1. 서 론
슬로싱(sloshing)과 같은 액체의 동적거동을 측정하거나 제어하는 연구는 다양한 공학 분야에서 활발히 진행되고 있다. 음료, 용융된 금속 등 액체를 다루는 공장에서 액체의 과도한 출렁임은 액체가 밖으로 튀어나와 기계를 손상시키거나 적하 점의 위치 방해를 일으키며, 이는 제품의 품질저하를 발생시킬 위험이 있다(Kenichi et al., 2001; 2002; 2005). 액체를 담은 포장 용기는 액체 유동으로 인한 접촉 부분의 포장 불량을 유발하기 때문에 출렁임에 의한 위험요소를 제거하여 생산성을 높이기 위한 연구를 한다(Mattias et al., 2000; Kazuhiko et al., 2001). 또한 액체 연료 및 수하물을 실은 자동차, 배, 비행기 또는 우주선에서 연료의 흔들림으로 인한 전복을 막기 위한 전복방지장치(rollover protection)의 연구개발 역시 액체의 동적거동을 측정하는 것으로 부터 시작된다(Jan, 2005).
건축물의 사용성 및 안정성 연구에서도 액체의 동적거동 측정이 요구된다. 최근 국내 건설업계에서는 초고층 건물의 수가 증가하는 추세이나 고층화된 건축물일수록 풍진동에 취약하다. 이 때 고층건물의 풍하중에 의한 상시진동을 감소시 키기 위하여 동조액체감쇠기(tuned liquid damper)를 설치 하게 된다(Lee et al., 2012; Kim et al., 2015). 동조액체 감쇠기는 수조 내부 액체의 주기를 건축물 주기에 동조시키고 액체 진동에 의한 관성력을 활용하여 건축물의 동적 응답을 저감시킨다(Min et al., 2015). 수조 내부의 액체는 비선형 거동이 크게 나타나 현장설치 전 반드시 공장 혹은 실험실에서 동적거동을 측정하여 고유진동수, 감쇠비의 파악과 성능검증을 수행해야 한다(Lee et al., 2009; Jang et al., 2014). 설치 후에도 건물의 노후에 따른 동조액체감쇠기의 동적특성을 주기적으로 파악하여 재튜닝하는 것이 중요하다.
접촉식 전기용량 파고계는 액체의 동적거동을 파악하기 위한 센서로 주로 사용되었고 최근에는 접촉식 센서의 한계인 단일 측정으로 인한 고비용성과 센서부착으로 인한 측정 대상의 물리량 변화가 대두되어 비접촉식 비디오 센싱의 연구가 활발히 진행되었다(Kazuaki et al., 2005; Kim et al., 2016). 그러나 비디오 센싱 역시 측정 대상이 투명한 용기 안에 있어야 하는 것과 면외방향의 측정이 불가능함의 한계로 활용이 제한 적이다. 이에 Shin 등(2016)의 연구에서는 레이저 계측장비 중 도플러 효과를 이용하여 대상 물체의 속도와 변위를 측정할 수 있게 만든 도플러 레이저 센서(laser doppler vibrometer, LDV)를 이용하여 액체진동 측정의 방법론을 제시하였다. 기존 선행 연구에서는 LDV 레이저의 파장에 적합한 재료로 코팅된 거울을 사용하여 레이저의 방향을 바꾸어 액체 단일점의 거동을 측정하였다. 레이저의 단일점 측정의 한계는 코팅된 거울 대신 전동모터를 제어하여 거울을 일정한 주기로 움직이게 하는 갈바 노미터스캐너(galvanometer scanner)를 활용하면 해결할 수 있다.
본 연구에서는 LDV와 갈바노미터스캐너를 활용하여 다점의 액체진동을 측정하는 시스템을 구축하고 액체의 4점 동적거동 을 측정하여 기존 비디오 센싱의 결과와 비교, 검증하는 것을 목적으로 한다. 본 논문의 구성으로써 2장에는 동조액체감쇠 기의 액체 거동의 특성을 나타내는 고유진동수 수식과 그에 따른 모드 형상을 나타내었다. 3장에서는 액체의 다점측정을 위한 LDV로 진동을 측정하는 원리와 갈바노미터스캐너를 활용하여 단일 레이저로 다점을 측정하는 원리를 기술하였다. 4장에서는 LDV와 갈바노미터스캐너로 다점측정 시스템을 구현하고 진동대와 동조액체감쇠기 모형을 활용하여 진동 실험을 하였다. 또한 그 결과를 기존에 사용하던 비디오 센싱과 비교하여 본 연구에서 제시한 다점측정 시스템의 정확성 및 타당성을 검증하였다.
2. LDV와 갈바노미터스캐너 시스템
3.1 LDV의 구동원리
LDV는 Fig. 1과 같이 레이저 발생부(laser emitter), 반투과부(semitransparent mirror), 반사부(fixed mirror), 감지부(detector)로 구성된다. LDV에서 주사된 레이저는 갈바노미터스캐너에 반사되어 측정하고자 하는 대상 액체에 도달하여 대상 액체의 움직임을 측정한다(Hani et al., 2005; Kim et al., 2013).
LDV의 면외방향 동적 변위와 속도데이터를 획득하는 방법은 다음과 같다. 정현파형 레이저빔을 움직이는 대상 물체에 주사 하면, 정현파에 도플러 효과로 인해 주파수가 변조되고 Fig. 2와 같이 변조된 반사파(modulated wave)가 변조 전 원래의 레이저빔(original wave)과 합쳐져 맥놀이신호(beating wave) 가 된다. 맥놀이신호를 식으로 나타내면 다음과 같다(Kim et al., 2015). (1)
여기서, φm (t) 을 추출하면 시간에 따른 물체의 움직임을 알 수 있다. φm (t)은 uc(t) 에 주파수가 변조되지 않은 원래의 레이저 광선을 곱하고 저역통과필터(lowpass filter)를 통하면 식 (3)과 같은 코사인, 사인파형으로 φ m (t) 을 분리시킬 수 있다. 그 후 아크탄젠트(arctangent)를 이용하여 φm (t) 을 추출한다 (Abellán et al., 2006; Kim et al., 2014; 2016).(2)
3.2 갈바노미터스캐너 구동원리
갈바노미터스캐너는 거울에 서보모터를 장착하고 서보모터 에 신호를 입력하여 일정한 각도와 속도로 거울을 회전시킬 수 있도록 만든 장비이다. 레이저와 연동하여 사용할 경우 레이저 의 주사방향을 바꿔주어 하나의 레이저로 다점의 레이저 스캐 닝이 가능하다.
갈바노미터스캐너와 레이저가 결합된 스캐닝 시스템은 Fig. 3과 같다. n개의 모드를 확인하기 위해 n+1의 계단함수 (step function)를 생성하여 갈바노미터스캐너의 서보모터에 입력하고 일정한 주파수로 회전시키면 갈바노미터스캐너의 거울은 1, 2, …, n+1의 순서대로 움직이게 된다. 움직이는 거울에 레이저 포인트를 주사시키면 거울에 반사되는 레이저가 측정하고자 하는 위치로 움직이며 데이터를 취득한다. 계단함 수의 특성으로 거울이 회전한 뒤 잠시 멈추게 되는데 이 때 측정되는 데이터가 해당 위치의 측정하고자 하는 데이터다. 위 과정을 반복한 후 같은 위치의 데이터를 각각 분리하면 해당 위치에서의 시간영역 데이터를 취득할 수 있다. 이 때 갈바노미터스캐너의 일정한 회전 주파수는 분리된 시간영역 데이터의 측정 주파수가 된다.
LDV에서 측정되는 원시데이터의 예는 Fig. 4와 같다. 갈 바노미터스캐너는 입력된 주파수로 n+1개의 파고를 측정 하기 위하여 매우 빠른 속도로 움직이기 때문에 스텝함수로 측정되는 데이터 외에 스파이크 노이즈(spike noise)가 발생 한다. 스파이크 노이즈가 발생한 후 안정된 구간의 데이터가 대상 위치의 진동 데이터다.
4. 시스템 구축 및 실험
4.1 시스템 구축
LDV와 갈바노미터스캐너를 이용한 레이저 스캐닝을 위하여 동조액체감쇠기 모형을 이용하여 실험 시스템을 구축하였다. 본 실험에서 사용한 LDV는 POLYTEC사의 PDV-100으로 633nm의 파장을 사용하여 대상 물체의 속도를 측정한다. 그에 따라 400~750nm 대역의 가시광선을 반사하는 알루미늄 코팅된 ThorLAB사의 갈바노미터스캐너 GVS211이 사용 되었다. 실험실 규모의 동조액체감쇠기 모형은 1cm두께의 아크릴 플레이트로 제작되었으며 길이, 폭, 높이는 20×30× 20cm이고 적색 염료가 혼합된 액체가 2cm 담겨있다.
AC서보모터(HC-SFS502, MITSUBISHI)로 구동되는 1축 진동대(shake table) 위에 동조액체감쇠기를 설치한 후 진동실험을 하였다. 얕은 액체의 파의 이론에 의거하여 동조액 체감쇠기의 1~3차 고유진동수는 각각 1.09, 2.08, 2.94Hz로 이를 모두 포함하도록 진동대를 0.5Hz~3.5Hz까지의 변조 주파 신호(chirp signal)로 400초 동안 가진하였다. Fig. 5
동조액체감쇠기의 1~3차 모드 형상을 추출하기 위하여 4점 측정을 하였다. 4점의 액체 진동을 측정하기 위해 4계단으로 이루어진 계단함수를 생성하였고 최대 3.5Hz에 대한 진동 신호를 측정하기 위한 나이퀴스트 주파수(nyquist frequency) 를 고려하여 12Hz로 갈바노미터스캐너를 회전시켰다. 따라서 각 점 사이의 시간 딜레이는 1/48초이며 각 위치별 시간영역 데이터의 샘플링 주파수는 12Hz다.
위와 같이 세팅 후 LDV와 갈바노미터스캐너를 구동시키면 첫 번째 점부터 네 번째 점까지 12Hz로 레이저 스캐닝이 진행 된다. 갈바노미터스캐너의 속도가 매우 빨라 Fig. 6처럼 마치 4개의 레이저를 주사한 것과 같이 동시에 4개의 레이저 포인 트를 확인할 수 있다.
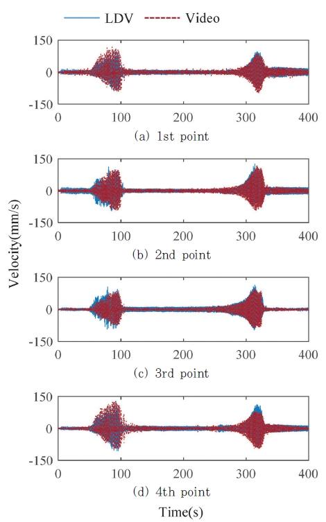
측정 시스템의 정확성을 검증하기 위해 기존 사용하던 비디오 센싱과 비교하였다. 비디오카메라는 삼성사의 HMX-QF20로 60fps, 1920×1080 픽셀의 풀HD 영상을 획득할 수 있다. 취득되는 측정 데이터는 MPEG 파일로 매트랩을 이용하여 영상분석을 진행하였다. 분석을 통해 획득된 데이터는 변위 데이터이므로 수치 미분하여 속도로 변환한 뒤 LDV의 속도 데이터와 비교, 검증하였다.
4.2 레이저 스캐닝을 통한 데이터 측정
본 레이저 스캐닝 실험을 통해 LDV에 측정된 원본데이터의 일부가 Fig. 7에 제시되어 있다. 측정하고자 하는 4점의 액체 진동 데이터와 12Hz의 4계단으로 회전하는 갈바노미터의 노이즈를 동시에 포함하고 있어 노이즈를 제거하고 진동 데이 터를 추출하는 작업이 필요하다.
이 중 82초부터 82.2초까지 0.2초 부분을 확대한 그래프가 Fig. 8에 제시되어 있다. 갈바노미터 스캐너가 첫번째 점부터 네번째 점까지 스캐닝한 뒤 다시 첫번째 점으로 돌아올 때 레이저가 가장 먼 거리를 이동하므로 노이즈의 최댓값이 발생 하였다. 노이즈의 최댓값을 기준으로 다음에 나오는 4개의 평평한 데이터가 측정하고자 하는 4점의 진동 데이터다. 이와 같이 노이즈의 최댓값과 4점의 데이터가 연속해서 나오므로 이 중 각 위치의 데이터만을 각각 추출하여 각기 측정된 4점의 진동데이터를 분리한다. 각 점의 시간 간격은 갈바노미터스캐 너에 입력한 대로 1/48초이고 추출하고 난 다음의 각 점의 시간 간격은 1/12초다.
4.3 위치별 진동 데이터 추출
LDV에서 4점의 액체 진동 데이터를 각각 추출하여 비디오 센싱 데이터와 비교한 그래프가 Fig. 9 제시되어 있다. 400초 동안 2번의 심한 출렁임이 발생하였고 가진 변조주파 신호의 시간에 따른 주파수와 동조액체감쇠기의 고유진동수 비교를 비교하였다. 다음은 변조주파 신호의 변형식이다.
여기서, x는 도출하고자 하는 가진 진동수의 시간, f0는 변조 주파 신호의 처음 주파수인 0.5Hz, f1은 변조주파 신호의 최종 주파수인 3.5Hz, t는 변조주파 신호를 가진한 시간 400초 이다. 확인하고자 하는 고유진동수는 다음 식을 통해 취득할 수 있다(Mattias, 1998).
여기서, L 은 수조의 폭, H 는 액체의 높이, n은 고유진동수의 차수이다. fn은 n에 따른 확인하고자 하는 고유진동수이다. 식 (4)를 통해 나온 1.09, 2.08, 2.94Hz를 식 (3)의 fn에 대입하면 79, 211, 320초에서 1, 2, 3차 고유진동수로 가진 했음을 알 수 있다. 따라서 400초 동안 발생한 2번의 심한 출렁임은 1, 3차 고유진동수에서 발생한 출렁임인 것을 확인 하였다.
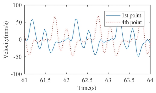
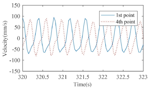
다음은 시간영역 데이터를 확대하여 비디오 센싱의 화면과 비교하여 LDV로 측정한 데이터의 타당성을 검증하였다. 변조 주파 신호가 50초 이후에 특정 주파수에 도달하자 Fig. 10과 같이 출렁임이 시작되었다. 1차 고유진동수의 주파수로 가진 되는 79초가 되기 전에 발생한 출렁임으로 한 개 이상의 주파 수가 섞인 파고가 측정되었으며, 첫 번째 측정지점의 피크점이 네 번째 측정지점의 피크점으로 옮겨가는 파형을 보인다. 이는 표면의 파고가 좌우로 진행하는 진행파(traveling wave)가 발생하였다고 판단할 수 있다. 그에 따른 비디오 센싱의 화면이 Fig. 11에 제시되어 있다. LDV의 시간 영역 데이터와 마찬 가지로 Fig. 11(a)와 같이 왼쪽 벽에서 발생한 파고가 Fig. 11(b)와 같이 오른쪽 벽으로 이동하는 모습을 확인하였다.
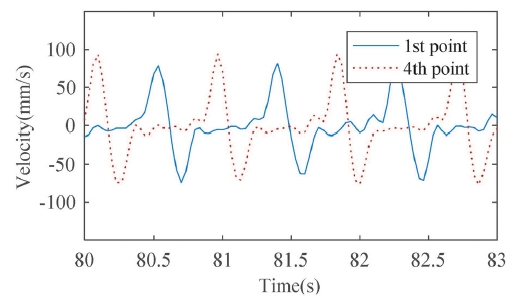
특정 변조주파 신호의 가진으로 진행파가 반복되다 1차 고유 진동수의 주파수로 가진되는 79초 이후에는 Fig. 12와 같이 한 개의 피크점이 첫 번째 측정지점과 네 번째 측정지점에서 반복되어 발생하는 파형을 보인다. 이는 가진 주파수가 동조액 체감쇠기의 1차 고유진동수에 동조되어 앞서 발생한 진행파가 정상파(standing wave)로 변화한 것이다. 한 개의 주파수로 이루어진 파고가 측정되었으며, 첫 번째 측정지점과 네 번째 측정지점에서 번갈아 피크점이 발생하는 것은 진행파의 파형과 확연한 차이를 보인다. 고체인 경우 고유진동수에서 측정지점의 양 끝단이 완벽히 180〫의 위상을 이루는 것과 반면에 액체의 경우 비선형성으로 인한 정상파의 지연이 발생하여 위상차를 보인다. Fig. 13의 80초대의 비디오 센싱 화면은 동조액체 감쇠기의 좌, 우에서 번갈아가며 피크점이 발생하는 액체의 1차모드 형상을 보인다.
3차 고유진동수의 주파수인 2.94Hz로 가진되는 320초 구간은 1차 고유진동수와 마찬가지로 먼저 진행파가 생성된 후에 Fig. 14와 같이 정상파를 이루었다. 3차 고유진동수의 정상파는 1차 고유진동수에서 발생한 정상파와 달리 첫 번째 측정 지점과 네 번째 측정 지점의 지연이 발생하지 않고 180〫의 위상 차이를 보였다. Fig. 15의 비디오 센싱 화면 역시 이론상의 3차 모드 형상과 같은 모습으로 액체가 진동한 것을 확인하였다.
4.4 고유진동수와 모드
LDV와 갈바노미터스캐너로부터 측정된 4점의 시간영역 데이터로 특이값 분해(singular value decomposition)를 하여 고유진동수에 따른 모드형상을 추출하였다. 모드는 동시에 거동하는 형상이기 때문에 각 데이터의 1/48초 측정 딜레이는 모드를 추출하기에 불리하다. 따라서 각 위치별 데이터의 상호 상관(cross corelation)을 취하여 확률론적으로 측정 딜레이를 제거하였다(William et al., 1983). 반면에 비디오 센싱 데이터는 시간 딜레이가 없으므로 상호 상관을 취하지 않고 특이값 분해를 하여 LDV 데이터의 특이값과 비교하였다.
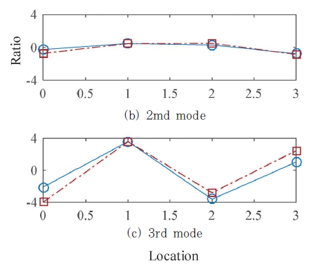
Fig. 16은 상관관계를 취한 LDV 데이터의 특이값과 비디오 센싱 데이터의 특이값이다. 두 데이터 모두 1.12, 2.27, 2.84 Hz의 총 3개 피크점이 나타났고 이는 이론 고유진동수 1.09, 2.08, 2.94Hz와 일치하는 것을 확인하였다.
1~3차 고유진동수에 따른 모드형상은 각각 Figs. 17(a)~ (c)에 제시되어 있다. 두 데이터의 모드형상이 일치하였고 이론 상의 모드형상과도 같음을 확인하였다.

Figs 17
Mode shapes extracted from singular value decomposition: (a) First Mode (b) Second mode (c) Third mode
앞서 각 점의 시간영역 데이터 분석 중 2차 고유진동수로 가진하는 211초 구간에서는 2차 모드형상이 나타나지 않았지만 특이값 분해에서는 추출되었다. 이는 비선형에 기인한 현상으로 액체는 횡방향 가진시 유체의 흐름이 중심을 기준으로 대칭을 이뤄 좌우 대칭인 모드가 발생하지 않는다. 하지만 1차고유진 동수의 진동수로 가진할 때 비선형성에 의해 타 고유진동수와 모드형상이 혼합된다(Jung et al., 2015). 따라서 특이값 분해에서 추출된 2차 모드형상은 211초 구간에서 발생된 것이 아니라 1차 고유진동수 가진 시간인 79초 영역에 1차 모드 형상과 혼합되어 발생한 것임을 알 수 있다.
5. 결 론
본 연구에서는 기존 접촉식 파고 센서의 단일측정으로 인한 고비용성, 장시간 사용시 측정값의 변동, 비접촉식 비디오 센서의 면외 방향 측정 불가 등의 단점을 극복하기 위하여 고체 진동계측분야에서 광범위하게 사용되고 있는 레이저진동계 (LDV)와 갈바노미터스캐너를 활용하여 동조액체감쇠기 내의 액체거동 측정방법론을 제안하였다. 갈바노미터스캐너를 활용 하여 LDV의 단일 레이저 포인터로 다점 스캐닝 측정 시스템을 구축하고 동조액체감쇠기 내의 4점의 액체 진동을 측정하여 각 점의 시간영역 데이터를 비디오 센싱 데이터와 비교함으로써 본 연구에서 제시한 시스템의 타당성을 증명하였고 액체 진동 데이터의 파형을 분석하여 진행파 및 정상파를 구별할 수 있음을 확인하였다.
갈바노미터스캐너에 의해 스캐닝되어 측정 딜레이가 있는 데이터의 모드 추출은 상호 상관을 취함으로써 측정 딜레이를 확률론적으로 제거할 수 있고 그에 따른 특이값 분해 결과, 고유 진동수와 모드형상이 이론 및 기존 비디오 센싱의 결과와 일치 함을 확인하였다.


















