1 서 론
복합재는 구성물질의 장점만을 혼합함으로서 균질재료에 비해 상대적으로 우수한 열기계적 성능을 나타내게 된다 (Christensen, 1979). 입자(phased) 복합재는 적층(laminated) 복합재와 섬유보강(fiber-reinforced) 복합재와 더불어 대표적인 복합재의 한 부류로 구분된다. 입자 복합재에는 하나 이상의 구성입자들이 임의의 구조로 혼합되어 있으며, 두 개의 입자로 구성된 이상(dual-phase) 입자복합재가 대표적이다. 아스팔트 노면과 고단열재로 각광받고 있는 기능경사재(FGM: functionally graded material)(Giannakopulos et al., 1995; Koizumi, 1997; Lee et al., 2016)는 이상 입자복 합재의 대표적인 예이다.
하지만 이론 혹은 수치해석적인 측면에서 입자 복합재는 균질 재료에 비해 어려움이 많았다. 그 주된 이유는 매우 복잡한 미 세구조(microstructure) 형상을 있는 그대로 반영할 수 없었기 때문이다(Reiter et al., 1997). 이러한 어려움에 기인하여 균질화(homogenization)기법을 도입하여 입자복합재를 등가의 균질재료로 대체하여 열기계적 거동을 분석하였다 (Mori and Tanaka, 1973; Tomato et al., 1976). 하지만, 이러한 등가 모델링 방법에는 구성입자들의 상대적인 체적비인 체적분율(volume fraction)만이 반영될 뿐, 입자의 형상, 기울기 그리고 미세구조가 무시되어 모델링의 신뢰성에 한계가 있었다.
이러한 한계는 컴퓨터 성능과 모델링 기법의 발전에 힘입어 마이크로 모델링(micro modeling)기법을 탄생시켰다. 이 기법에는 체적분율에 비례하여 구성입자들을 단순한 다각형으로 모델링하는 방법(Reiter et al., 1997; Cho et al., 2008)과 실제 미세구조에 근접한 형상으로 모델링하는 방법으로 구분 할 수 있다. 후자의 경우는 다시 입자복합재 단면을 SEM으로 스캔한 영상 이미지를 이용하는 재생성(reconstruction)기법 (Oden et al., 1999; Paquet and Ghosh, 2011)과 수학적인 RMDF를 이용한 직접 생성기법(Roberts and Teubner, 1995; Torquato, 2002; Vel and Goupee, 2010; Park et al., 2017)으로 구분할 수 있다. 재생성 기법은 실물과 일치하는 미세구조를 제공하는 반면, 직접 생성기법은 매번 미세구조가 다른 랜덤성(random)을 나타낸다.
본 연구는 Ni과 Aℓ2O3로 구성된 금속-세라믹 이종 입자 복합재의 2차원 미세구조 생성과 생성된 미세구조의 특성분석에 관한 것이다. 미세구조는 RMDF를 적용하여 생성하였으며, 주요 모델링 인자에 따라 미세구조의 특성을 분석하였다. 또한, 미세구조의 스케일(scale)에 따라 계층적 미세구조 모델을 정의하고 2차원 보(beam) 문제와 균열문제 적용하여 응력 응답의 계층적 특성을 고찰하였다.
2 RMDF에 의한 이종 입자복합재의 미세구조 생성
체적분율이 각각 V1과 V2인 금속 그리고 세라믹 입자가 혼합 되어 있는 이종 입자복합재의 정사각형 대표 체적요소 RVE 영역을 로 정의한다. 그리고 이 RVE 영역 Y 내부의 임의 지점을 로 표기하기로 한다. 그러면 3차원 RMDF f(V) 는 식 (1)과 같이 중심이 인 N 개의 가우스 함수 의 합으로 정의된다(Roberts and Teubner, 1995).
여기서, cj∈[-1, 1]와 wj는 각각 가우스 함수의 크기와 폭을 결정짓는 인자들로서, 전자는 yj와 같이 난수로 생성되고 후자는 스케일링 인자 , 그리고 N 에 의해 로 정해진다. 한편, RMDF f(V)는 N 과 αw 에 의해 그 크기가 영향을 받기 때문에 아래 식과 같이 정규화시키게 된다.(2)
Fig. 1은 정규화 된 3차원 RMDF의 예이며, N 과 αw 을 각각 1,000과 1.0을 사용하여 MATLAB으로 생성한 것이다.
정규화된 3차원 RMDF로 부터 2차원 이종 입자복합재의 미세구조를 생성하기 위해 컷오프(cutoff) 값 을 도입한다. 이 값 역시 다음과 같이 정규화 시킨다.(3)
이 컷오프 값에 해당하는 RMDF의 2차원 정사각형 단면을 라고 정의하면, 이 단면상에는 2개의 입자상(particle phase) (금속)과 (세라믹)로 구성되어 있다. 컷오프 단면 상에서 두 개의 상은 다음과 같이 결정된다.(4)
따라서, 주어진 하나의 RMDF로부터 컷오프값 fc 의 선택에 따라 무한개의 랜덤(random)한 입자복합재의 미세구조가 생성될 수 있다. 한편 생성된 미세구조 내 두 구성입자의 체 적분율은 물리적 조건식 V1 + V2 = 1을 만족하기 때문에 (Giannakopulos et al., 1995) 하나의 체적분율만 사용하면 된다. 본 연구에서는 금속의 체적분율 V1을 선택하고, 아래 식과 같이 계산된다.(5)
위 식에서 H (⋅) 는 히비사이드 계단(heaveside step)함 수이고 는 대표 체적요소 RVE의 면적을 나타낸다.
Fig. 2(a)는 Fig. 1의 RMDF로부터 체적분율 V1 =0.5에 해당하는 컷오프값으로 생성된 이종 입자복합재의 미세구조를 나타낸다. 물론 생성된 미세구조는 랜덤하지만, Fig. 2(b)에 나타낸 Ni-Aℓ2O3 입자복합재의 SEM 이미지와 대략적으로 유사한 미세구조도 생성될 수 있다.
3 미세구조의 특징과 계층적 모델
식 (1)에서 알 수 있듯이 RMDF로 생성된 미세구조는 연관된 인자들에 지배를 받을 뿐만 아니라 동일한 인자들에 대해서도 재현성이 없이 랜덤한 특징을 지니고 있다. 연관된 인자들은 가우스 함수의 개수 N , 중심점 , 체적 분율 V1 그리고 스케일링 인자 αw이고, 이들 중에서 난수로 생성되는 yj와 αw 에 의해 Fig. 3과 같이 랜덤성을 나타낸다.
그리고, 위 네 개의 인자들 중에서 스케일링 인자 αw는 가우스 함수들의 폭에 영향을 미치며, αw 가 작을수록 미세한 구조를 나타냄을 아래 Fig. 4로 부터 확인할 수 있다.
한편, 네 가지 인자들 중에서 미세구조의 스케일에 가장 큰 영향을 미치는 인자는 가우스 함수의 개수 N 으로, 0에서부터 +∞사이의 정수이다. Fig. 5에서 우측 세 개의 미세구조는 N 값이 각각 200, 1,000 그리고 2,000에 해당한다(참고로 V1과 αw 는 각각 0.5 그리고 1.0). 본 연구에서는 체적분율 V1과 스케일링 인자 αw가 일정할 경우, N 값이 미세구조의 랜덤성에 미치는 영향을 고찰하고자 한다. 이를 위해 이종 입자복합재 미세구조 의 N 에 따른 계층적(hierarchical) 모델 FH (Cho and Oden, 1996)를 다음과 같이 정의한다.

Fig. 5.
Hierarchical models of dual-phase metal-ceramic material to the scale of microstructure (for the same V1 and αw )
Fig. 5에서 N = 0에 해당하는 최저차 모델은 미세구조가 무시된 균질화 모델로서, 등가 물성치는 체적분율을 활용한 균 질화기법(Tomato et al., 1976) 등으로 계산된다. 반면, N 이 증가할수록 모델의 스케일은 조밀(fine)하게 되며 실제 이종 입자복합재의 미세구조에 근접하게 된다.
4 수치실험 및 해석결과
RMDF를 이용하여 생성한 이종 입자복합재의 계층적 미세 구조 모델의 특성을 분석하기 위해 Fig. 6에 도시한 외팔보의 고려하기로 한다. 보의 전체길이는 71mm이며 두께는 7mm로 설정하였다. 보에 작용하는 온도는 하단에서 300℃ 그리고 상단에서 500℃가 되도록 두께방향으로 선형적으로 증가시켰 으며, 4mm 폭의 상단 우측에는 100 N 의 균일 분포하중이 작용하고 있다.
외팔보는 Ni과 Aℓ2O3로 구성되어 있으며, 구성 입자의 열기 계적 물성치는 Table 1에 나타내었다. 가운데 1mm 폭을 가진 영역에는 7개의 미세구조 층으로 모델링하고 나머지 영역은 등가의 균질재료로 단순화하였다. 이러한 단순화는 FEM 해석의 현실화를 위해 불가피하였다. 균질재료의 등가 물성치 m 는 선형 혼합법칙(linear rule of mixture)(Cho and Ha, 2001)에 따라 두 구성입자의 물성치와 체적분율 곱의 조 합으로 계산하였다.(7)
Table 1
Material properties of Ni and Al2O3 (Giannakopulos et al., 1995)
| Particle | E(GPa) | v | G(GPa) | α(×10-6K) | k(W/m K) |
|---|---|---|---|---|---|
| Ni | 199.5 | 0.30 | 76.7 | 15.4 | 90.7 |
| Al2O3 | 393.0 | 0.25 | 157.2 | 7.4 | 30.1 |
각 미세구조의 크기는 1×1mm이며 5가지 N 값에 대해서 랜덤하게 미세구조 층을 생성시켰다. 그리고 N 에 따른 계층적 미세구조 모델의 랜덤성의 변화를 고찰하기 위해 두 가지 케이 스(case)를 실험하였다.
총 10개의 서로 다른 미세구조 층을 가진 외팔보 모델에 대해 10회의 열탄성(thermo-elastic) 유한요소 해석을 수행하였다. 각 케이스 별로 5회 그리고 각 N 값에 대해 2회 씩 유한요소 해석을 수행하였다. 보 모델 요소망은 가운데 미세구조 층과 그 인근 영역이 상대적으로 조밀하도록 총 50,000개의 4-절점 유한요소로 비균등하게 생성되었다. 반면, 가운데 7개의 사각형 미세구조들에 대해서는 각각 50x50 정사각형 픽셀들을 생성 하고 미세구조에 근접하도록 재료 1 혹은 2를 할당하였다.
열탄성 유한요소 해석을 수행한 후 미세구조 층 가운데를 수직으로 가로지르는 라인을 따라 수직응력 σxx 와 전단응력 τxy를 추출하였다. 비교를 위해 보의 가운데 미세구조 층을 주위와 동일하게 균질재료로 한 경우(homogenized)에 대해 서도 추가로 해석을 수행하였다.
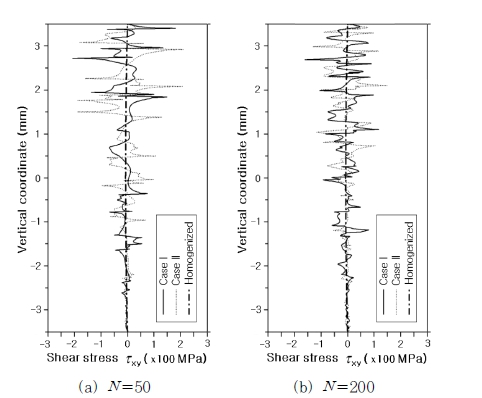
Fig. 7(a)와 7(b)는 N 이 50 그리고 200인 경우에 있어 두 미세구조 케이스에 대한 수직응력 σxx의 분포를 균질한 경우와 비교하고 있다. 우선 균질한 경우와 비교하여 미세구조 층의 경우에는 응력 크기에 요동이 심한 분포를 나타내며 두 케이스 사이에도 큰 차이가 있음을 확인할 수 있다. 그리고 200℃ 만큼 상대적으로 고온을 받는 상부 인장부가 하부 압축 부에 비해 월등히 큰 응력의 변동폭을 나타내고 있다.
이러한 경향은 다음의 Fig. 8의 전단응력 분포에서도 확연 하게 나타나고 있다. 한편, 수직 그리고 전단응력 두 경우에 있 어 N =50에 비해 N =200의 경우가 전반적으로 응력 요동의 폭이 줄어듦을 관찰할 수 있다. 국부적인 피크(peak)들은 전단응력에서는 N 과 더불어 감소하지만, 수직응력에서는 그렇지 않음을 볼 수 있다. 이것은 국부적인 피크들이 두 구성 입자 계면에서의 예리한 물성치의 차이에 기인하기 때문이다. 하지만, 두 응력 모두에 있어 미세구조에 의한 응력 분포의 평균값은 균질재료의 응력값과 유사함을 알 수 있다.
한편, Fig. 7에서 균질화 모델은 일반적인 휨응력 분포를 보이고 비균질 모델 역시 동일한 응력분포를 보이는 반면, Fig. 8에서 균질 그리고 비균질 모델은 도심에서 최대가 되는 일반적인 전단응력 분포를 보이지 않는다. 이것이 Fig. 6에 나타낸 외팔보 문제의 재료 모델링 단순화의 한계로 추정된다. 다시 말해, 가운데 1mm 영역의 상세모델과 나머지 보 영역의 균질화 모델 사이의 급격한 불연속성은 실제 보문제와 큰 차이를 유발하기 때문인 것으로 추정된다.
미세구조 모델과 균질모델 사이의 응력분포의 차이를 측정 하기 위해 다음의 L1 -노옴(norm)(Adams, 1978)을 도입하 기로 한다.(8)
여기서, t는 외팔보의 두께를 의미하고, 두 케이스에 있어 각 N 에 대한 과 를 Table 2에 나타내었다. 표로부터 L1-노옴(norm)의 차이가 N 의 증가와 더불어 일률 적인 변화를 보이지 않고 오히려 심한 요동을 나타냄을 확인할 수 있다.
Table 2
Variations of stress norms to the number N of gaussian points(unit: Pa·mm)
| Item | Case | Number N of gauss functions | ||||
|---|---|---|---|---|---|---|
| 50 | 75 | 100 | 150 | 200 | ||
| I | 591.8 | 523.8 | 559.1 | 517.6 | 565.6 | |
| II | 572.9 | 541.0 | 562.6 | 513.3 | 562.5 | |
| I | 146.1 | 176.7 | 183.9 | 148.2 | 150.2 | |
| II | 198.7 | 157.4 | 175.3 | 151.7 | 145.2 | |
다음으로 두 케이스에 따른 그리고 의 차이를 측정하기 위하여 다음의 노옴을 도입하기로 한다.(9)
그리고 계산된 과 를 Table 3에 나 타내었다. 두 경우 모두 N 이 증가할수록 일률적으로 감소함을 확인할 수 있다.
Table 3
Variations of stress norms to the number N of gaussian points(unit: Pa·mm)
| Item | Number N of gauss functions | ||||
|---|---|---|---|---|---|
| 50 | 75 | 100 | 150 | 200 | |
| 18.9 | 17.2 | 4.3 | 3.4 | 3.1 | |
| 52.6 | 19.2 | 8.6 | 4.9 | 3.5 | |
결국 각각의 N 에 대해 생성된 미세구조 층들은 랜덤하고 더욱이 균질모델과의 L1 -노옴 응력차이는 N 이 증가하여도 줄어들지 않았다. 하지만, 서로 다른 미세구조 층 사이의 L1- 노옴 응력차이는 N 과 더불어 감소하였다.
이러한 경향은 가우스 함수의 개수 N 이 증가할수록 미세 구조 내부에서 구성입자의 지역적 편중현상이 줄어들기 때문 이다. 따라서, 3절의 식 (6)로 정의된 계층적 미세구조 모델은 식 (10)을 만족한다.
다음으로 단위 RMDF에 대한 균열해석을 수행하여 N 값에 따른 특성을 분석하였다. Fig. 10(a)는 모드 I과 모드 II 균열 해석을 위한 하중 그리고 변위조건을 나타내고 있다. 정사각형은 변의 길이 a는 1.0mm 그리고 수평 엣지 크랙(edge crack) 의 길이 a/2는 0.5mm로 설정하였다. 모드 I은 윗변에 균일 수직 분포하중을 그리고 모드 II는 균일 수평 분포하중을 부과 하였으며, 크기 qx 와 qy는 1.0N/mm로 설정하였다. Fig. 10(b)는 N 이 100인 경우에서의 요소망으로 총 10,000개의 4절점 요소로 생성되었다.
Fig. 11(a)와 11(b)는 모드 I과 모드 II의 등가응력 분포의 일례를 나타내고 있으며, 두 경우 모두 N 이 100인 RMDF이다. 모드 I과 달리 모드 II에서는 균열선단에서의 응력집중 패턴이 시계반대 방향으로 기울어져 있음을 확인할 수 있다. 그리고 좌측 하단에 다소 높은 응력이 발생함을 볼 수 있다. 이것은 모드 I과 달리 수평 전단력이 윗면에 작용하기 때문이다.
RMDF의 랜덤성이 균열선단에서의 최대 응력값에 미치는 영향을 고찰하기 위하여, 세 가지 N 값에 대하여 각각 10개의 RMDF를 랜덤하게 생성하고 균열해석을 수행하였다. Table 4와 5는 각각 모드 I과 모드 II에 있어 균열선단에서의 최대 등가 응력값을 각 N 에 있어 10개의 RMDF에 대해 나타낸 것 이다.
Table 4
Variation of crack-tip stress to RMDF and the number N of gauss functions(mode I, unit:N/mm2)
Table 5
Variation of crack-tip stress to RMDF and the number N of gauss functions(mode II, unit: N/mm2)
모드 I과 II에 있어 균열선단 응력값의 최대 차이는 N 의 증가에 따라 일률적인 감소를 보이지 않는다. 이것은 균열선단 에서의 최대 응력값이 미세구조의 스케일보다는 균열선단 주위의 미세구조의 패턴에 영향을 받기 때문이다. 한편, 각 각의 N 값에 있어 균열선단의 평균값은 N 값의 증가와 무관하게 거의 일정한 수준을 유지함을 알 수 있다. 따라서, 금속-세라믹 이종 입자복합재에 있어 균열선단에서의 최대 응력값은 RMDF의 랜덤성과 N 값에 영향을 받지만, 평균값은 일정한 수준을 유지 함을 알 수 있다.
5 결 론
본 연구에서는 Ni과 Aℓ2O3로 구성된 금속-세라믹 이종 입자 복합재의 2차원 미세구조를 RMDF를 적용하여 생성하였다. 생성된 미세구조를 분석한 결과,
미세구조의 형상은 구성입자의 체적분율 V1, 가우스 함수의 개수 N 과 중심점의 위치 yi 그리고 스케일링 인자 αw에 영향을 받았다.
특히, N 은 미세구조의 스케일에 절대적인 영향을 미쳤으며, 이러한 배경으로 N 을 인자로 한 미세구조의 계층적 모델을 정의할 수 있었다.
그리고 미세구조의 랜덤성이 계층적 모델에 미치는 영향을 분석하기 위해 2차원 열탄성 보(beam) 그리고 균열문제에 적용하여 응력 응답의 특성을 고찰하였다. 그 결과, 다음의 결론을 도출할 수 있었다.











