1. Introduction
2. Theoretical Background of Phase-field Method
3. Smoothed Finite Element Method: Overview
3.1 Quadtree refinement
3.2 Wachspress basis functions
4. Numerical Tests
4.1 Cantilever beam
4.2 Patch test
4.3 Plate with the crack
5. Conclusion
1. Introduction
The fracture mechanism is one of the critical matters in modern engineering applications. In particular, the prediction of initiation and propagation of the crack path is a dominant concern for engineers and scientists. Therefore, to treat such obstacles, various numerical attempts, viz. discontinuous and continuous methods, have been suggested (Zhuang et al., 2022). Well-known discontinuous approaches are the extended finite element method (X-FEM) (Moës and Belytschko, 2002; Yoo and Kim, 2016) and generalized finite element method (GFEM) (Fries and Belytschko, 2010). Typically, these approaches utilize further schemes to handle crack tip singularity. Although this leads to improved accuracy, the numerical implementation often suffers from its mathematical complexity. In recent years, one of the continuous approaches, i.e., phase-field method (Miehe et al., 2010a; 2010b), has caught researchers’ interest. The phase- field possesses notable characteristics, including modeling the crack as a geometric discontinuity while treating the cracked domain as a continuum. Thus, additional treatment for crack initiation is not required. In addition, it has been instrumental in commercial/academic software (Hirshikesh et al., 2018; Molnár and Gravouil, 2017). Notwithstanding its ease of implementation, the phase-field method encounters a computational burden as the discontinuity evolves over time (Hirshikesh et al., 2018). Accordingly, quadtree mesh refinement can be a practical candidate to save mesh generation labor (Finkel and Bentley, 1974).
In this study, we explore the possibility of incorporating quadtree decomposition and strain smoothing approximations to embrace computational efficiency and accuracy. Since strain smoothing approximation, often called Smoothed Finite Element Method (S-FEM), was introduced by Liu et al. (2007a), the method has shown its tolerance to locking and mesh distortion (Zeng and Liu, 2018). Besides such aspects, S-FEM, in general, shows fast convergence and yields high accuracy in engineering problems (Lee et al., 2022; Liu et al., 2007b) and discontinuity (Bordas et al., 2010; Surendran et al., 2017). In the phase-field framework, highly accurate strain energy density needs to be computed to capture the complex crack growth path. In the S-FEM framework, finite element cells are sub-divided into sub-cells, and then sub-cells are reconstructed as a smoothing domain where gradients are smoothed. The strain energy is also computed on each smoothing domain by the smoothed strains and generally shows an improvement in accuracy (Liu and Nguyen, 2010). Therefore, S-FEM is workably able to bring a reliable crack path in the phase-field method.
The rest of this paper is organized as follows: Section 2 revisits the background of the phase-field method and the overview of S-FEM discussed in the following section. The validation and reliability of the adaptive S-FEM implementation into the phase-field are studied in Section 4 and then major discussion is drawn in the last section.
2. Theoretical Background of Phase-field Method
The basic idea of the phase-field fracture theory is based on the energy theory introduced by Griffith (1921). However, it has a limitation to explain crack growth behavior since the crack initiation and bifurcation are not considered. Hence, Francfort and Marigo (1998) proposed the variational fracture theory using energy-minimizing approximation. The internal energy of the system is given as:
where is the critical energy release rate and 𝛹 is strain energy density under the undamaged condition is given by Eq. (2):
where Lame’s first parameter 𝜆 and the shear modulus 𝜇 are computed respectively in terms of Young’s modulus and Poisson’s ratio 𝜐 as follows: and . To numerically solve Eq. (1), a diffused field variable 𝜙 was introduced by Bourdin et al. (2000) to characterize the crack surface as shown in Fig. 1.
In the phase-field method, the diffused field variable represents the state of the material, i.e., 𝜙=0 represents an undamaged state and 𝜙=1 represents a fully damaged state. The approximation of the fracture energy by the crack can be defined as:
By substituting Eq. (3) into Eq. (1), we can obtain the energy of the system using Eq. (4):
where (1-𝜙)2 denotes the degradation of the stored energy with evolving damage. Note that, in the framework of the phase- field method, the size of the regularized crack surface is controlled by the internal length scale .
By employing Gauss divergence theorem to Eq. (3), the following coupled field equations can be obtained:
where 𝜎 in Eq. (5a) is the Cauchy stress tensor and the natural boundary conditions are defined in Eqs. (6a) and (6b) as follows, respectively:
In this study, the smoothed finite element approximation is utilized to solve coupled field equations of Eq. (3). To reduce irreversibility, Ambati et al. (2014) proposed a hybrid formulation, as implemented in Eq. (5b), which can be rewritten as Eq. (7):
where a historical variable , as defined in Eq. (8), was introduced by Miehe et al. (2010a):
where with and is the bulk modulus (Amor et al., 2009).
Applying the standard Bubnov-Galerkin approximation, we can obtain the following weak form of Eq. (10): Find and such that, for all and ,
where
where is a very small value for numerical consistency. To solve Eq. (10), a staggered approach is used, i.e., firstly, the phase field 𝜙 is solved by the displacement fields. Then the phase field is used to solve for the displacement fields.
3. Smoothed Finite Element Method: Overview
In this section, the basic idea behind the gradient smoothing approach within the framework of the FEM is briefly revisited. Liu et al. (2007a) introduced the gradient smoothing approach in the framework of the FEM, often called S-FEM, to improve linear triangular and bilinear quadrilateral elements. One of the remarkable aspects of S-FEM is the sub-division of finite elements, so-called sub-cells. Then, sub-cells are reconstructed to smoothing domains by different schemes where gradients are smoothed over the smoothing domains. Thus, strains are continuous over the smoothing domains but are discontinuous across the boundaries of smoothing domains, not elements (Liu and Nguyen, 2016). In the framework of S-FEM, not only triangular or quadrilateral cells but also arbitrary polygons can be used (Dai et al., 2007). This feature leads to quadtree meshes that can be employed in S-FEM without any further numerical treatments. Fig. 1 illustrates the cell-based S-FEM (CS-FEM) scheme that how to construct the smoothing domains for quadtree meshes. In general, for CS-FEM, the shape of a sub-cell follows the shape of the parent cell, such as a quadrilateral element cell is divided into four quadrilateral sub-cells and triangular element cell has three triangular sub-cells. However, since this work utilizes quadtree meshes, the 4-node quadrilateral element is divided into four triangular sub-cells as shown in Fig. 2(a). In quadtree mesh refinement, 5-node to 8-node polygons are possibly generated; therefore, the number of triangular sub-cells depends on the number of vertices of the parent element cell. For example, as shown in Fig. 2(b), a 5-node polygonal element cell is divided into 5 triangular sub-cells. As shown in Fig. 2, in the cell-based smoothed approximation, each sub-cell plays a role as the smoothing domain, where gradients are smoothed.
In S-FEM approximation, the following infinitesimal strain over the smoothing domain is considered:
where a point is located on the boundaries of the smoothing domain and the weight function 𝛷, along with its property, is given in Eqs. (12a) and (12b), respectively:
Therefore, Eq. (11) can be rewritten by means of the divergence theorem as follows:
where is the area of the smoothing domain and is the outward normal vector given at Gauss points located on the middle point of boundaries of the smoothing domain as shown in Fig. 2. In terms of the nodal displacements, Eq. (13) is rewritten as Eq. (14) as follows:
where is a set of nodes. The smoothed strain-displacement matrix for 2D is given in the following Eq. (15):
where
where is the shape functions and is the boundaries of the smoothing domain. As shown in Fig. 2 and Eq. (16), the proposed S-FEM does not require an explicit form of shape functions. In other words, there is no isoparametric mapping. In addition, the interior Gauss integration is altered to line integration with one Gauss point at the middle of boundaries of the smoothing domain (please refer to Fig. 2). These salient features of S-FEM bring marked benefits that it can avoid over-estimation of the stiffness and is immune to highly distorted meshes.
Eq. (17) presents the discrete system equation for S-FEM:
where is the number of target cells. The external force vector is obtained in the same manner in finite element approximation.
3.1 Quadtree refinement
The quadtree mesh refinement is involved in this work for spatial discretization. As shown in Fig. 3, a quadrilateral mesh is sub-dividing into four cells with equal dimensions recursively. In general, this process lies in certain conditions, for instance, the solutions are concentrated or the geometric discontinuity exists. In this work, quadtree decomposition is facilitated along the crack surface. For interested readers, the details of the use of quadtree refinement can be referred to Natarajan et al. (2013) and references therein.
3.2 Wachspress basis functions
For -sided polygons, Wachspress (1971) introduced the rational basis functions to obtain nodal interpolation and linearity on the boundaries. Later, Warren et al. (2007) proposed the generalized Wachspress basis functions for simplex polygons and Meyer et al. (2002) suggested a simple form of a barycentric Wachspress basis function. We use the following simple form of Wachspress basis functions given in Eq. (18) in the smoothed FEM framework:
where wj(x) is defined in the following Eq. (19):
where the signed area of triangle is and adjacent angles are and as given in Fig. 4.
4. Numerical Tests
In this section, numerical results concerning the proposed adaptive quadtree S-FEM implementation into the framework of the phase-field method are investigated. The first example validates CS-FEM with a 4-node quadrilateral (Q4) element comparing FEM and CS-FEM with a 3-node triangular (T3) element. Then, a patch test for the implementation of the phase- field method is investigated in Section 4.2. In the following section, fracture problems are considered to evaluate the current approaches under different characteristics of cracks. Note that plane strain condition is considered for all tests.
Fig. 5 illustrates a schematic flowchart of the pseudo-code of the proposed framework. In the pre-processing stage, an initial finite element mesh is discretized and the phase-field is computed to generate quadtree meshes. Next, the staggered iteration is employed in the main stage to compute displacements, history variables and the phase-field. Then, quadtree meshes are adaptively generated checking the threshold of the phase-field. The staggered iteration is repeated with increased load steps using refined quadtree meshes. For conducting the subsequent numerical tests, the proposed framework has been implemented in MATLAB 2019b, which runs on an AMD Ryzen 5 5600G processor clocked at 3.90GHz and is equipped with 32GB of RAM.
4.1 Cantilever beam
This section tests a cantilever beam as the validation for the proposed smoothed FEM. Fig. 6 depicts the geometry of the beam and boundary conditions. The length and height of the beam are m and m, respectively. The boundary conditions are imposed on the left end of the beam and the load =1N carries on the right side of the beam. Young’s modulus and Poisson’s ratio are =1000N/mm2 and 𝜐=0.3.
The exact displacements and stresses can be found in Augarde and Deeks (2008):
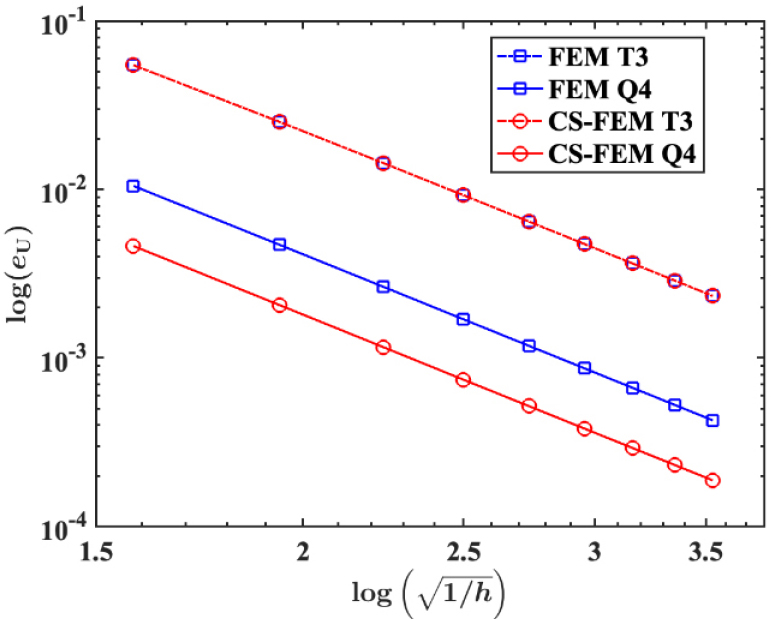
For this test, the following 9 levels of refined Q4 elements are used: 306, 650, 1,122, 1,722, 2,450, 3,306, 4,290, 5,402 and 6,642DOFs. Fig. 7 shows the convergence of the relative errors in displacements for FEM with Q4 and T3 elements and CS-FEM Q4 and T3 elements. As expected, Q4-CS-FEM yields more accurate results than Q4- and T3-FEMs, while T3-CS-FEM provides almost identical accuracy to T3-FEM.
4.2 Patch test
Next, a simple test of S-FEM implementation into the phase- field method with the analytical solution is examined. A unit square plate, viz. =1mm, under un-axial tension is used as shown in Fig. 8. The following material and the phase-field properties are chosen: Young’s modulus =210kN/mm2, Poisson’s ratio 𝜐=0.3, critical energy release rate =5 × 10-3 kN/mm and the internal length scale =0.1mm. The displacement 0.1mm is applied on the top edge of the plate with 1 × 10-3mm increment. The analytical solutions, given by Molnár and Gravouil (2017), for this test can be found in Eq. (20):
where is the axial strain and is the axial stress under the damaged condition.
Fig. 9 illustrates the evolution of the phase-field parameter and the axial stress as a function of the axial strain. As shown in Fig. 9(a), the evolution of the phase-field parameter is zero (undamaged) to one (fully damaged). As the phase-field parameter evolves, there is a noticeable decline in the load-bearing capacity of the material stiffness as shown in Fig. 9(b). These results show that the current approach meets an excellent agreement with the analytical solutions.
4.3 Plate with the crack
Next, we consider the two-dimensional domains with straight single and double cracks undergoing tension and shear. For the following test, a unit square plate with Lame’s first parameter 𝜆=121.15kN/mm2 and the shear modulus 𝜇=80.77kN/mm2, equivalent to =2.1 × 105kN/mm2 and 𝜈=0.3, is evaluated. The critical energy release rate =2.7 × 10kN/mm and the internal length scale =0.011mm are also considered.
4.3.1 Single crack with tension
First, the plate with a straight crack with tension is investigated. The crack is located at {0,0.5}mm and =0.5mm as shown in Fig. 10(a). Displacement is imposed on the top edge of the plate with 1.99 × 10-4mm up to 4.78 × 10-3mm and then 1.5 × 10-6mm up to 6 × 10-3mm which to reach the failure.
In the beginning, the plate is discretized into 2 × 2 elements and then quadtree meshes are refined along the crack surface as shown in Figs. 10(b) and 10(c). Then meshes are adaptively refined along the path of the crack growth up to the failure of the specimen. Fig. 11 illustrates quadtree meshes and the phase-field parameters of FEM and CS-FEM. The force-displacement curve of CS-FEM is given in Fig. 12 comparing FEM and the reference solution (Miehe et al., 2010b). It can be observed that the proposed approach shows relatively comparable failure patterns like FEM.
Table 1 presents the simulation time for the single crack with the tension problem. Unlike edge-based and node-based S-FEM, where the bandwidth of their stiffness matrix is wider than FEM, the bandwidth of the proposed CS-FEM is the same as that of FEM. Hence, in general problems, the computational times of CS-FEM and the standard FEM are similar. However, in the context of adaptive quadtree mesh refinement, FEM elements with hanging nodes require more integration points compared to the proposed CS-FEM, where the integration points remain constant. This numerical aspect, as given in Table 1, results in the proposed CS-FEM requiring relatively more degrees of freedom but remarkably shorter simulation time than FEM in the present study.
Table 1.
Comparison of the numerical result of single crack with tension: FEM and CS-FEM
| FEM | CS-FEM | |
| Num. of load steps | 838 | 838 |
| Num. of nodes | 13,719 | 13,740 |
| Num. of elements | 12,892 | 12,913 |
| Computational time | 54.82 (mins.) | 38.82 (mins.) |
4.3.2 Single crack with shear
The next test is the plate with a straight crack with shear. The geometry and boundary conditions of the problem are given in Fig. 13(a). The crack is in the same position as the previous test in Section 4.3.1. Displacement is increased with 8.8 × 10-4mm up to 8 × 10-3mm and then 2.45 × 10-4mm is applied until when 2 × 10-2mm.
Figs. 14(a) and 14(c) show the adaptive quadtree decomposition and the crack propagation path can be found in Figs. 14(b) and 14(d). Fig. 15 depicts the curve of the relationship between displacement and load. Compared to FEM, the present approach yields good agreement with the reference solution (Miehe et al., 2010b).
Results, numbers of nodes and elements of quadtree meshes and simulation time, of the single crack with the shear problem are given in Table 2. In contrast to the single crack with the tension problem, CS-FEM has the need for comparatively fewer nodes and elements. Additionally, the computational cost of the proposed approach is reasonably cheaper than FEM.
Table 2.
Comparison of the numerical result of single crack with shear: FEM and CS-FEM
| FEM | CS-FEM | |
| Num. of load steps | 59 | 59 |
| Num. of nodes | 15,496 | 15,473 |
| Num. of elements | 14,563 | 14,536 |
| Computational time | 14.03 (mins.) | 11.05 (mins.) |
4.3.3 Double cracks with tension
The numerical experiment ends with asymmetric cracks at both ends of the plate with tension in this section. The geometry and boundary conditions are given in Fig. 16(a) with the initial crack length \0.4mm and =0.1mm. The domain is discretized into 10 × 10 elements at first and quadtree meshes are generated with 9,230DOFs along both crack surfaces (see Figs. 16(b) and 16(c)).
The tension is applied with: 4.78 × 10-3mm for 25steps, then it reduced to 1.5 × 10-6mm for the rest simulation, which to reach 7.5 × 10-3mm.
Fig. 17 shows refined quadtree meshes and the crack propagation path for the test. For FEM, quadtree refinement generates 13,900DOFs along the crack path while 13,874DOFs are decomposed in CS-FEM. The proposed CS-FEM provides the expected crack propagation path when double cracks are involved.
Fig. 18 illustrates the reaction force as a function of the applied displacements, showing energy degradation.
Lastly, the comparison of computational time with respect to the adaptive quadtree elements and nodes for the proposed approach and FEM is given in Table 3. The proposed CS-FEM requires relatively fewer DOFs than FEM, but its simulation time is approximately half that of FEM. Consequently, the present method needs marginally fewer or more DOFs; however, it yields cheaper computational costs retaining the comparable accuracy to FEM.
5. Conclusion
In this work, a staggered phase-field method is implemented into the framework of smoothed finite element method. To avoid the finer mesh generation burden and to achieve computational efficiency, an adaptive quadtree mesh decomposition scheme is incorporated into S-FEM.
In the method, the elastic displacements and the phase-field parameters are decoupled and solved separately. To link both processes, the historical variables of the potential energy are employed.
The crack propagation is represented by the phase-field parameters as zero (no damage) and one for completely damaged.
The proposed S-FEM implementation is validated with the result available in the literature. The results show that the adaptive S-FEM of the phase-field method produces a good agreement with the reference solution, requiring fewer DOFs less computational effort than regular meshes at a similar level of accuracy.




















