1. 서 론
2. 유한요소모델 및 해석
2.1 유한요소모델 구축
2.2 수치이론 모델
2.3 재료 정수 및 하중·경계 조건
3. 수치해석 결과
3.1 수치해석 시나리오 선정
3.2 수치해석 결과 및 고찰
4. 결 론
1. 서 론
복부대동맥류는 여러 가지 요인들에 의해 대동맥의 직경이 확장되는 것을 말하며, 지속적으로 직경이 확장되어 결국 대동맥이 파열됨으로써 사망에 이르게 되는 매우 위험한 질병이다. 대부분의 복부대동맥류는 무증상으로 발생하고, 그 원인으로는 흡연, 고혈압, 유전적 원인 등이 있다. 이러한 복부대동맥류는 일반적으로 정상인의 대동맥 직경의 50% 또는 3cm 이상으로 증가하거나 증상이 있는 경우에 판정하고 있다(Lederle et al., 1994). 하지만, 대동맥 직경이 5.5cm 이하인 경우에도 대동맥이 파열되는 점을 미루어 보아 파열되는 요인으로는 직경 외에도 다른 요인들의 영향이 있음을 알 수 있다. 그리하여 지난 몇 년간 다른 요인 및 파열의 예측을 조사하기 위해 많은 연구기관에서 유한요소해석 기반으로 하는 여러 연구들이 진행되었다.
대표적으로 Fillinger 등(2003)은 시간 경과에 따른 복부대동맥류에서의 파열 위험성을 분석하기 위해 159개의 환자 CT 데이터를 확보 및 분석하였으며, 이를 기반으로 유한요소해석을 진행하였다. 특히, 이들은 평균 1년 동안 어떠한 약물 치료도 수행하지 않고 42명의 환자들을 관찰하였고, 이들을 대상으로 연구가 수행되었으며, 그 결과로 환자들의 대동맥 파열을 평가하는데 사용되는 직경에 대한 최대 혈관 벽 응력들을 도출하였다. 그리하여 그들은 최대 혈관 벽 응력이 복부대동맥류의 파열에서 유의하다는 것을 파악하였다.
또한 Doyle 등(2009)은 벽의 응력과 기하학적 변수 사이의 관계를 추정하기 위해 15개의 환자 CT 데이터를 기반으로 연구를 수행하였다. 그들은 대동맥 직경과 대동맥 비대칭적인 중심선(centerline asymmetry)을 변수로 하여 최대 혈관 벽 응력을 도출하고 비교·분석하였으며, 비대칭적인 중심선을 결정하는 방법을 제안하였다. 그리하여 그들은 대동맥의 후방(posterior) 벽 응력과 복부대동맥류 비대칭 사이의 관계에서 한 쪽 벽의 과도한 팽창이 반대편 표면의 벽 응력을 증가시킨 다는 것을 확인하였다.
Erhart 등(2016)은 복부대동맥류 환자에서 대동맥 파열 위치를 예측하기 위해 13명의 무증상 복부대동맥류 환자와 복부대동맥류 수술을 받은 23명 환자의 CT 데이터를 비교·분석하였다. 그리하여 유한요소해석을 기반으로 최대 혈관 벽 응력, 최대 혈관 벽 파열 위험성(peak wall rupture risk), 파열 위험성 등가 직경(rupture risk equivalent diameters), 혈관 내 혈전 부피(intraluminal thrombus volume) 등을 계산하였다. 그 결과, 파열된 복부대동맥류 군에서의 최대 혈관 벽 파열 위험성과 파열 위험성 등가 직경이 유의하게 높았으며, 그 외에는 통계적 차이가 발견되지 않았다. 또한 파열된 복부대동맥류 군중 7개의 데이터가 최대 혈관 벽 파열 위험성 구역과 관련이 있다는 것을 확인하였다. 그리하여 그들은 유한요소해석을 통해 파열 지점을 예측 가능하다는 것을 발표하기도 하였다.
위와 같은 연구 결과들은 유한요소해석을 활용하여 복부대동맥류에 대한 파열 예측이 가능하다는 것을 보여준다. 하지만 상기 연구들에서는 유한요소모델에서 대동맥 형상과 대동맥의 각 층 그리고 연령에 대한 정보를 고려하지는 못하고 있는 실정이다. 특히, 환자 개개인마다 대동맥의 형상들이 모두 다르기 때문에 환자 별 대동맥의 형상들을 모두 고려해야 한다. 또한 복부대동맥류에 대한 대동맥 파열을 보다 명확하게 예측하기 위해서는 대동맥 각 층의 섬유 방향과 연령에 따른 재료 정수 변화를 고려하여야 한다.
이러한 문제점들을 해결하기 위해 Holzapfel 등(2000)은 대동맥 각 층의 섬유 방향을 고려할 수 있는 모델들을 제안하기 시작하였고 그 중 Gasser-Ogden-Holzapfel(GOH) 모델이 현재 많이 활용되고 있으며, 본 연구에서도 이 구성방정식 모델을 활용하였다(Holzapfel et al., 2000; Gasser et al., 2006; Holzapfel and Ogden, 2010).
따라서 본 연구에서는 GOH 모델의 주요 파라미터인 들의 연령별 변화를 고려하기 위해 선행 연구로부터 도출된 결과들을 활용하였다(Lee et al., 2019; Huh et al., 2019). 나아가 대동백 벽의 각 층, 복부대동맥류 목 각도, 그리고 지름들을 고려하여 모델링 작업을 수행하였고, 이를 활용하여 복부대동맥류 파열 예측을 위한 수치해석 방법을 제안하였다. 다시 말해, 기존의 연구에 없었던 연령과 각 층의 정보들을 모델에 추가함으로써 각 요인들이 파열 위험성에 끼치는 영향들을 비교·분석하였다.
2. 유한요소모델 및 해석
2.1 유한요소모델 구축
본 연구를 위해 부산대학교병원의 복부대동맥류를 가진 환자로부터 2002. 03. 11~2018. 11. 29 기간 동안 총 143개의 CT 이미지 데이터를 분석하였다. 이후, 143개의 분석된 CT 이미지 데이터를 3D 유한요소모델로 변환하기 위하여 Mimics 19.0(Materialize, Leuven, Belgium)와 Geomagic Design X 64(3D Systems, Rock Hill, SC, USA)를 활용하였으며, 이를 통하여 복부대동맥류의 3차원 곡면을 모사하였다. 또한, 모델링 작업 이후에 HyperMesh 13.0(Altair Engineering, Bristol, UK)을 활용하여 3D 요소들을 구현하였다.
본 연구에서 수행된 모든 유한요소모델들은 장골 동맥(iliac artery)부터 흉부 동맥(thoracic artery)까지 표현되었으며, 대동맥 벽의 두께는 CT 이미지 데이터로부터 검출하는데 한계가 있어 대동맥 벽 바깥쪽으로 균일한 두께를 적용하였다. 특히, 대동맥 벽의 두께는 참고문헌에서 제시하고 있는 대동맥 벽 평균값을 이용하여 1.5mm로 설정하였다(Doyle et al., 2010; Raghavan et al., 2011). 또한 대동맥 벽은 내막(intima), 중막(media), 외막(adventitia) 3개의 층으로 구성되어 있으며, 각 층은 서로 다른 섬유 방향과 두께를 가지고 있다. 본 연구에서는 참고문헌에서 제시하고 있는 각 층에서의 평균 두께 및 섬유 방향 값을 활용하여 상세히 모사하였다(Holzapfel, 2006). 각 층에 대한 자세한 내용은 Table 1에서 보여주고 있다. 그리고 모델링 단계에서 목 부분을 기준으로 상부는 대동맥 지름이 증가하지 않아 정상 조직으로 구분하였으며, 하부는 복부대동맥류 조직으로 구분하였다. 재료 물성치 적용 단계에서도 역시 이를 고려하여 각각의 다른 재료 정수들을 설정하였다. Fig. 1에서는 앞서 언급한 구분된 모델과 대동맥 각 층에 대한 정보들을 보여주고 있다.
Table 1.
Orientation of the collagen fiber and thickness of each layer
| Layer | Angle(°) | Thickness(mm) |
| Intima | 18.8 | 0.19 |
| Media | 37.6 | 0.76 |
| Adventitia | 58.9 | 0.55 |
본 연구에서는 3차원 유한요소해석 프로그램인 ABAQUS v6.14(Dassault Systemes, SIMULIA, R.I., USA)을 사용하였으며, 요소는 C3D20H로 설정하였고 요소 개수는 요소 수렴 연구를 통하여 모델 규격에 따라 4089~13209개로 설정되었다.
2.2 수치이론 모델
본 연구에서는 앞서 언급한 이방성 초탄성 재료거동을 모사하기 위하여 Gasser 등(2006)이 제시한 수치이론 모델을 사용하였다. 그들은 콜라겐 섬유 방향과 응력, 탄성계수, 신장률을 활용하여 생체 조직의 거동을 모사하였으며, 변형률 에너지 함수를 아래와 같이 나타내었다.
| $$W=\mu(I_1-3)+\frac{k_1}{2k_2}\sum_{k=1}^2\left\{exp\left[k_2E_k^2\right]-1\right\}$$ | (1) |
| $$E_k=\kappa I_1+\left(1-3\kappa\right)I_{4(\alpha\alpha)}-1$$ | (2) |
여기서, 는 단위 부피당 변형률 에너지를 의미하여 본 연구에서는 비압축성 재료로 가정한 변형률 에너지 함수를 사용하였다. 그리고 는 재료정수들이며, 은 오른쪽 Cauchy- Green 변형률에서의 1차 불변량을 의미하고 있다. 는 Cauchy-Green 변형률에서의 Psudo-불변량을 의미하며 이들을 섬유방향을 표현해 준다.
또한, GOH 모델은 각 섬유군 내 콜라겐 섬유의 방향이 회전 대칭으로 분산되어 있다고 가정을 하고 있어, 식 (2)에서 나타난 매개변수 가 섬유 방향의 분산 수준을 결정하게 된다. ρ(Θ)가 분포를 특징하는 방향 밀도 함수(범위[Θ, Θ+dΘ] 내에서의 정규화된 섬유들의 수와 방향을 나타냄)를 의미하는 경우, 매개 변수 κ는 다음과 같이 정의된다.
| $$\kappa=\frac14int_0^\pi{\rho(\theta)\sin^3\theta d\theta}$$ | (3) |
특히, 매개 변수 의 값이 0일 경우, 분산되지 않고 완벽하게 정렬되어 있다는 것을 의미하며, 가 1/3일 경우, 섬유 방향은 무작위로 분포하고 있다는 것을 의미한다. 대동맥 조직의 섬유 방향은 모든 인체가 각기 다른 방향성을 지니고 있어 본 연구에서는 값을 실험 결과들을 바탕으로 Gasser 등(2006)이 제시한 평균값 0.226으로 적용하였다. 또한, 본 수치이론 모델에서는 모든 섬유군은 동일한 기계적 물성치와 분산된 방향을 지니고 있다고 가정하고 있다.
변형과 관련된 항인 는 단위 벡터 와 함께 섬유군의 변형을 나타내며, 완벽하게 정렬된 섬유(=0)인 경우에는 로 정의되고 무작위로 분포(=1/3)할 경우에는 으로 정의된다.
그리고 변형률 에너지 함수에서의 첫 번째 항은 비압축성 및 등방성 바탕의 재료에 대한 뒤틀림 및 용적 측정 기여를 나타내며, 두 번째 항은 분산 효과를 고려한 서로 다른 콜라겐 섬유 군으로부터의 기여를 나타낸다. 따라서 본 모델의 기본 가정은 콜라겐 섬유가 압축 하중 하에서 좌굴이 발생할 때 장력만 지지할 수 있다는 것이다. 즉, 변형률 에너지 함수에서의 이방성 기여는 단지 섬유의 변형률이 양의 값이거나 등가적, 인 경우에만 나타난다는 것이다.
2.3 재료 정수 및 하중·경계 조건
본 연구에서는 생체 조직의 탄성계수, 응력 및 변형률과 관련된 재료 정수 에 대한 값을 선행 연구 결과로부터 도출하여 설정하였으며, 연령에 따라 각기 다른 재료 정수 값을 설정하였다(Lee et al., 2019; Huh et al., 2019).
또한, 본 연구에서 복부대동맥에 적용된 경계조건 설정 단계에서는 비틀림이 발생하는 것을 방지하기 위하여 모델의 상부 및 하부의 고리중앙에 참조 절점(reference point)을 지정하여 원통 좌표계를 설정하였고 각각의 고리에 Tie 형 MPC(Multi Point Constraint) 요소로 연결하여 축(axial)과 접선(tangential)방향의 자유도를 구속하였다. 또한, 하중 조건으로는 심장 주기(cardiac cycle)의 수축기에서 최대 혈압인 120mmHg(16KPa)를 이용하여 혈관 벽 내부에서 바깥 방향으로 일정한 압력을 가하였다. 또한 복압을 표현하기 위해 혈관 벽 외부에서 안쪽 방향으로 7mmHg(0.93KPa)을 가하였다. Fig. 2는 여러 케이스 중 하나로 경계 및 하중조건을 적용한 모습을 보여주고 있다.
3. 수치해석 결과
3.1 수치해석 시나리오 선정
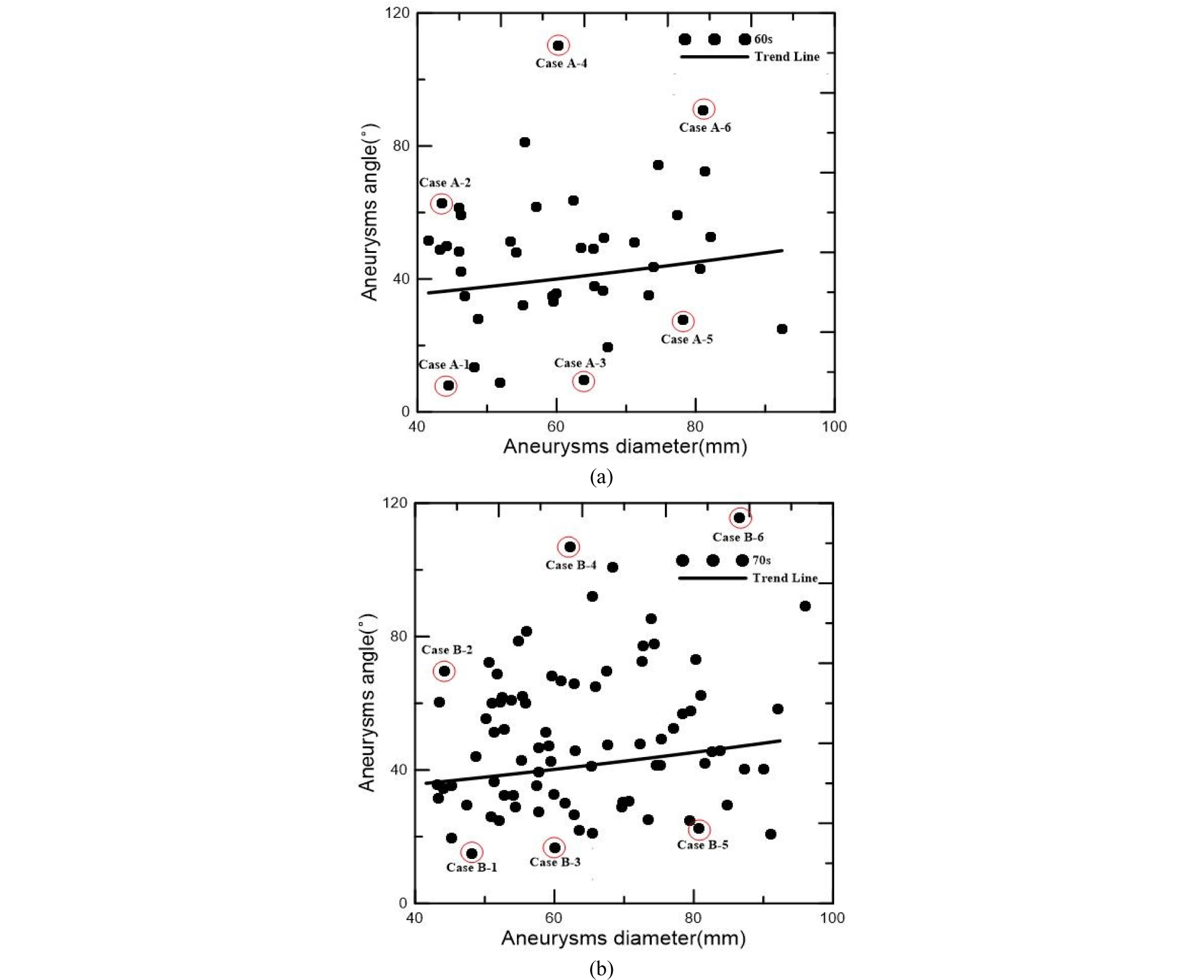
본 연구에서의 대동맥의 형상 변수로는 복부대동맥류의 지름(aneurysm diameter)과 목의 각도(neck angle)를 Fig. 3과 같이 선정하였다. Fig. 3에서는 확보된 환자들의 정보들을 기반으로 하여 선정된 총 12가지 전산해석 케이스를 보여주고 있으며, 이에 대한 모식도는 Table 2에서 나타내고 있다. 그리고 목의 각도에 대한 시나리오 선정에서는 지름이 증가함과 동시에 목의 각도에 따른 영향을 분석하기 위해 지름 40, 60, 80mm 부근에서의 최대값과 최소값들을 고려하였다. 뿐만 아니라, 연령 변화에 따른 최대 혈관 벽 응력을 비교하기 위해서 60대를 케이스 A와, 70대를 케이스 B로 나누어 설정하였다. 그리고 최대 혈관 벽 응력이 측정되는 부분을 분석하기 위하여 Fig. 4와 같이 대동맥의 목을 기준으로 설정하였다.
Table 2.
Scenario for stress analysis
3.2 수치해석 결과 및 고찰
본 연구에서는 먼저 Fig. 1에서와 같이 대동맥 벽의 각 층과 구역 그리고 연령에 맞는 재료 정수를 이용하여 혈관 벽의 거동을 자세하게 모사하였다. 그리고 Fig. 3에서와 같이 복부대동맥류에서 대동맥의 지름, 목의 각도, 연령을 토대로 전산해석 시나리오를 선정하여 수치해석을 수행하였다.
Fig. 5는 수치해석 결과의 대표적 예로써 케이스 B-6에 대한 각 층의 응력 분포를 보여주고 있다. 그리고 전체 시나리오의 전산해석 결과들 중 최대 혈관 벽 응력에 대한 결과들은 Fig. 6과 7에서 보여주고 있다. 또한, Table 3과 4에서는 각 층에 대하여 최대 혈관 벽 응력이 발생되는 위치와 그 위치에서의 최대 응력 값들의 평균값을 나타내고 있다.
Table 3.
Peak wall stress analysis results for Case A
Table 4.
Peak wall stress analysis results for Case B
이 결과들에서 측정된 응력은 최대 응력과 그 요소 주변의 응력들을 의미하며, 최대 응력은 주로 대동맥 목의 전면부와 후면부에서 많이 발생되었다. 이는 전면부의 경우 대동맥이 접히면서 응력이 집중되는 것으로 사료되며, 후면부에서는 전면부의 접힘 현상으로 인해 변형이 크게 발생하여 응력이 집중되는 것으로 사료된다.
Fig. 6과 7의 결과들에 따르면, 60대와 70대에서의 결과 모두 대동맥 목의 각도와 대동맥류의 지름이 증가하면 최대 혈관 벽 응력이 증가하는 경향을 보이고 있다. 하지만 케이스 A-3과 4의 경우 응력이 오히려 감소하는 경향이 나타나는데 이는 변형이 발생하면서 대동맥이 접히게 되고, 이 때 형상학적으로 더 이상 직경이 증가하지 않고 하중이 분산되면서 응력이 감소하기 때문이다. 또한, 대동맥 각 층에 대한 결과에서는 내부로 갈수록 응력 값들이 증가하는 것을 볼 수 있다. 이는 내막에서 하중을 직접적으로 받기 때문에 내막에서의 응력이 가장 큰 것으로 사료된다. 뿐만 아니라, 지름이 증가하거나 내막에 대한 결과들에서는 응력 값의 편차가 크게 나타남을 알 수 있었다. 이는 지름이 증가할수록 내부압력 발생면적이 증가함과 동시에 대동맥이 확장하게 되면서 형상학적으로 불안전한 상태가 되기 쉽기 때문이다. 그리하여 응력 집중 현상이 발생하는 요소들이 생성됨으로 인하여 응력 값의 편차가 크게 나타난다. 또한, 내막의 경우 두께가 현저히 작기 때문에 대동맥 확장에 아주 취약하기 때문에 형상에 따른 응력 집중 현상들이 다수 발견됨에 의해 편차 구간 역시 크게 나타나게 됨을 파악할 수 있었다.
하지만 본 연구에는 몇 가지 한계점이 존재한다. 혈관벽 내부에 존재하는 혈관 내 혈전(intraluminal thrombus)을 모사하지 못하였고, 각 층의 섬유 방향을 하나의 값만 이용하였다. 또한 실제 혈관 벽의 두께는 불균일한 것에 비해서 본 연구에서는 1.5mm의 균일한 값을 사용하였다. 또한, 전산해석 결과에 대한 검증을 위한 실제 환자 결과와의 비교가 진행되지 못하였다. 그리하여 본 연구에서는 해석 결과에 대한 검증을 간접적으로 해결하기 위해 생체 조직의 거동을 잘 모사할 수 있는 GOH 모델을 사용하고, 혈관 벽의 각 층의 섬유 방향과 환자의 연령, 그리고 정상조직 및 복부대동맥류에 대한 재료정수를 고려함으로써 이전 연구들보다 좀 더 유의한 결과를 얻을 수 있었다고 사료된다. 임상 적용을 위해 좀 더 정확한 결과를 얻기 위해서는 더욱 많은 데이터가 필요하며, 병원내의 정보 기록 방법과 공학에서의 필요한 정보 기록 방법이 서로 쉽게 공유되고 상호보완이 되어야 한다고 사료된다. 또한, 본 연구에서는 12개의 케이스를 이용하였기에 데이터의 수를 증가할 수 있다면 좀 더 유의한 결과를 얻을 수 있을 것으로 사료된다.
4. 결 론
본 연구에서는 복부대동맥류의 형상 및 연령별 파열 위험성을 평가하기 위해 형상에 따른 상관관계를 분석하고, 형상과 연령에 따른 시뮬레이션을 수행하였다.
특히, 본 연구에서는 복부대동맥류 환자의 CT 데이터를 기반으로 하여 3D 유한요소모델을 구성하였으며, 대동맥은 내막, 중막, 외막으로 구성함과 동시에 섬유방향과 두께를 유한요소모델에 적용하였다. 또한, 복부대동맥류의 재료 거동 특성을 모사하기 위하여 정상 조직과 복부대동맥류의 구역으로 구분하여 각기 다른 재료정수들이 적용되었다.
뿐만 아니라, 본 연구에서는 GOH 모델을 활용하여 대동맥의 이방성 초탄성 재료 거동을 모사하였으며, 선행 연구결과들을 활용하여 연령에 따른 재료 정수들이 적용되었다. 본 연구에서의 주요한 결론을 기술하면 다음과 같다.
주로 대동맥 목의 전면부와 후면부에서 최대 응력들이 발생하였으며, 이는 하중이 발생하면서 대동맥 목이 접힘으로 인해 전면부와 후면부에 응력이 집중하는 것으로 사료된다.
또한, 60대 및 70대에 대한 결과들에서는 대동맥류의 지름과 대동맥 목의 각도가 증가할수록 응력이 증가하는 경향을 확인할 수 있었다.
하지만, 대동맥 목의 접힘 현상이 과도하게 발생하는 경우, 대동맥 벽이 서로 누르면서 직경이 늘어나는 것을 막아 오히려 응력이 감소하는 경향을 확인할 수 있었다.
본 연구의 최종 목표는 복부대동맥류에 대한 수술 판정과 임상의가 환자들에게 환자의 증상을 설명할 시 본 연구의 결과와 같은 예시를 활용한다면 환자들의 심리적 안정과 수술 성공률 또한 향상될 것으로 기대된다.









