1. 서 론
원자력발전소(이하, 원전)의 기기에 대한 안전성은 지진취약도법을 이용하여 평가하고 있다. 기기의 지진취약도 평가시 구조물을 통해서 전달된 입력하중(기기가 위치한 층가속도응답)은 중요한 변수가 된다. Sewell 등(1986)에 의하면 층응답은 구조부재의 이력모델, 구조물의 연성도, 입력지진동 그리고 구조물의 감쇠와 같이 다양한 변수들에 의하여 영향을 받는 것으로 보고하였다. 그 중 중요한 변수중 하나는 구조물의 비선형거동이다. 구조물의 비선형거동에 따라 층응답은 변화될 수 있기 때문에 기기의 현실적인 응답 평가를 위해서 구조물의 비선형거동을 고려해야 한다.
해석적으로 구조물의 비선형거동을 고려하기 위해서는 비선형해석을 직접 수행하는 것이 가장 정확한 방법이다. 그러나 비선형해석의 경우 해석법의 복잡함 때문에 기존의 연구는 대부분 선형해석에 의한 층응답스펙트럼(Floor response spectrum, FRS)을 작성한 후 구조물의 비선형성을 고려할 수 있도록 증폭/증감계수를 적용하는 방향으로 진행되었다.
원전의 기기들에 대한 기존의 지진취약도는 일반적으로 미국전력연구소에서 발간한 보고서에서 제시된 방법을(EPRI, 1994)을 적용하고 있다. 이 방법에서는 기기의 지진취약도 평가시 구조물의 비선형거동을 고려하기 위하여 비탄성구조응답계수를 적용하여 왔다. 이 방법은 오직 구조물의 높이에 따른 층응답의 증폭을 고려하기 위하여 기기의 위치에 따라 층응답의 증폭계수에 대한 불확실성을 다르게 적용하고 있다. 그러나 기기의 응답은 구조물의 비선형거동과 기기의 진동수에 따라 다르게 나타난다. 따라서 기존방법으로 기기들의 지진취약도 평가를 수행할 경우 일부 기기들은 실제보다 지진 안전성이 과대평가 될 수 있는 문제점을 가지고 있다.
Singh 등(1993), Lin 등(1985) 그리고 Kennedy 등(1981)에 의하면 구조물의 비선형거동에 의하여 기기들의 가속도 응답은 대부분 감소하는 것으로 나타났다.
Sewell 등(1986), Wesley와 Hashimoto(1981)는 구조물의 다양한 위치에서 선형층응답스펙트럼과 비선형층응답스펙트럼을 비교하여 구조물의 비선형거동에 의한 응답의 변화를 분석하였으며, 해석결과 FRS의 고진동수영역에서 스펙트럼 가속도가 증가하였다.
기존의 연구결과에서 나타나듯이 구조물의 비선형성, 기기의 진동수, 기기의 감쇠 그리고 층의 높이에 따라 층응답은 영향을 받지만 원전 기기의 지진취약도 평가시 이러한 변수들 중 일부는 고려하지 못하고 있다. 따라서 기기의 지진취약도를 현실적으로 평가하기 위해서 기기와 구조물의 동특성을 고려한 비탄성구조응답계수를 재평가할 필요가 있다.
본 연구에서는 EPRI(1994)에서 제시된 지진취약도 평가법을 보완하기 위하여 비선형해석을 직접 수행하여 구조물의 비탄성구조응답계수를 산정하였다. 산정된 계수는 기존 평가법으로 평가된 계수와 비교하여 보수성을 평가하고 예제 기기에 대한 지진취약도 평가를 수행하여 지진성능에 어느 정도 차이가 발생하는지 확인하였다.
2. 기기의 지진취약도 평가를 위한 비탄성구조응답계수
2.1 Kennedy 방법
원전의 구조물과 기기들에 대한 지진취약도 평가를 정교한 방법으로 수행하는 것은 많은 노력을 요구한다. 그래서 현재 원전의 지진취약도 평가는 안전계수를 적용한 Kennedy방법을 보편적으로 많이 사용하고 있다. 흔히 이 방법을 Zion방법 혹은 안전계수법이라고 알려져 있다.
Kennedy 방법은 기기의 성능, 기기의 응답 그리고 구조물의 응답과 관련된 안전계수들을 적용하여 기기의 중앙값 성능을 산정한다. 안전계수는 성능과 응답의 보수성을 나타내는 인자로 선형해석의 결과와 기기의 설계자료 그리고 EPRI 보고서에 제시된 중앙값을 적용하여 식 (1)과 같이 간단하게 산정할 수 있다.
여기서, FC는 기기의 성능계수, FES는 기기의 응답계수, FRS는 구조물의 응답계수를 나타낸다.
각각의 안전계수와 설계시 안전정지지진(safe shutdown earthquake, SSE)을 곱하여 기기의 중앙값 성능(Am)이 산정된다. 그리고 각 계수들의 불확실성을 SRSS조합하여 βR과 βU를 산정할 수 있다. 이 값들을 이용하여 식 (2)와 같이 주어진 지진 “a”에서 기기의 파괴확률 “Pf”를 산정할 수 있다.
Fig. 1은 Kennedy 방법을 이용한 원전 기기들의 중앙값 성능을 산정하는 과정을 나타낸다. 구조물의 비탄성거동은 기기의 응답에 영향을 미치기 때문에 기기의 지진취약도 평가시 비탄성구조응답계수는 응답계수로 고려된다.
Kennedy 방법에서 구조물의 비탄성구조응답계수는 기기의 파괴를 발생시키는 지반운동 수준에서 구조물의 비선형거동 유무에 따라 결정된다.
디아블로 캐년 원전의 확률론적 지진안전성평가(seismic probabilistic risk assessment, SPRA)에서는 비선형해석을 수행하지 않았기 때문에 비탄성구조응답계수의 중앙값을 1로 가정하고 구조물의 중력중심 혹은 그 이상의 위치에 대해서는 구조물의 비탄성구조응답계수의 변동성을 βc=0.2로 적용하였다. 기초에서는 구조물에 의한 영향이 매우 작거나 없기 때문에 이 값을 “0”으로 사용하였다. 기초와 중력중심사이에서는 층응답의 증폭을 고려하여 선형보간하여 비탄성구조응답계수의 대수표준편차를 산정하였다. Kennedy 방법의 비탄성구조응답계수는 기본적으로 구조물이 선형거동하는 조건에서 개발된 계수로 비선형거동을 하는 구조물의 응답과 차이가 발생할 수 있다. 그래서 EPRI(1994)에서도 구조물의 비선형거동에 의한 스펙트럼 탁월진동수의 이동을 고려해서 평가할 것을 권고하고 있으며, 이러한 경우 안전계수법 대신에 비선형해석을 수행하여 층응답스펙트럼을 직접 작성할 수 있다고 보고하고 있다.
2.2 JAERI 방법
Kennedy 방법은 성능과 응답에 대한 보수성을 계수로 표현하여 간단하게 지진취약도 평가를 수행할 수 있는 방법으로 매우 효율적이지만, 비선형거동에 의한 구조물의 복합적인 거동을 정확하게 구현하기에는 한계가 있다. 이를 보완하기 위하여 일본원자력연구원(japan atomic energy research institute, JAERI)에서는 Fig. 2와 같이 비선형해석과 안전계수를 조합한 방법을 제시하였다.
JAERI 방법에서는 먼저 기기의 성능은 Kennedy 방법과 동일하게 산정한다. 기기들의 응답계수는 기기의 설치장소와 구조물과 연결성을 고려하여 구분한 후 산정하다. 기기의 응답계수는 기기의 모델링계수, 감쇠계수, 스펙트럼형상계수가 포함된다. 구조물의 응답은 Kennedy 방법과 다르게 비선형해석을 직접 수행한 후 비탄성구조응답보정계수를 산정한다. 물론 수많은 비선형해석을 수행하여 직접 구조물과 기기들의 지진취약도를 평가하는 방법이 결과의 정확도가 높지만 해석의 효율성이 감소하기 때문에 JAERI 방법에서는 DBE수준의 지진과 설계수준을 초과하는 지진을 포함하여 최소 5개의 지진에 대한 비선형해석을 수행하도록 하고 있다. 선형해석과 비선형해석에 의한 응답비(비탄성구조응답보정계수)를 선형응답에 반영하여 구조물의 비선형거동을 고려하고 있다.
3. 비선형 시간이력 해석방법 및 이력모델
3.1해석방법 및 가정사항
본 연구에서는 예제모델에 대한 비선형해석을 직접 수행하여 비탄성구조응답계수를 산정하고 Kennedy 방법에서 제시된 계수와 비교?분석하였다. 해석방법은 다음과 같다.
- 예제모델의 비선형이력모델 작성
- 비선형 시간이력 해석/선형 시간이력 해석 수행
- 층응답스펙트럼작성
- 비탄성구조응답계수의 중앙값, 대수표준편차 산정
- Kennedy 방법에서 제시된 계수와 비교분석
본 연구에서는 구조물의 비선형거동으로 인한 응답변화를 분석하는 것이 목적이기 때문에 지반의 비선형거동은 응답의 분석에서 배제하였다. 이러한 이유로 지반의 경계조건을 완전고정으로 가정하였다. 다자유도 모델의 경우 단자유도 모델의 조건과 동일한 조건에서 위치별 FRS를 측정하기 위하여 모든 층의 강성과 질량을 동일하다고 가정하였다. 기기의 질량은 구조물의 질량과 비교하여 매우 작기 때문에 무시하였다. 구조물의 비선형거동을 하더라도 기기는 선형거동하는 것으로 가정하였다.
3.2 해석모델과 이력모델
본 연구에서는 원전구조물의 격납건물과 보조건물의 진동수와 유사한 4Hz, 8Hz의 집중질량 모델을 Fig. 3과 같이 작성하였다. 그리고 기기의 위치에 따른 비탄성구조응답계수를 분석하기 위하여 단자유도 모델과 다자유도 모델을 작성하였다.
구조물의 층수와 고유진동수에 따라 해석모델은 Table 1과 같이 4가지 경우로 구분하였다.
원전구조물은 대부분 철근콘크리트 전단벽으로 구성되어 있다. 철근콘크리트 전단벽은 횡저항 능력이 매우 우수한 요소이다. 그러나 횡하중이 벽체의 균열하중을 초과하게 되면 벽체에 대각 균열이 발생하고, 지진하중과 같이 반복하중이 작용할 경우 균열의 열림과 닫힘에 의하여 Fig. 4와 같이 핀칭효과가 발생한다. 따라서 철근콘크리트 전단벽의 비선형거동을 고려할 경우 핀칭효과를 구현할 수 있는 프로그램의 사용이 필요하다. 본 연구에서는 OpenSees(Mazzoni, 2005)에서 제공하는 Hystersis 모델을 사용하여 균열강도, 최대강도 그리고 핀칭효과를 고려하였다.
동일한 층이라도 기기의 동특성에 따라 기기에 입력되는 응답은 변할 수 있다. 그래서 기기의 진동수에 따라 기기들을 구분하였다. 기기의 진동수가 구조물의 진동수보다 작을 경우, 구조물의 진동수와 같을 경우 그리고 구조물의 진동수보다 클 경우로 구분하였으며, 각 그룹별 대표 기기들을 Table 2에 나타내었다. 기기를 진동수에 따라 구분함으로써 본 연구에서는 Kennedy 방법에서 고려하지 못한 기기의 진동수를 함께 고려하여 비탄성구조응답계수를 평가하였다.
3.3 입력지진동
입력지진동은 Table 3과 같이 강진지속기간(TD)을 고려하여 9개의 계측지진과 NRC reg. 1.60에서 제시한 표준설계응답스펙트럼에 따라 작성한 1개의 인공지진을 선택하였다. 입력지진의 최대가속도는 0.2로 정규화하였다. Fig. 5는 입력지진동의 가속도스펙트럼을 나타낸다. 회색 선은 10개의 입력지진동을 나타내며, 붉은색 선은 10개 입력지진동의 중앙값을 나타낸다.
Table 3
Characteristic of input ground motion
4. 해석결과
4.1 층응답스펙트럼(floor response spectrum, FRS)
지진시 기기의 응답은 구조물의 FRS로 부터 산정된다. 구조물의 비선형성에 따라 구조물의 FRS는 달라진다. Fig. 6은 1F_4H모델의 선형해석과 비선형해석에 의한 FRS를 나타낸다. 지진하중이 균열강도를 초과할 경우 철근콘크리트 전단벽 구조물에는 균열이 발생하고, 균열이 발생하면 벽체의 강성이 감소하게 된다. 그 결과 Fig. 6의 (a)와 (b)처럼 FRS의 탁월진동수는 저진동수 영역으로 이동하기 때문에 구조물의 진동수대역보다 작을 경우 비선형응답이 선형응답보다 증가하는 것으로 나타났다. Fig. 6의 (b)에서 비선형해석에 의한 영주기가속도(zero period acceleration, ZPA)가 선형해석에 의한 ZPA 보다 크게 나타나는 이유는 입력지진스펙트럼의 형상에 의하여 결정된 것으로 판단된다. Parkfield 지진의 경우 구조물의 선형진동수 대역과 비선형진동수 대역에서 응답을 비교하면 비선형거동에 의한 진동수 감소로 인하여 응답이 증가한다. 따라서 비선형거동에 의한 FRS의 증감은 입력지진동의 스펙트럼 형상에 따라 영향을 받는 것을 알 수 있다.
본 연구에서는 구조물의 국부비선형에 의한 FRS를 함께 분석하기 위하여 다자유도 구조물의 비선형해석을 함께 수행하였다. Fig. 7은 10F_4H 모델의 FRS를 1층, 4층, 7층 그리고 10층에 따라 나타내었다. 해석결과에 의하면 선형응답의 경우 FRS는 구조물에서 위치가 증가할수록 증가하는 것을 알 수 있다. 그러나 모든 입력지진에 대하여 비선형해석을 수행할 경우 10Hz이상의 진동수 구간에서는 1층의 FRS가 상부층의 FRS보다 크게 나타났다. Nayfeh과 Mook(1979)에 의하면 이러한 현상은 구조물의 내부공진(internal resonance)에 의한 결과로 판단되었다. 구조물의 내부공진은 고차모드의 진동수가 고유진동수의 배수일 때 나타날 수 있으며, 입력지진동 스펙트럼의 탁월진동수가 구조물의 고유진동수에 있을 경우 그리고 모드 상호작용에 의하여 나타날 수 있다고 보고하였다.
4.2 비탄성구조응답계수(Inelastic structural response factor, ISRF)
비탄성구조응답계수는 선형해석시 구조물의 비선형응답을 보정하기 위한 계수로써 가속도응답수정계수, 보수성 계수, 증폭계수, 층응답스펙트럼비(floor response spectrum ratio, FRSR), 응답감소계수 등으로 불러져 왔다. 본 연구에서는 Sewel 등(1986) 이 사용한 FRSR를 이용하여 비탄성구조응답계수를 평가하였다. Fig. 8과 9는 10개의 입력지진에 대한 FRSR의 중앙값과 대수표준편차를 나타낸 것이다. Fig. 8은 고유진동수가 다른 SDOF에 대한 FRSR를 나타내며, Fig. 9는 10층 4Hz 모델의 연성도가 2일 경우 층별 FRSR를 분석한 결과를 나타낸다. 기기의 고유진동수가 구조물의 고유진동수의 비가 1에 가까울 경우 모든 층에서 계수의 중앙값은 1을 초과하였지만 기기와 구조물의 진동수비가 1.5를 초과할 경우 1층과 4층에서 비탄성구조응답계수는 1보다 작은 값을 나타내었다. 특히 10층 구조물은 1층에서 이 계수의 중앙값이 최소 0.16까지 나타났다.
Fig. 10과 11은 기기의 진동수에 따라 비탄성구조응답계수를 나타낸 것이다. 기기의 진동수에 따라 비탄성구조응답계수는 다르게 나타났다. 따라서 기기 내진성능의 정확성을 증가시키기 위해서 기기의 진동수에 따른 비탄성구조응답계수를 평가할 필요가 있다. Fig. 10과 11은 구조물의 연성도에 따라 비탄성구조응답계수의 중앙값과 대수표준편차를 나타낸 것이다. 그룹 1은 기기의 진동수가 구조물의 진동수보다 작은 경우에 해당하는 경우로써 Fig. 6과 같이 구조물의 비선형거동에 의하여 스펙트럼의 탁월진동수가 저진동수 영역으로 이동하기 때문에 Fig. 10(a)와 같이 비탄성구조응답계수가 1보다 작게 나타났다.
구조물의 연성도가 증가하게 되면 선형해석과 비선형해석에 의한 차이는 점점 증가하게 된다. 그래서 Fig. 10과 11처럼 구조물의 연성도와 함께 비탄성구조응답계수와 대수표준편차는 증가하였다. Fig. 10에 의하면 비탄성구조응답계수는 1~1.47로 나타났으며, 대수표준편차는 Fig. 11과 같이 약 0.1~0.2까지 나타났다.
SDOF의 해석결과에 의하면 Kennedy 방법에서 제시하고 있는 비탄성구조응답계수의 중앙값과 대수표준편차는 보수적으로 나타났다.
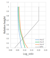
SDOF는 구조물의 다양한 모드를 고려할 수 없다. 그래서 MDOF에 대한 비탄성구조응답계수를 층별로 분석하였다. Fig. 12~15는 MDOF의 비선형해석과 Kennedy 방법에 의한 비탄성구조응답계수를 나타낸 결과이다. 본 연구에서는 구조물에 위치한 기기의 높이를 정규화하기 위하여 가로축을 상대높이로 표현하였으며, 구조물의 비선형성을 고려하기 위하여 구조물의 연성도에 따라 비탄성구조응답계수를 산정하였다.
10F_4H와 10F_8H의 두 모델에서 그룹 1에 대한 중앙값은 1보다 작게 나타났으며, 그룹 2에 대한 중앙값은 모든 층에서 1보다 크게 나타났다. 그룹 3의 경우 중앙값이 저층에서는 1보다 작지만 특정 층을 기준으로 1보다 커지는 현상이 나타났다. 그룹 3과 같이 저층부에서 비탄성구조응답계수의 중앙값이 1보다 작게 나타나는 이유는 Singh 등(1996)의 연구결과에서 나타나듯이 구조물의 비선형거동에 의한 내부공진이 발생하여 지진에 의한 에너지가 고차모드로 이동하기 때문으로 판단된다. 그룹 3에 해당하는 기기의 경우 Kennedy 방법으로 모든 층에 대하여 비탄성구조응답계수의 중앙값을 동일하게 적용하면 기기의 성능이 과대평가/과소평가 될 수 있다.
해석결과에 따르면 비탄성구조응답계수의 중앙값뿐만 아니라 대수표준편차도 기기의 위치에 따라 다르게 나타났다. 그룹 1의 경우 상대높이가 0.3보다 작을 경우 Kennedy 방법에서 제시한 값보다 크게 나타나며, 그룹 2의 경우 모든 층에서 Kennedy 방법에서 제시한 값이 보수적으로 평가되었음을 알 수 있었다. 그룹 3의 경우 상대 높이가 0.4보다 작을 경우 Kennedy 방법에서 제시한 값보다 크게 나타났다.
Kennedy 방법과 본 연구에서 산정된 비탄성구조응답계수의 차이가 발생하는 이유는 Kennedy 방법에서는 비선형거동에 의한 구조물의 층강성의 변화를 고려하지 못하기 때문으로 판단된다. 기본적으로 Kennedy 방법은 구조물의 거동을 선형으로 가정하여 비탄성구조응답계수를 평가하였다. 즉 지진시 모든 층의 강성의 변화가 없다고 가정한다. 그러나 지진에 의하여 구조물의 국부비선형이 발생할 경우 구조물의 층에 따라 층강성의 변화가 나타난다. 이러한 층강성의 변화로 인하여 층응답의 변화가 나타나므로 선형거동에 의한 층응답과 차이가 나타나게 된다.
따라서 구조물의 비선형성, 기기의 위치, 기기의 진동수에 의하여 응답의 변동성이 다르게 나타나므로 기기의 지진성능 평가시 정확한 결과를 도출하기 위하여 Kennedy 방법의 보완이 필요하다.
5. 재평가된 비탄성구조응답계수를 이용한 지진취약도 평가
재평가된 비탄성구조응답계수가 지진취약도 평가에 미치는 영향을 분석하기 위하여 격납건물의 바닥에서 13m에 위치한 Regenerative Heat Exchanger(RHE)를 대상으로 지진취약도 평가를 실시하였다. Fig. 16(a)는 Kennedy 방법에서 제시한 비탄성구조응답계수를 사용한 지진취약도곡선을 나타내며, Fig. 16(b)는 본 연구에서 재평가된 비탄성구조응답계수를 사용한 지진취약도곡선을 나타낸다. Kennedy 방법에서는 비탄성구조응답계수의 중앙값은 “1”이 적용되며, 대수표준편차는 “0.10”이다. 반면 격납건물의 고유진동수가 약 4Hz정도이며, 기기의 위치 13m 그리고 기기의 진동수가 24Hz임을 고려하여 비선형해석에 의하여 비탄성구조응답계수를 재평가하면 중앙값과 대수표준편차는 “0.75”와 “0.13”이다.
기기의 지진취약도 평가를 수행한 결과 Kennedy 방법에 의한 기존계수와 비선형해석에 의한 수정된 계수를 이용하여 HCLPF성능을 산정한 결과 1.30g와 0.96g로 수정 계수를 사용할 경우 약 35%감소하는 것으로 나타났다.
6. 결 론
안전계수법을 적용한 기기의 지진취약도 평가법에는 구조물의 비탄성구조응답을 고려하기 위하여 비탄성구조응답계수가 제시되어 있지만, 현재의 비탄성구조응답계수는 선형해석에 의한 층응답을 기준으로 기기의 위치에 따라 불확실성을 다르게 적용하고 있다. 현실적이고 정확성이 높은 기기의 응답을 분석하기 위하여 본 연구에서는 비선형시간이력해석을 수행한 후 기기의 진동수, 구조물의 동특성 그리고 구조물의 연성도에 따라 비탄성구조응답계수를 재평가하였다.
구조물이 선형거동하면 층가속도응답은 층의 위치가 높아짐에 따라 증가하였지만 구조물이 비선형거동하면 저층부에서 국부비선형이 발생하면서 저층부의 가속도응답이 고층부보다 크게 나타났다. 선형해석과 비선형해석에 의한 FRS를 비교한 결과 기기의 고유진동수에 따라 가속도응답이 달라 질 수 있음을 확인하였고, 특히 기기의 고유진동수가 구조물의 고유진동수보다 클 경우 저층부에서 비탄성구조응답계수는 1보다 작게 나타나기도 하였다. 따라서 기존 Kennedy 방법으로 기기의 지진취약도 평가를 수행할 경우 실제보다 기기의 성능이 과대평가될 수 있다. 따라서 구조물의 고층부에 위치한 기기들은 Kennedy 방법을 적용하더라도 기기의 성능이 보수적으로 평가될 수 있지만, 저층부에 위치한 기기의 현실적인 성능평가를 위해서 비탄성구조응답계수는 비선형해석을 직접 수행하여 산정해야 할 것으로 판단되며, 해석시 기기의 진동수, 구조물의 동특성 그리고 구조물의 연성도를 고려하여 비탄성구조응답계수를 산정해야 할 것이다.




































