1. 서 론
2. 국내 대표 변전소 구조물 형식 및 입력지진
2.1 변전소의 구조해석 모형화
2.2 입력지진
3. 가속도증폭계수에 대한 기존식의 비교
3.1 일본 내진설계기준의 가속도증폭계수
3.2 미국 내진설계기준의 가속도증폭계수
3.3 국내 내진설계기준의 가속도증폭계수
4. 변전소 구조물의 가속도 증폭계수의 산정
4.1 가속도 증폭계수의 산정 방법
4.2 변전소 구조형식에 따른 가속도증폭계수 의 평가
5. 결 론
1. 서 론
최근에 발생한 경주지진과 포항지진을 통하여 원자력발전소를 포함한 국가 중요시설의 안전성에 대한 우려와 관심이 국민적인 관심사로 대두되고 있다. 경주지진 시 순간적이긴 하지만 정전이 발생하여 시민의 불안감이 커진 사례가 있어서 더욱 더 전력설비의 내진성능 확보에 대한 일환으로 현장에서의 실무적인 내진보강 노력과 학계에서의 관련 연구가 활발히 진행되어 오고 있는 상황이다.
변전소 구조물 내에는 다양한 형태의 전력설비가 있으며 그 중 대표적인 것이 변압기, 가스절연 개폐장치(Gas Insulated Switchgear, GIS) 등이며 주로 애자형 기기와 비애자형 기기로 분류되며 국내의 변전소 구조물은 보통 4~5층 높이의 구조물로 되어 있으므로 설치되는 층의 높이에 따라 전력설비에 하중으로 작용하는 지진하중의 증폭 정도가 다를 수 있다. 일반적으로 구조물에 작용하는 지진가속도는 지표면으로부터 입력이 되어 구조물의 높이가 증가할수록 지진가속도가 증가한다. 그러므로 구조물의 층수가 증가함에 따라 증가하는 지진가속도의 영향을 반영하기 위하여 전력설비 내진설계에서 쉽게 적용가능한 가속도증폭계수를 지진하중을 결정하기 위한 설계변수로 사용하고 있다. 국내 송변전 설비의 가속도 증폭계수는 1층에는 1을 2~3층에는 2의 값을 사용하고 4층 이상의 경우에는 동적해석으로부터 직접적으로 구하여 사용하도록 되어 있다. 즉, 4층 이상의 경우에는 전력설비의 등가정적해석을 위해 필요한 가속도증폭계수가 제시되어 있지 못한 실정이다.
본 연구에서는 국내의 변전소들을 구조형식에 따라서 대표적인 7가지 형식으로 분류하였고 7가지 대표적인 변전소 구조형식에 대한 구조해석 모델을 작성하고 이를 이용하여 실제 다양한 지진가속도 기록을 지진하중으로 사용하여 지진해석을 수행하여 변전소 높이별로 가속도 응답을 구하여 가속도 증폭계수를 구하는데 사용하였다. 가속도증폭계수를 구하는 과정에서 필요한 내부-구조물 응답스펙트럼(In-Structure Response Spectrum, ISRS)은 층별로 지진가속도 응답을 MIDAS-GEN 프로그램(MIDAS Information Technology Co.)을 이용하여 계산하였고, 층별 지진가속도 응답을 입력으로 사용하여 BiSPEC (Earthquake Solutions)이라는 응답스펙트럼 작성 프로그램을 사용하여 구조물의 층별 내부-구조 응답스펙트럼을 작성하였다. 전력설비는 대부분 5~30Hz 범위의 진동수를 가지는 고진동수 설비이므로 다양한 고진동수 범위에 대하여 내부-구조 응답스펙트럼을 평균 응답을 구하고, 이를 1층의 가속도 응답으로 나누어 가속도증폭계수를 산정하였다. 본 연구에서 평가된 가속도증폭계수를 변전소 구조형식별로 미국기준인 ASCE 7-16(ASCE, 2017)과 일본기준인 자가발전설비 내진설계지침(Japan Internal Combustion Engine Power Generation Association, 1985)에서 제시된 가속도증폭계수 산정식과 비교하였다.
2. 국내 대표 변전소 구조물 형식 및 입력지진
2.1 변전소의 구조해석 모형화
국내에는 다양한 구조형식의 변전소 구조물이 있으며 대표적인 사례로 Fig. 1에 나타낸 바와 같이 2011에 완공된 345kV인 신김포 변전소를 예로 들 수 있다. 모든 변전소에 대한 층별 가속도증폭계수를 평가하는 것은 많은 노력과 시간을 필요로 함으로써 국내의 가장 대표적인 7가지 구조형식의 변전소를 선정하여 Midas-Gen 프로그램을 이용하여 구조해석 모형화를 수행하였다. 변전소 구조해석 모델에서 강재골조(철골) 부재는 SS400, SWS400, SW490, SM400, SM490 형강 등을 주로 시용하였고, 콘크리트 부재는 C21(질량밀도 2.4 kN/m/g)의 재료를 사용하였다. 변전소 구조물의 감쇠비는 IEEE(IEEE-693, 2018)에서 제시하는 바와 같이 2%가 사용하였다.
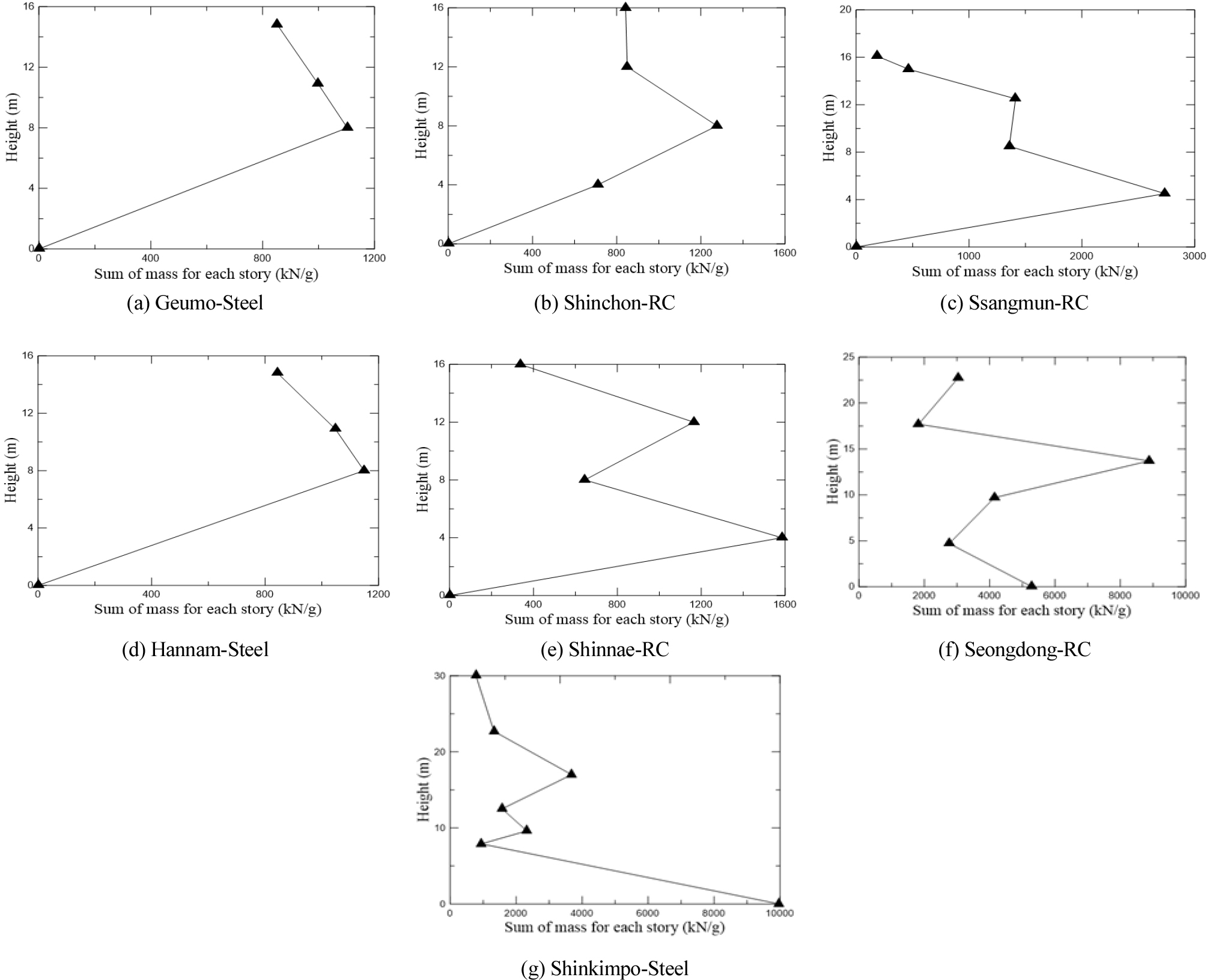
7가지 대표적인 구조형식의 변전소에 대한 구조해석 모델링을 Fig. 2에 나타내었다. 7가지 대표적인 변전소의 명칭은 지역명과 부재 재료명(철골 또는 철근콘크리트)의 순서로 명명하였다. 예를 들면 강재골조 부재가 주로 사용된 금오 지역의 변전소의 명칭은 금오-철골이라고 명명하였다. 이러한 명칭부여에 대한 7가지 변전소의 명칭은 Fig. 2(a)~(g)에 나타낸 바와 같이 금오-철골(Geumo-Steel), 신촌-철콘(Shinchon-RC), 쌍문-철콘(Ssangmun-RC), 한남-철골(Hannam-Steel), 신내-철콘(Shinchon-RC), 성동-철콘(Seongdong- RC), 신김포-철골(Shinkimpo-Steel) 등으로 각각 부여하였다. 변전소 구조해석모델에서 구조부재 별 위치 분포의 예를 신김포-철골에 대하여 Fig. 2(g-1)~(g-7)에 나타내었다.
모든 변전소 구조해석모델에 대하여 구조물과 전력설비의 자중을 사하중으로 작용시켰고, 이를 질량으로 환산하여 구조해석 모델에 반영하였다.
2.2 입력지진
변전소 구조물의 가속도증폭계수 산정을 위한 입력지진으로는 인공합성지진이 아닌 실제 지진을 사용하였다. 그 이유는 설계스펙트럼에 대응하는 인공합성지진은 설계목적으로는 많이 사용되지만 다양한 진동수 특성과 같은 실제 지진의 동적특성을 모사하기가 쉽지 않으므로 가속도증폭계수와 같은 내진설계 변수의 산정이나 평가에는 실제 지진가속도 기록을 사용하는 것이 보편적이다. 실제 지진가속도 기록은 국내에서는 기록된 강진기록이 없으므로 미국에서 계측된 지진 20개를 사용하였다. 설계하중에 대한 미국기준인 ASCE 7의 2010년 판(ASCE, 2010)에는 구조물의 동적해석을 수행하여 최대응답을 적절히 얻기 위해 최소 3개 이상의 입력지반운동을 사용할 것을 명시하였고, 평균응답을 얻기 위해서는 7개 이상의 입력지진을 사용할 것을 명시하였다. 그러나 평균응답을 얻기 위해서는 7개의 입력지진이 충분하지 않기 때문에 ASCE 7의 2016년 판(ASCE, 2017)에는 입력지반운동의 수를 최소한 11개 이상으로 수정하여 제시하였다. 그러므로 본 연구에서도 가속도증폭계수를 구하는 것은 평균응답을 구하는 것이므로 11개 보다 많은 20개 지진기록을 사용하였다. 이 중에 10개는 근거리 지진(near-fault)이고 10개는 원거리 지진(far-field)으로 선정하여 사용하였다. 근거리 지진은 일반적으로 펄스 형태의 큰 속도와 장주기 성분을 가지고 있어서 변위 응답을 크게 유발하는 특징을 가진다. 비슷한 최대지반가속도(PGA)에서 근거리 지진이 원거리 지진보다 더욱 큰 최대지반속도(PGV)를 가진다. 해석에 사용한 지진의 상세한 정보는 동일 지진을 사용한 저자의 논문(Jeong et al., 2019)에 나타나 있다.
입력지진을 근거리 및 원거리 입력지진으로 구분하여 가속도응답스펙트럼을 작성하여 Fig. 3에 나타내었다. 원거리 지진 10개에 대한 가속도 응답스펙트럼의 평균응답이 근거리 지진의 값보다 5Hz 이상의 고진동수 영역에서 약 1.5배 정도 크게 나타남을 알 수 있다.
3. 가속도증폭계수에 대한 기존식의 비교
3.1 일본 내진설계기준의 가속도증폭계수
일본의 전력설비에 대한 가속도증폭계수 는 전력설비를 설치하는 구조물의 고유주기와 높이에 따른 전력설비의 설치위치를 변수로 하여 식 (1)과 같이 정의하며 Fig. 4와 같이 나타낼 수 있다.
| $$\alpha_J=\begin{Bmatrix}1+(A_B-1)\frac hH\;:\;\mathrm{지상}\\1\;\;\;\;\;\;\;\;\;\;\;\;\;\;\;\;\;\;\;\;\;:\;\mathrm 지하\end{Bmatrix}$$ | (1) |
여기서, 는 구조물의 지상부분의 총 높이, 는 전력설비가 설치되는 위치의 높이, 는 구조물 최상층부의 가속도증폭계수이다. 구조물 최상층부의 경우 = 로 하며 는 변전소 구조물의 고유주기 에 따라 식 (2)와 같이 정의한다.
또한, 구조물의 고유주기 는 식 (3)과 같이 정의한다.
| $$T_B=(0.02+0.01\beta)H$$ | (3) |
여기서, 는 구조물이 철골(steel)이면 1이고, 철근콘크리트(RC)인 경우는 0이다.
3.2 미국 내진설계기준의 가속도증폭계수
미국 전력설비의 가속도 증폭계수 는 구조물의 총높이 에서 전력설비가 설치된 위치의 높이 의 선형적인 비례관계로서 다음 식과 같이 정의한다.
| $$\alpha_A=1+2\frac hH$$ | (4) |
3.3 국내 내진설계기준의 가속도증폭계수
국내의 경우, 국내 도서 발전설비 내진설계 실무지침서와 송배전설비의 내진설계 실무지침서(Korea Electric Power Corporation, 2014)에서 가속도증폭계수()는 Table 1과 같이 정의한다.
4. 변전소 구조물의 가속도 증폭계수의 산정
4.1 가속도 증폭계수의 산정 방법
변전소 구조물에 대한 층수 또는 높이의 증가에 따른 지진가속도응답의 증가정도를 나타내는 가속도증폭계수의 산정절차는 몇 단계의 과정을 거쳐서 이루어진다. 이러한 가속도증폭계수 산정을 위한 단계별 절차를 크게 4단계로 구분하여 Fig. 5에 나타내었다.
첫 번째 단계로 변전소 구조물에 대한 구조해석 모델을 작성한 후에 다양한 입력지진을 사용하여 응답이력해석(response history analysis)을 수행한다. 응답이력해석은 Midas-Gen 프로그램을 사용하여 수행하였다. 두 번째 단계로는 변전소 구조물의 층별 또는 높이별로 가속도응답 를 구한다. 여기서 는 층수 또는 높이별 위치를 나타내며 1층부터 최상층의 층수를 순차적으로 나타낸다. 층별 가속도 응답 는 변전소 구조물의 층별 평면상의 5개 위치(사각형 평면상 모서리 네 군데와 정중앙 위치 1곳)의 가속도응답을 사용하였다. 세 번째 단계로는 층별 가속도응답 를 입력가속도로 사용하여 가속도 응답스펙트럼 를 계산한다. 이러한 응답스펙트럼을 원전 및 전력 분야에서 내부-구조물 응답스펙트럼(in-structure response spectrum)이라고 한다. 내부-구조물 응답스펙트럼은 BiSPEC 프로그램을 사용하여 계산하였다. 네 번째 단계는 층별 내부-구조물 응답스펙트럼 를 기준이 되는 1층의 내부-구조물 응답스펙트럼 로 나누어 주면 번째 층에 대한 가속도증폭계수 를 구할 수 있다.
4.2 변전소 구조형식에 따른 가속도증폭계수 의 평가
7개의 변전소 구조형식에 따른 내부-구조물 응답스펙트럼를 원거리 및 근거리 지진으로 구분하여 각각 Fig. 6과 Fig. 7에 나타내었다. 이는 Fig. 5의 3번째 과정을 나타낸다. 번째 층에 대한 내부-구조물 응답스펙트럼 은 각각 원거리 및 근거리에 대한 10개 지진과 층별 5개 위치의에 대한 평균값이므로 총 50개의 내부-구조물 응답스펙트럼의 평균값을 나타낸다. 변전소 구조물의 형식에 따라서 응답스펙트럼의 최댓값이 나타나는 진동수 대역이 다르게 나타남을 알 수 있는데, 금오-철골은 1~5Hz, 신촌-철콘은 4~10Hz, 쌍문-철골은 8~30Hz, 한남-철골은 1~10Hz, 신내-철콘은 3~20Hz, 성동-철콘은 2~5Hz, 신김포-철골은 0.5~10Hz의 진동수 대역에서 나타난다. 철골(steel)로 이루어진 변전소가 3개이고 철근콘크리트(RC)로 이루어진 변전소가 4개인데 철골 구조의 변전소에서 낮은 진동수 영역인 약 1~5Hz에서 가속도 스펙트럼이 크게 나타나고 철근콘크리트로 이루어진 변전소의 경우엔 5~20Hz의 고진동수 영역에서 크게 나타나는데, 이는 낮은 고유진동수를 가지는 철골 변전소와 고진동수의 철근콘크리트 변전소의 고유진동수의 차이에 기인한다고 할 수 있다. 7개 구조형식의 변전소의 첫 번째 진동모드에 대응하는 진동수를 Table 2에 나타내었다. 철골로 구성된 3개의 변전소의 고유진동수는 0.72~0.79Hz의 범위로 비교적 고유진동수가 유사하게 나타나며, 철근콘크리트로 구성된 4개의 변전소의 고유진동수는 2.3~8.8Hz의 범위를 가지는데, 이는 Fig. 8에 나타낸 내부-응답스펙트럼의 최대치가 발생하는 진동수 값과 비슷한 경향을 나타낸다.
Table 2.
Comparison of 1st mode natural frequency of substations
| Name of Substation | Frequency (Hz) |
| Geumo-Steel | 0.731 |
| Shinchon-RC | 4.913 |
| Ssangmun-RC | 8.801 |
| Shinnae-RC | 3.488 |
| Hannam-Steel | 0.721 |
| Seongdong-RC | 2.345 |
| Shinkimpo-Steel | 0.792 |
내부-구조물 응답스펙트럼 를 원거리 및 근거리 지진으로 구분하여 분석하면 원거리 지진에 대한 경우가 근거리 지진의 경우 보다 10Hz 이상의 고진동수 영역에서 크게 나타남을 알 수 있다. 이는 Fig. 3에 나타낸 바와 같이 원거리 지진의 경우가 근거리 지진의 경우에 비하여 고진동수 영역의 가속도 스펙트럼이 전반적으로 크게 나타나기 때문이다.
7개의 변전소 구조형식에 따른 가속도증폭계수 를 원거리 및 근거리 지진으로 구분하여 각각 Fig. 8과 Fig. 9에 나타내었다. 이는 Fig. 5의 4번째 과정을 나타낸다. 철골 구조의 변전소인 금오-철골, 한남-철골, 신김포 철골은 가속도증폭계수 가 1~3Hz 부근에서 최대치를 나타냄을 알 수 있다. 철콘 구조의 4개 변전소의 경우에는 가속도증폭계수 가 대략 5~20Hz 부근에서 최대치를 나타냄을 알 수 있다. 근거리 지진보다 원거리 지진의 경우가 10Hz 이상의 고진동수 영역에서 가속도증폭계수 가 보다 크게 나타남을 알 수 있다.
변전소 구조물 내부에 설치되는 전력설비는 대부분 10Hz 이상의 고유진동수를 가진다. 이는 전력설비가 대부분 강성은 크고, 강성에 비해 질량이 작기 때문이다. 전력설비의 가속도증폭계수 를 평가하기 위해서는 다양한 전력설비가 가지는 진동수 영역의 범위를 정하고 이 범위에서의 평균값을 사용하는 것이 합리적이다. 이 과정에서 진동수 범위를 전력설비의 고유진동수에 해당되는 진동수 영역보다 과도하게 광범위하게 잡으면 가속도증폭계수의 평균값이 전력설비에 가해지는 가속도증폭의 정도를 실제와 차이가 많이 날 정도로 왜곡할 가능성이 높아지므로 전력설비의 고유 진동수 범위에 맞게 합리적으로 진동수 영역을 정하는 것이 합리적이다. 본 연구에서는 가속도증폭계수 의 평균값을 구하기 위한 진동수 영역으로 4개의 영역으로 5~20Hz, 5~30Hz, 10~20Hz, 10~30Hz를 사용하였다. Fig. 8과 Fig. 9의 가속도증폭계수 를 4개의 진동수 영역에 대하여 평균을 구하여 Table 3에 비교하여 나타내었다. 또한, 식 (1)에 나타낸 일본 기준, 식 (4)에 나타낸 미국 기준, Table 1의 한국의 송배전 설계기준에 의한 가속도증폭계수 를 변전소의 높이별로 구한 후 해석으로 구한 가속도증폭계수와 비교하여 나타내었다. 전반적으로는 근거리 지진 에 대한 원거리 지진 의 비가 금오-철골, 신촌-철콘, 쌍문-철콘, 신내 철콘 등 4개의 변전소의 경우에는 약 1.16~1.48 배 크게 나타남을 알 수 있고, 반대로 한남-철골, 성동-철콘, 신김포-철골의 경우에는 비율이 약 0.25 ~ 1.0 배정도 작게 나타난다. 변전소의 가속도증폭계수에 근거리 및 원거리 지진의 특성에 따른 영향이 크게 나타남을 알 수 있고 진동수 영역에 따라서도 민감하게 영향을 받음을 Table 3을 통하여 알 수 있다.
Table 3. Comparison of average value of over several specific frequency range for near-fault and far-filed earthquakes and calculated by using
고진동수 영역을 대부분 포함한 5~30Hz에 대하여 가속도증폭계수의 평균값을 변전소의 높이에 따라 비교하여 Fig. 10에 나타내었다. Fig. 10에서 미국, 일본, 한국의 전력설비 내진설계 기준에 따른 각각의 가속도증폭계수 , , 도 함께 비교하여 나타내었다. 와 는 변전소의 높이에 따라 선형적으로 가속도 증폭계수가 증가하는 것을 나타내고, 는 2층과 3층에 가속도증폭계수로 2를 적용하고 그 이상의 층의 별도의 동적해석으로부터 가속도증폭계수를 구하여 적용하게 되어 있다. 가 보다는 를 해석에 의한 가속도증폭계수에 비하여 약간 크게 평가하나 높이에 따른 선형적인 증가로 인해 설계의 목적으로 사용하기에 적절하다고 판단된다. Fig. 10(a)에 나타낸 금오-철골 변전소에 대해서는 보다 , 가 전반적으로 보수적인 평가결과를 나타내고, 원거리 지진에 대한 는 3층 이상부터는 보다는 크고 보다는 작은 값을 나타낸다. 근거리 지진과 원거리 지진에 대한 해석결과를 전부 고려하여 평균한 는 보다 약간 작으면서 변전소 높이에 따른 선형적인 증가 특성을 나타내고 있다. 금오-철골 변전소에 대해서는 가 와 가장 비슷한 결과를 나타냄을 알 수 있다. Fig. 10(b)에 나타낸 신촌-철콘의 경우에는 5층을 제외한 4층 이하의 모든 층에 대하여 가 , 보다 크게 평가됨을 알 수 있다. Fig. 10(c)에 나타낸 쌍문-철콘의 경우에는 근거리 지진에 대한 2층을 제외한 모든 층에 대하여 가 , , 보다 전반적으로 50% 정도로 과소 평가됨을 알 수 있다. Fig. 10(d)에 나타낸 한남-철골의 경우에는 가 , , 보다 전반적으로 20~50% 정도로 과소 평가되지만, 변전소 높이에 따른 선형적인 증가의 경향이 뚜렷하게 나타난다. Fig. 10(e~f)에 나타낸 신내-철콘, 성동-철콘, 신김포-철골은 저층인 2~3층의 는 , , 보다 과대평가되고, 4~6층의 는 , , 보다 과소평가되는 경향을 나타낸다. 가속도 증폭계수 에 대한 층별 질량 분포의 영향을 분석하기 위하여 변전소 별로 각 층에 해당하는 구조체와 전력설비의 질량을 합하여 각 층별 질량의 합으로 Fig. 11에 나타내었다. 질량분포가 변전소 높이에 따라서 비교적 불규칙한 경우가 신내-철콘, 성동-철콘, 신김포-철골이며 이 경우에 저층에서의 가속도 증폭계수가 크게 나타나는 경향과 일치하므로 변전소 구조물의 높이에 따른 질량분포가 불규칙적일수록 가속도증폭계수의 높이에 따른 선형적으로 증가한다는 일반적인 경향을 위배하여 특정한 층에 가속도증폭계수를 다른 층에 비하여 과도하게 증폭시킬수 있음을 알 수 있다. 본 연구에서 해석에 의한 를 7개 변전소 구조물에 종합적으로 분석하여 국내 변전소에 적합한 가속도 증폭계수를 다음과 같이 제안한다.
| $$\alpha_{proposed}=1+\frac95\frac hH$$ | (5) |
여기서, 는 구조물의 지상부분의 총 높이, 는 전력설비가 설치되는 위치의 높이이다.
5. 결 론
국내 변전소를 대표적으로 7가지 구조형식으로 분류하고 7가지 변전소 구조물에 대하여 근거리 지진과 원거리 지진을 사용하여 내부-구조물 응답스펙트럼을 작성하고 이로부터 변전소 구조물의 높이에 따른 가속도 증폭계수 를 산정하여 다음과 같은 결론을 얻었다.
1) 철골 구조의 변전소인 금오-철골, 한남-철골, 신김포 철골은 가속도 증폭계수 가 1~3Hz 부근에서 최대치를 나타내고, 철콘 구조의 4개 변전소의 경우에는 가속도 증폭계수 가 대략 5~20Hz 부근에서 최대치를 나타냄을 알 수 있다. 이는 변전소 구조물의 첫 번째 진동모드의 고유진동수와 유사한 경향을 나타냄을 알 수 있다.
2) 근거리 지진보다 원거리 지진의 경우가 10Hz 이상의 고진동수 영역에서 가속도 증폭계수 가 보다 크게 나타남을 알 수 있다. 이는 원거리 지진이 근거리 지진보다 고진동수 성분이 강하게 나타나는 경향과 일치함을 알 수 있다.
3) 근거리 지진에 대한 원거리 지진의 경우가 가속도 증폭계수 의 비율이 금오-철골, 신촌-철콘, 쌍문-철콘, 신내 철콘 등 4개의 변전소의 경우에는 약 1.16~1.48배 크게 나타남을 알 수 있고, 반대로 한남-철골, 성동-철콘, 신김포-철골의 경우에는 비율이 약 0.25~1.0배정도 작게 나타난다.
4) 미국, 일본의 전력설비 내진설계 기준에 따른 각각의 증폭계수 , 는 변전소의 가속도 증폭계수를 전반적으로 해석적인 결과에 비하여 크게 평가하며, 변전소의 구조형식과 지진의 특성에 따라 해석적인 가속도 증폭계수의 변동성이 크므로 , , 를 설계변수로 사용할 때 변전소의 구조형식과 변전소 건설 위치의 지진특성을 고려하여 신중하게 적용할 필요가 있다.













