1. 서 론
1.1 연구 배경 및 목적
전 세계 곳곳에서 발생하는 테러의 85%이상이 폭발 공격으로 발생하고 있고, 가스의 사용이 많아지면서 민간 구조물의 폭발사고 발생률이 증가하고 있다. 폭발사고는 일차적으로 구조물 부재에 손상을 주어 인명 및 재산피해를 발생시키고, 단시간에 이차적으로 연쇄붕괴 및 파편사고를 발생시킬 수 있다. 그에 따라 폭발하중을 받는 구조물의 거동 및 보강에 대한 연구가 증대되었으나 보안상의 이유로 연구결과에 대한 정보가 매우 제한적이다.
프리스트레스트 콘크리트 부재는 이미 교량 등 토목분야에서는 주로 사용하고 있으며 건축분야에서도 대공간 또는 초고층 등 건축물 규모의 증가로 프리스트레스트 콘크리트의 사용이 증가하고 있다. 폭발하중을 받는 구조물의 거동 및 성능 평가는 철근 콘크리트 및 철골 부재에 대하여 다수 진행되었다. 국외에서는 Bao 등(2010)이 폭발하중을 받는 기둥의 손상정도와 잔류강도를 평가하는 연구를 수행하였다. Carriere 등(2009)은 steel polymer로 보강한 기둥에 폭발해석을 수행하여 제안한 보강기법으로 방폭성능이 증가됨을 보였다. 그 외에도 국내에서는 이경구 등(2010)이 폭발하중을 받는 강재 기둥의 저항성능을 해석을 통해 평가하였고, 최호순 등(2012)이 축하중을 받고 있는 철근 콘크리트 기둥이 폭발하중을 받을 때의 잔류저항을 해석적으로 평가하였다. 그러나 폭발하중을 받는 프리스트레스트 콘크리트 부재에 대한 해석 및 실험적 연구는 미흡하다. 따라서 본 연구에서는 비선형 동적해석이 가능한 프로그램인 AUTODYN을 이용하여 폭발하중을 받는 프리스트레스트 콘크리트 부재의 거동을 평가하고자 하였다. 이를 위해, 콘크리트의 강도, 프리스트레스의 도입여부 등을 변수로 해석을 수행하였다. 해석결과를 바탕으로 향후 프리스트레스를 도입한 구조물의 연쇄붕괴 방지 및 방폭 설계에 기초자료를 제공하고자 한다.
1.2 기존 연구 동향
폭발하중과 같은 이상극한 하중에 노출되어 있는 국방 관련 구조물이나 석유화학 산업 등과 같은 분야는 설계지침서 및 연구수행 정도가 민간 구조물에 비해 상대적으로 많다. Eurocode 1(EN 1991-1-1)도 사고 하중에 대한 연쇄붕괴 방지 기준을 제시하고 있다. 또한 GSA(General Service Administration), DoD(Department of Defence) 등의 가이드라인은 연쇄붕괴의 가능성을 줄이기 위한 지침으로 사용되고 있다. 그러나 국외의 가이드라인은 군사적 개념을 반영한 것으로 실제 민간 건물의 구조거동과는 다를 수 있다. 이상극한 하중을 받는 일반적인 건물에 대한 설계지침이 부족하다.
앞서 언급했듯이 테러 및 폭발사고에 대한 경각심이 고조되면서 방폭 성능향상을 위한 연구가 많이 진행되었지만, 프리스트레스트 콘크리트 부재에 관한 연구는 미흡하다. Li Chen 등(2011)은 PPR(Partially Prestressed RC Beams, PPR)의 실험과 동적해석을 비교하여 부분적인 프리스트레스를 도입한 철근 콘크리트 보의 폭발성능에 대한 비선형해석을 수행하여 PPR의 설계식을 제안하였다. 이 연구는 설계식을 제안하기 위한 단자유도계 이론 부분에 초점을 두었다. Tuan Ngo 등(2007)은 고강도 프리스트레스트 콘크리트 패널의 폭발하중에 대한 거동을 실험을 통해 수행하였다. 현실상 실험은 제약이 많이 따르므로 실험 모델의 수가 적어서 결과 데이터양이 적다. 프리스트레스트 콘크리트 부재의 사용이 증가되는 만큼 PSC 부재에 대한 활발한 연구 진행이 필요하다. 폭발 하중에 대한 기초 자료를 축적하고자 본 연구를 수행하였다.
2. 폭발하중
2.1 폭발하중의 특징
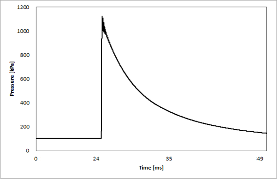
Fig.1에서 볼 수 있듯이 공기를 통해 전달되는 폭발파는 입사압력이 되고, 입사압력이 구조물 등에 충돌하여 반사되면서 증폭되는 압력을 반사압력이라고 한다. 이 반사압력이 구조물에 직접적으로 작용하는 폭발하중이다. 폭발이 발생한 후 대기를 통해서 구조물에 직접 전달되는 초기 폭발파와 다른 구조물이나 장애물에 반사되어 전달되는 반사 폭발파 이 두 가지의 상호작용을 고려하여 해석이 진행된다. 폭발압력은 매우 짧은 지속시간 때문에 다른 재해 하중과 달리 고차모드에 의한 피해를 발생할 수 있고, 거리에 따라 압력이 급격하게 감소하는 특징이 있다.
Fig. 2는 폭발하중의 압력-시간 그래프이다. 폭발이 발생한 순간 입사압력은
이후 순간적으로 상승한 후 매우 짧은 시간동안 생성된다. 서서히 감소하여
에 대기압과 같아진다.
와
사이의 압력을 정압기라 하고 대기압보다 낮아지는 단계를 부압기라 한다. 일반적으로 방호 설계에서 부압력의 영향은 크지 않으므로 고려하지 않는다.
매우 짧은 지속시간을 갖는 폭발하중은 102~104[s-1] 정도의 매우 높은 변형률(Strain Rate)을 발생시킨다. 이렇게 높은 Strain Rate는 구조재료의 기계적인 성질에 변화를 일으키고 구조요소의 파괴거동에 변화를 줄 수 있다. 일반적으로 사용되는 구조물인 콘크리트나 강재같은 경우 Strain Rate로 강도가 증가하게 된다. Fig. 3은 여러 하중 조건에 대한 Strain Rate의 관계를 나타내었다. 폭발하중에 의한 Strain Rate가 가장 크다는 것을 알 수 있다. Strain Rate를 고려하지 않을 경우에는 재료강도를 과소평가할 수 있어서 구조적 파괴가 발생할 수 있으므로 반드시 Strain Rate를 고려해야 해석의 정확성이 올라간다. AUTODYN 프로그램은 높은 변형속도와 대 변위해석이 가능하여 Strain Rate를 고려한 재료모델을 제공한다.
2.2 폭발하중 모델링 기법
본 연구에서의 폭발하중은 JWL(Jones, Wilkins, Lee)의 식(Krauthmmer. T., 2008)을 사용하였다. JWL은 폭발물을 표현하는 상태식이고 아래 수식 (1)과 같이 표현된다.
(1)

여기서, P는 압력을 나타내고 V는 부피, V0는 초기부피를 나타낸다. 그리고 A,B,R1,R2,w 상수는 동적실험에 실험데이터를 기반으로 한 경험계수이다. 대부분의 폭발로 인한 정확한 상태를 알기 위해서는 실험적 접근만이 가능하므로 실험 데이터와 이론적 접근을 통해 경험적 상수를 도출하는 것이다. JWL 알고리즘은 실험에 의한 상수 데이터를 기반으로 정의한다. 본 연구에서는 폭발물과 공기를 미리 모델링한 후 최대 압력을 계산하여 맵핑하는 방법으로 해석하였다. 부재는 고체 물질로 라그랑주 솔버를 사용하고, 대기는 오일러 솔버를 사용하여 복합된 해석 문제를 해결하는 방식이다.
Fig. 4는 폭발 압력을 맵핑하기 전 1D-Wedge 방법을 이용하여 모델링한 폭발물과 공기이다. 이러한 remap 기능은 직접 폭발물을 모델링하는 방법보다 해석시간의 효율성을 높일 수 있다. 크기가 정해진 공기를 모델링에 포함하기 때문에 모델링된 영역의 경계면에서 폭발압력이 반사될 수 있다. 이는 실제와 다른 계산 결과를 유도할 수 있어서 압력과 구조적 경계조건 설정에 주의해야 한다. 본 연구는 대기를 오일러 솔버로 모델링하여 대기의 경계면에 Flow-out 경계 조건을 적용해서 압력파의 반사가 발생하지 않도록 하였다. 또한 철근, 텐돈, 콘크리트 사이의 경계면에 External gap을 사용하여 최소한의 이격만을 고려하였다. 또한 대기와 구조물 사이의 경계면에는 Fully coupled 조건을 부여하여 해석하였다.
3. 재료모델
3.1 콘크리트
콘크리트의 인장강도는 압축강도(
)의 약 10%정도로 가정된다. PSC에 사용되는 콘크리트는 설계상 큰 응력이 가해져서 높은 압축강도의 콘크리트가 필요하다. 즉, PSC는 압축강도가 높고 건조수축, 크리프가 작은 고강도 콘크리트를 사용한다. 일반적으로 40MPa 이상을 고강도 콘크리트라고 규정하고 프리스트레스트 콘크리트에는 40MPa 정도의 고강도 콘크리트가 사용된다. 본 연구는 AUTODYN 라이브러리에서 제공하는 RHT(The Riedel-Hiermaier-Thoma) 콘크리트 모델을 기본으로 하였다. RHT 콘크리트 모델은 충돌이나 폭발 등에 주로 사용되는 재료모델이다. 폭발하중을 받는 부재는 다양한 변형속도를 받는 만큼 콘크리트의 응력-변형률 곡선도 다양하게 나타난다. Fig. 5에서 보면 알 수 있듯이 정적하중을 받는 콘크리트에 비해 변형속도가 큰 동적하중을 받을 때 더 큰 응력에 저항한다는 것을 많은 연구를 통해 규명되었다. 그러나 RHT 콘크리트는 초기 상태를 삼축응력 기준으로 고려하여 과도한 강도를 갖기 때문에 Nystrom and Gylltoft(2009)이 수정한 모델을 적용하였다. 이를 통해, 주응력에 의한 인장파괴가 발생하게 하고 균열의 영향을 고려할 수 있도록 하였다.
3.2 프리스트레싱
강연선은 KS D 7002 규격의 SWPC 7연선 A종과 7연선 B종을 선정하였다. A종은 인장강도가 1720N/mm2 급이고, B종은 인장강도가 1860N/mm2 급으로 7연선 A종과 B종 모두 연신율은 3.5%이상이다. 프리스트레싱 텐돈은 인장강도가 높아야 하고 항복비가 커야 한다. 강연선은 응력 - 변형률 곡선에서 철근과 비슷한 형상을 보이기 때문에 철근과 유사한 거동을 보이는 Johnson-Cook 모델을 수정하여 사용하였다.
4. 폭발하중을 받는 프리스트레스 부재의 해석
4.1 해석기법의 검증
본 연구는 Tuan Ngo 등(2007)의 실험결과와의 비교를 통하여 폭발하중을 받는 고강도 프리스트레스 콘크리트 모델의 재료모델과 해석기법을 검증하고자 하였다. Tuan Ngo 등(2007)은 6Ton의 TNT를 2000×1000×100(mm)의 패널 부재에 이격거리 30m로 폭발실험을 수행하였다. 텐돈은 패널의 중간에 위치하고 프리스트레스는 텐돈 극한강도의 20%를 가하였다. 슬래브의 수직방향은 단순지지, 수평방향은 자유단으로 경계조건을 지정하였다. 콘크리트 압축강도는 164.2MPa, 2000mm 방향으로 15.2mm 텐돈을 폭발 후 패널의 중간 지점에서 최대 변형 값을 측정하여 해석결과를 비교하였다. 패널 중간 지점에서 압력 변환기로 측정한 반사 압력과 최대 변위는 Tuan Ngo 등(2007)이 실시한 실험에서 1513kPa, 37mm였고, AUTODYN 프로그램은 1178kPa, 30.2mm로 해석결과가 나타났다. 실험과 해석결과 오차율은 반사 압력이 약 22%의 오차가 발생하였고 최대 변위는 약 18%의 오차가 발생하였다. 이는 실험 당시 환경 조건이나 폭약의 형태 등의 차이가 최대압력과 충격량에 영향을 줄 수 있다는 점을 감안해야 한다. 또한 텐돈의 초기 장력의 손실, 콘크리트와의 마찰력 등 해석상 텐돈의 거동이 실제 거동과 상이한 점을 고려하면 수용할 만한 오차로 판단된다.
Table 1
Comparison of experimental results and analytical value
| Tuan Ngo et al. (2007) | Analysis results | Difference | |
|---|---|---|---|
| Pressure | 1513kPa | 1178kPa | 22 % |
| The maximum displacement | 37mm | 30.2mm | 18 % |
4.2 해석모델 및 변수
해석 모델은 Fig.7과 같이 1500×1500×200(mm) 패널의 상부와 하부에 철근을 배근하고 단면 중앙에 텐돈을 150mm 간격으로 배치하였다. 폭발은 TNT 500kg을 부재와 이격거리 3m 위치에서 수행하였다. 양단 단순 지지로 경계조건을 지정하였다. 변위 측정 게이지는 폭발을 받는 면의 중앙 지점에 설치하여 중간 지점의 변위를 기록하였다.
해석 후 모델의 파쇄 형태는 폭발하는 순간의 파쇄를 고려하여 폭발을 받는 면의 형상을 나타내었다. 그리고 폭발이 발생하면서 압력파가 슬래브의 후면에 더 큰 충격을 주는 것을 고려하여 Damage Contour는 슬래브 후면에 대해 나타내었다. 모든 해석 모델에 지름 13mm, 항복강도 400MPa의 철근을 100mm 간격으로 동일하게 하였다.
콘크리트 강도는 프리스트레스트 콘크리트의 중요한 구성요소로 35Mpa의 일반강도 콘크리트와 140MPa의 초고강도 콘크리트 강도를 변수로 선정하였다. 프리스트레스의 효과를 분석하기 위해 프리스트레스 도입 여부, 프리스트레싱 크기를 변수로 선정하여 해석을 수행하였다. Table 2에 해석변수를 나타내었다. 콘크리트 모델을 Group A, 철근 콘크리트 모델을 Group B, 프리스트레스를 도입한 콘크리트 패널 모델을 Group C, 철근 콘크리트 모델에 프리스트레스를 도입한 패널 모델을 Group D로 분류하였다.
Table 2
The variables used in the analysis
4.3 Mesh 크기 선정
유한요소해석에 있어 mesh의 크기는 해석결과의 정확성을 결정하기 때문에 적합한 mesh의 크기를 선정하는 것이 중요하다. 이를 위해 해석모델의 mesh 크기를 조절하여 해석 결과를 비교하였다. Table 3에 나타낸 결과와 같이, 25× 50×50(mm)과 50×50×50(mm)로 mesh 요소 수를 증가시킨 경우, 최대 변형 해석결과 차이는 0.45mm로 크지 않았으나 해석 소요시간은 2배 이상 소요되었다. 따라서, 경제적인 해석시간을 고려하여 50×50×50(mm)로 mesh 크기를 선정하였다.
5. 해석 및 결과 분석
5.1 콘크리트 강도에 따른 결과 및 분석
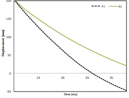
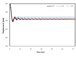
프리스트레스는 초기 인장력 때문에 고강도 콘크리트를 사용한다. 본 해석에서는 콘크리트 강도를 35MPa, 140MPa의 두 가지 강도로 선정하여 해석을 진행하였다. Fig. 8의 그래프처럼 강도가 다른 두 콘크리트 패널 부재를 폭발이 발생한 후 0~100ms까지 변위 비교 그래프를 보았을 때 기울기 차이가 현저히 달라 콘크리트 강도에 따라 폭발하중에 대한 저항 성능 차이가 크다는 것을 알 수 있다. 폭발이 일어난 후 A그룹은 모두 파쇄되어 형상이 사라졌다. 변위가 0이 되는 시점을 완전히 파괴된 상태라고 볼 때 A1은 69ms, A2는 100ms에서 변위가 0이 되었다. Fig. 9의 그래프에서 보면 철근 콘크리트 패널도 콘크리트 강도에 따라 거동의 큰 차이를 보였다. B1의 경우는 게이지가 설치된 부분이 파괴되면서 변위 그래프 형상과 같이 갑작스런 변화를 보인 것으로 판단된다. C그룹은 Fig.10과 같이 C1은 최대 변형이 12 mm, C2가 최대 변형이 9.8mm 정도로 콘크리트 강도에 따른 변형 차이가 A, B그룹에 비해 작았다. 프리스트레스를 도입한 철근 콘크리트인 D그룹도 최대 변형이 D1이 6mm, D2가 4mm로 2mm 정도 미세한 차이를 보였다(Fig.11).
Fig 12, Fig 13은 콘크리트 강도가 다른 각 그룹 모델들의 파쇄 형상을 비교한 그림이다. Fig.12는 35MPa 강도를 지니는 형상으로 요소가 상당부분 파괴된 형상을 보인다. 그에 비교해 Fig.13은 140MPa 강도를 지니는 모델의 파괴 형상으로 요소의 파괴정도가 35MPa 강도 파쇄 형상에 비해 눈에 띄게 줄었다.
5.2 프리스트레스 도입에 따른 결과 및 분석
프리스트레스에 따른 폭발저항 성능을 평가하기 위해 크게 프리스트레스를 도입한 부재와 도입하지 않은 부재를 변수로 선정하였다. 프리스트레스를 도입하지 않은 부재는 콘크리트 패널, 철근 콘크리트 패널이며, 두 패널에 프리스트레스를 도입한 패널로 해석을 수행하였다. 위 해석을 수행하며 50×50 ×50(mm) 메쉬 크기, 콘크리트 강도 140MPa일 때 부재의 파손 정도가 적어서 프리스트레스의 폭발저항 효과를 비교하기 적당하므로 해석 변수로 선정하였다. 콘크리트 패널은 완전히 파쇄되는 형상을 보였고, 철근 콘크리트 패널은 콘크리트 패널에 비해 변형이 확연히 줄었지만 해석 도달 시간까지 지속적으로 변형되는 형상을 보였다. 프리스트레스를 도입한 콘크리트 패널은 철근 콘크리트 패널과 유사한 변형을 나타냈고, 프리스트레스를 도입한 철근 콘크리트 패널은 가장 작은 변형을 보였다. Fig. 15는 140MPa의 콘크리트 강도에서의 Damage Contour이다. 이는 Fig.13의 파쇄형상을 Damage Contour로 나타낸 것이다. A2와 C2의 손상 정도를 비교해 보면 콘크리트 부재(A2)에 텐돈만을 도입함으로써 손상 정도가 확연히 줄어들어 폭발에 저항 성능이 증가함을 알 수 있다. Fig 14를 보면 프리스트레스를 도입한 콘크리트 패널(Group C), 철근 콘크리트 패널(Group B), 프리스트레스를 도입한 철근 콘크리트 패널(Group D) 순으로 변형 정도가 작아진다. 프리스트레스를 도입한 두 모델 C2, D2를 보면, 초기에 4~10mm정도 변형이 발생하지만 그 이후 초기 변형 정도를 유지하기 때문에 프리스트레스 도입이 폭발 하중 시 균열 제어에 효과적이라는 것을 알 수 있다. Fig 15를 보면 그 차이를 더 잘 알 수 있다. B2 부재는 폭발 후 지속적으로 변형이 발생하여 폭발 해석을 수행한 시간인 200ms까지도 변형이 발생하는 것을 볼 수 있다. 그러나 C2 부재는 B2 부재보다 최대 변위는 조금 더 크지만 폭발 발생 후 7ms에서 최대 변형이 측정되고 해석이 도달한 시간까지 변형 형상을 유지하였다. D2는 4.98ms에서 최대 변형이 발생하고 해석 도달 시까지 형상을 유지하였다. 이는 네 부재 중 가장 작은 변위를 발생하고 빠른 시간 안에 변형 상태를 회복하여 유지함으로써 폭발 하중에 가장 큰 저항성능을 지니고 있음을 알려준다.
5.3 프리스트레싱 크기에 따른 결과 및 분석
C그룹은 프리스트레싱 크기가 커질수록 변위가 2~3mm씩 변위가 줄었다(Fig. 16). D그룹은 프리스트레싱 크기가 커질수록 약 0.6mm 정도씩 변위가 감소하였다(Fig. 17). 철근 콘크리트 부재보다 콘크리트 부재에 프리스트레스를 도입했을 때 프리스트레스의 폭발에 대한 저항 성능이 더 크게 나타났다.
6. 결 론
본 연구에서는 폭발하중을 받는 프리스트레스 콘크리트 부재의 거동을 평가하기 위해 Autodyn을 사용한 해석기법을 제안하고 이에 대한 결과를 기존 연구자의 실험결과와 비교하였다. 해석결과와 실험결과는 변위 측면에서 약 18%의 오차를 보여 해석기법의 타당성을 검증하였다. 또한 콘크리트 강도 및 프리스트레스 도입 여부, 프리스트레싱의 크기를 변수로 해석을 수행하여 폭발 하중을 받을 때의 거동과 최대 변형을 해석을 통해 비교하였다. 콘크리트 패널 부재는 콘크리트 강도가 큰 140MPa의 경우에 35MPa 콘크리트 강도보다 폭발 하중에 저항 성능이 매우 우수했지만, 철근 콘크리트 부재에 프리스트레스가 도입되면 콘크리트 강도에 따른 효과가 큰 차이를 보이지 않는 것으로 나타났다.
프리스트레스를 도입한 부재는 4~6ms 내에 최대 변형이 발생한 후, 해석 종료 시간까지 변형을 유지하여 프리스트레스가 도입되지 않은 부재와 다른 거동을 나타냈다. 이는 프리스트레스가 도입됨으로써 폭발에 대한 저항성능이 향상한다는 것을 알 수 있다. 콘크리트 부재에 있어, 최대변형은 프리스트레싱이 100kN인 경우 187mm, 500kN인 경우 191.5 mm로 약 4mm 정도 변위가 감소하였다. 철근 콘크리트 부재에 프리스트레스를 도입한 경우는 최대 변형이 프리스트레싱이 100kN인 경우 195.7mm, 500kN인 경우 196.02 mm로 약 0.3mm정도 변위가 감소함을 보였다. 프리스트레싱 크기의 영향은 철근 콘크리트 부재에 프리스트레스를 도입한 D그룹보다 콘크리트 부재에 프리스트레스를 도입한 C그룹이 변위 감소 정도가 더 크기 때문에 프리스트레스가 미치는 효과가 더 크게 나타났다. 철근 콘크리트 부재에 프리스트레스를 도입한 패널(D그룹)이 각 변수에 따른 파쇄 형상과 변위를 비교했을 때 폭발 하중에 대한 저항성능이 가장 큰 것으로 나타났다.






























