 Elevated Pipes 정보가 좀 더 세분화되어 있다. Unanchored의 경우도 Table 3, 4, 5와 같은 형태로 취약도 정보가 제공되어 있으나, 여전히 전력, 설비, 탱크, 구조물 등 각각에 대해 크기와 형태 등이 고려된 더욱 세분화된 취약도 정보는 제공되어 있지 않다. 4절에서는 가스플랜트의 구성요소들의 취약도 정보를 현 주어진 정보를 바탕으로 설정하고 시스템 취약도를 도출하도록 한다.
3.2 BN 확률추론을 이용한 시스템 지진취약도 분석
시스템의 취약도를 산정하는 방법은 여러 가지가 있을 수 있다. 예로 장대교량의 경우 주탑, 거더, 교각 케이블 등 여러 구성요소로 이루어지게 되는데, 이를 모두 고려하여 일체의 동해석이 가능할 경우 설정한 DS에 따라 널리 알려진 MSA (Multiple Strips Analysis), IDA(Incremental Dynamic Analysis), Cloud Analysis 등을 이용하여 지진 취약도 곡선을 도출할 수 있다(Yi and Kim, 2023). 하지만 복잡한 구조물의 동해석이 용이하지 않을 경우, 주탑, 거더, 교각 등 각 요소들의 개별 취약도를 산정하고, 식 (4)와 같은 확률론의 정의(Theorem)를 이용하여 산정하는 방법이 수행될 수 있다.
식 (4)에서 와 는 각각 시스템 및 i번째 구성요소의 고장확률(혹은 취약도 곡선)을 의미하고, 연산자 는 합집합을 의미한다. 이때, 구성요소 간의 독립 조건에 따라 계산 과정이 달라지게 된다(An et al., 2021).
그런데 플랜트 시스템의 경우 넓은 부지에 매우 많은 건축 구조물 및 대형 기계설비들이 분포해 있으며, 이들은 서로 밀접해 있거나 혹은 파이프로 연결된다. 이러한 시스템을 하나의 구조 연속체로 고려하여 동해석을 수행하는 것은 불가능에 가까우므로, 후자의 확률식과 개별 요소들의 취약도 정보를 이용하여 전체 시스템 취약도 곡선을 도출하는 방법이 현실적이다. 유사한 선행연구로는 요소들 간의 확률 관계식을 고장수목으로 대체하고, 변전소 설비들의 지진취약도를 기반으로 하여 변전소 시스템의 취약도를 도출한 연구가 진행된 바 있다(Kim et al., 2009; Li et al., 2019). 해당 연구에서는 변전소의 고장에 큰 영향을 미치는 요소로 절연애자와 변압기를 선정하였고, 해당 요소들의 개별 취약도를 산정한 후 해당 요소들을 기초 사건(Basic Event)으로 하는 고장수목을 구축하여 시스템 취약도를 도출하였다.
Fig. 6은 고장수목을 이용하여 시스템 취약도를 구하는 개념도이다. 기초 사건에 해당하는 요소들에 취약도 정보를 입력하고 고장수목의 로직에 따라 순차적으로 하위시스템(Sub- System) 그리고 최종 시스템의 취약도가 산정된다. 이와 같은 방법의 장점은 개별 요소들의 취약도를 기반으로 하위, 전체 시스템의 취약도를 고장수목이라는 널리 알려진 방법을 통해 쉽게 구할 수 있다는 점이다. 여기서, 본 연구에서 제안하는 방법은 사전에 구축된 BN이 고장수목을 대체하는 것이다. 고장수목의 경우, 기초사건에 입력된 정보를 바탕으로 상위 사건들의 확률 값을 일방향으로 계산하는 반면에, BN의 경우 네트워크 내 어떤 노드에도 정보 입력이 가능하고 확률추론을 수행하여 다양한 조건이 반영된 시스템 취약도 산정이 가능하다. Fig. 7은 BN을 이용하의 시스템 취약도 산정 과정을 나타낸다. 고장수목을 이용한 경우와는 달리 더 이상 계층 개념이 존재하지 않으며, 회색 노드와 같이 새로운 정보입력을 바탕으로 변경된 취약도 산정이 가능하다. 다음 절에서는 제안된 방법론을 이용하여 다양한 규모의 플랜트에 대해 시스템 취약도를 도출하고, 특정 설비의 취약도를 변경하였을 때 시스템의 취약도 변화를 분석하도록 한다.
4. 수치 예제: 가스플랜트 Plot Plan
원자력발전소와 같이 국가보안시설인 가스 플랜트는 정보가 제한적이며, 일부 정보만 공공데이터 포털에 공개되어 있다. 본 연구에서는 공개된 자료를 참고하여 Fig. 8과 같이 규모에 따른 세 개의 가상 Plot Plan을 구성하였다.
세 개의 Plot Plan을 구성한 이유는 Hazus 매뉴얼에서 제시된 규모(Small, Medium, Large)에 따른 시스템 취약도 곡선과 제안된 방법론을 통해 도출된 곡선을 비교 및 검증하기 위함이다. 큰 규모 시스템은 두 가지 타입의 저장탱크(각각 4기, 18기) 및 기화기(각각 9기, 11기)로 구성되어 있으며, Load Arm, Recondenser, 2nd-Pump, BOG-Compressor, Flare-Stack 등은 같은 종류로 2기씩 가정하였다. 그 외 해수 펌프장, 주전력, 예비전력, 계측, 부취, 공급망은 하나씩 고려하여 최종적으로 58개의 구성요소를 갖는다. 중간, 작은 규모의 경우 저장탱크 종류가 한 가지인 점 외에 설비들의 수만 감소된 형태이며 총 구성요소 수는 각각 36, 25개이다.
Fig. 9는 큰 규모에 대해 구축된 BN이며, GeNie(BayesFusion, LLC, 2023)를 이용하여 모델링되었다. 중규모, 작은 규모에 해당하는 BN은 같은 네트워크 구성에서 요소 수가 줄어든 형태로 모델링될 수 있다. 각 노드에는 CPT 정보가 입력되어야 하며, 설비들에 대응하는 노드들의 CPT는 취약도 정보를 바탕으로 계산된다. 저장탱크의 경우 Table 5의 정보를, Load Arm, Recondenser, BOG-Compressor, 계측, 부취, 공급망 등은 Table 3의 Equipment 취약도 정보를 사용하였다. SCV, ORV와 같은 기화기는 콘크리트 구조물로 이루어져 있기 때문에 Table 4의 빌딩 취약도 정보를, Flare-Stack은 Table 3의 정보를 사용하였다. 2nd Pump 및 해수펌프의 경우 Table 4의 Pump 정보를, 메인・예비 전력은 Table 3의 전력 관련 취약도 정보를 사용하였다. 마지막으로 파이프의 경우는 좀 더 세분화되어 있는 Table 5의 Elevated Pipes 취약도 정보를 사용하였다. Table 6은 Tank- Type1에 대해 지진취약도 정보를 이용하여 구축된 CPT 예이다. 해당 Table에서 는 취약도 함수를 의미하며, 지진 노드는 0.1g 단위로 이산화하였다. 이때, 사용된 취약도 함수의 DS 정의에 따라 CPT의 크기가 달라진다. 최상단의 각 설비들의 DS를 결정하는 노드들을 제외하고, 설비들을 그룹화하는 노드들은 앞서 소개한 고장수목(Fig. 2)에 따라 Table 1, 2를 활용하여 CPT가 결정된다.
Table 6.
CPT for tank-type1
| DS | Slight | Moderate | … | … | ||||
| Earthquake | 0.1 | … | 2.0 | 0.1 | … | 2.0 | … | … |
| Safe | 1- | … | 1- | 1- | … | 1- | … | … |
| Fail | (0.1) | … | (2.0) | (0.1) | … | (2.0) | … | … |
4.1 시스템 취약도 도출: 플랜트 규모에 따른 비교
Hazus 매뉴얼 섹션 8.3.6.1과 8.3.6.2, 8.3.6.3을 보면 각각 Refineries, Pumping Plants, Tank Farms에 대한 시스템 취약도 정보가 제공되어 있다. 구조요소와 마찬가지로 Anchored와 Unanchored 케이스로 나뉘어 있으며, Refineries의 경우 생산량에 따라 규모(Small 혹은 Medium/Large)가 세분화되어 있다. 자세한 취약도 정보는 Table 7과 같고 Fig. 10은 이를 나타낸 그래프이다.
Table 7.
System fragility functions (Only anchored cases)
그래프들을 보면, Refineries(Small)과 Tank Farms가 유사한 경향을 보이며, Pumping Plants의 경우 Slight와 Complete 사이의 격차가 상대적으로 많이 차이남을 확인할 수 있다. 본 연구에서는 규모에 따라 세분화되어 있는 Refineries의 취약도를, 가정한 세 가지 규모의 가스플랜트 시스템에 대해 도출된 취약도와 비교한다.
Fig. 11은 구조물 및 설비들에 해당하는 BN 노드들의 취약도 정보가 Slight로 입력되었을 때 도출된 시스템 취약도 곡선들과, Hazus 매뉴얼(HM)에서 제시된 Refineries Small과 Medium/ Large의 Slight에 해당하는 취약도 곡선을 나타낸 그래프이다.
BN 방법론을 통해 도출된 결과와 Hazus 매뉴얼에서 제시된 곡선 모두, 플랜트의 규모가 작아짐에 따라 취약도가 증가함을 확인할 수 있다. 이는 규모가 큰 플랜트일수록 고장에 대비한 여분 설비들이 존재함으로 더욱 안정적인 운영이 가능한 것으로 이해할 수 있다. BN-Small 곡선과 HM-Small 곡선의 경우 약 0.27g 부근에서 교차되며, 해당 값보다 작은 지진 규모에서는 매뉴얼에서 제시한 곡선이 취약하고 그보다 큰 값에서는 BN으로 도출한 곡선이 지진에 취약하게 도출됨을 알 수 있다. 반면, 중, 대규모 플랜트 경우에는 BN을 통해 도출된 시스템 취약도 곡선들이 더욱 보수적으로 도출됨을 확인할 수 있으며, 본 연구에서 제시한 대규모 플랜트보다 더욱 규모가 클수록 Hazus 매뉴얼에서 제시한 곡선과 유사해질 것으로 예상된다.
4.2 시스템 취약도 도출: 구성요소 변화에 따른 비교
앞서 가정한 플랜트의 규모에 따른 시스템 취약도 변화를 살펴봤다면, 이번에는 구축된 각 BN 모델들마다 설비 및 구조물들의 다른 취약도 정보들을 입력하면서 전체 시스템 취약도 변화를 살펴보고자 한다. Fig. 12, 13, 14는 각각 가정한 가스플랜트 규모가 Small, Medium, Large일 때 BN을 이용하여 도출된 시스템 취약도 결과이다. 공통적으로 세 경우 모두, 대응되는 BN 모델 내에 설비 노드들의 취약도를 변화시키기 위해 Slight부터 Complete까지의 정보를 순차적으로 입력하였다. 이때, 취약도 증가가 한정적일 경우(예: Electric Power(Backup)의 경우, Slight/Moderate 두 가지만 존재) 가장 높은 취약도 정보를 입력하고 그대로 유지하는 방향으로 가정하였다.
Fig. 12에서 BN 내 구성요소의 취약도의 정보를 Slight에서 Complete로 변경시킴에 따라 Hazus 매뉴얼에서 제시된 취약도 곡선처럼 점차 고장 확률(Failure Probability)이 다소 낮아지는 것을 확인할 수 있다. 마찬가지로 각각 중규모, 대규모 가스플랜트의 BN 모델들을 이용하여 시스템 취약도 변화를 도출한 경우에도 유사한 거동을 하는 것을 확인하였고, 중규모의 경우가 대규모 경우보다 그 변화폭이 작음을 확인할 수 있다. 그런데, 중규모의 결과에서 BN-Complete(보라색) 곡선의 경우 Hazus 매뉴얼이 제시한 Complete에 해당하는 곡선보다도 취약하게 도출되었는데, 이는 DS 가정이 일치하지 않기 때문이다. 현 논문에서 구축된 고장수목 및 BN의 시스템 고장은 하위 그룹 중 하나라도 문제가 생길 경우 운영 정지가 되도록 정의되어 있다. 반면, Hazus 매뉴얼에서 Moderate는 여러 다양한 설비들이 동시 다발 손상, Extensive는 탱크 손상과 더불어 Stack의 붕괴 조합, Complete은 탱크 붕괴와 파이프라인 완전 손상 등으로 DS가 정의되어 있다.
이와 같이 DS 정의 차이로 인해 보수적인 결과가 나온 것으로 생각할 수 있다. 이렇듯 매뉴얼에서 제시하는 취약도는 하나의 DS 정의에 대한 결과만을 제공한다. 본 연구에서 제시하는 방법론을 활용하면 여러 플랜트들의 서로 다른 운영정지 기준을 반영하여 더 정확한 취약도를 산출하는 것이 가능하다. Fig. 12, 13, 14에서 보여주었듯, 본 연구에서 설계한 세 가지 규모의 시스템에 매뉴얼의 기준을 적용했다면 실제보다 비보수적인 취약도 평가로 인해 부정적인 결과가 나타났을 수 있다.
5. 결 론
본 연구는 가스 플랜트 시스템 취약도를 도출하기 위해 가스 플랜트의 구성 요소(구조물 및 설비)들의 취약도 문헌 조사를 수행하고 기존에 제안된 고장수목 기반 베이지안 네트워크(Bayesian Network, BN)를 이용하였다. 문헌 조사 결과 FEMA (Federal Emergency Management Agency)의 Hazus Earthquake Model Technical Manual(2024)에서 플랜트의 다양한 구성 요소들에 대한 구체적인 취약도 값을 제시함을 확인하였다. 해당 취약도 정보를 기반으로 세 규모(Small, Medium, Large)의 Plot Plan을 구성하고 이에 대응하는 BN을 구축하여 전체 시스템 취약도를 계산하였다. 추가적으로 각 구축된 BN 내에서 구성 요소들의 취약도 Damage State(DS)를 변경시킴에 따른 전체 시스템 변화를 Hazus 매뉴얼에서 제시된 값과 비교하였다. 도출된 결과를 통해 Hazus 매뉴얼에서 제시한 시스템 취약도 값보다, BN을 이용하여 도출된 시스템 취약도가 보수적임을 확인할 수 있었다.
고장수목 기반의 BN을 통한 시스템 취약도 산정 방법은, 구성요소들의 취약도 정보들을 바탕으로 여러 DS 조건을 가정하여 시스템 취약도를 도출할 수 있다는 점에서 의의가 있다. 이러한 강점을 이용하여 전체 시스템의 취약도를 가장 많이 증가시키는 요소를 찾아내고, 해당 요소의 내진 강화를 시키는 등의 의사결정을 수행할 수 있을 것으로 기대된다. 하지만, 매우 오랜 경험이 쌓인 건축물과 원자력 플랜트의 설비 취약도와는 달리, 일반 플랜트 구성요소들의 취약도 연구 사례와 구체적 정보는 매우 한정적이다. 가장 저명한 Hazus 매뉴얼에서도 펌프, 터빈 등 기기설비들의 크기, 형태 등과 무관하게 일괄적인 취약도 값이 제시되어 있다. 따라서, 공정과 규모가 매우 다양한 산업시설물의 정량적 리스크 평가를 위해서는 다양한 구조물 및 설비들의 개별 지진 취약도 도출 연구는 필수적이며, 이를 위해서는 많은 비용이 드는 실물실험보다는 수치모델을 통한 연구가 적절할 것으로 판단된다. 이때, 저장탱크, 증류탑, 방산탑, 전력탑 등 유사한 형태의 설비들의 취약도를 도출할 수 있는 간단 범용 모델을 개발한다면, 취약도 맵핑 역할을 대신할 수 있을 것으로 기대된다.
















