1. 서 론
2. 재료 물성
2.1 강재의 열물성 및 역학적 물성
2.2 콘크리트의 열물성 및 역학적 물성
3. 비선형 구조화재해석을 위한 소성모델
3.1 콘크리트 소성손상모형
3.2 콘크리트 소성손상모형의 강성도 저하지수 결정
4. 무피복 강합성보의 구조화재해석
4.1 강합성보의 제원 및 유한요소모델링
4.2 구조화재해석 결과
5. 내화피복 효과
5.1 내화피복 효과 모델링
5.2 내화피복을 고려한 구조화재해석 결과
6. 결 론
1. 서 론
최근 재난재해에 대한 안전이 사회적 이슈로 부각됨에 따라 건축물과 사회기반구조물의 화재 안전이 큰 관심사가 되고 있다. 미국, 유럽 등에서는 구조물의 내화성능을 향상시키기 위해 화재에 취약한 중요 부재에 대해 내화피복을 적용한다. 특히 강재의 경우에는 800°C 이상의 고온에 장시간 노출될 경우 강도 및 강성이 급격히 저하되므로(Choi, 2008) 구조성능 유지를 위해 화재로부터 구조물을 보호하는 것이 중요하다. 국내에서도 원전구조물의 성능기반 내화설계에 대한 관심이 높아짐에 따라 보, 기둥, 슬래브, 전단벽, 접합부와 같은 주요 부재의 내화성능 평가가 요구되고 있다. 이를 위해서는 이러한 부재의 화재 시 온도와 구조거동을 정확히 계산할 수 있는 구조화재해석 기법과 내화피복 효과를 정량적으로 모델링하는 방법이 필요하다. 이 논문에서는 국내 원전구조물에 사용되는 강합성보를 대상으로 정적 재하상태에서의 화재 시 열응력 응답을 계산하는 해석방법을 제시하고 이러한 응답에 대한 내화피복의 영향을 평가한다.
힘을 받는 구조 부재가 화재로 인해 장시간 가열되면 재료의 열전도나 열팽창에 의해 부재에 대변형이 발생한다. 화재 시 발생하는 이러한 현상을 정확히 예측하는 것은 화재로 인한 구조 영향 평가와 내화구조 설계에 있어 매우 중요하다. 이를 위해 지난 수십 년간 화재 시 온도와 변형을 부재 수준에서 정밀하게 계산하는 연구와 다양한 부재들로 구성된 구조시스템의 화재 영향을 평가하는 연구가 활발히 이루어져 왔다(Iu, 2004). 최근에는 온도에 따른 재료 물성의 비선형성을 반영해 열전달해석과 구조해석을 병행하는 구조화재해석 기법이 제안된 바 있다(Kang et al., 2020; Pak et al., 2016, 2018). 그러나 그 연구에서는 화재 시 콘크리트와 강재의 열팽창률을 제대로 반영하지 않아서 해석 지속시간이 짧았고 콘크리트의 내부 온도가 실험 결과와 차이가 컸다. 이 연구에서는 재료의 열팽창 효과를 반영해 그러한 구조화재해석 기법을 보완하고 전역화재 시 강합성보의 내부 온도 및 구조응답 결과의 정확도를 개선하였다. 또한 강재거더 표면에 부착하는 내화피복의 모델링 방법을 제안하고 화재 시 강합성보의 온도 및 수직처짐에 대한 내화피복의 영향을 제시하였다. 특히 외기로부터 구조물 표면으로 전달되는 열의 비율을 나타내는 열전달계수를 사용하여 내화재의 방화효과를 구현하였으며, 내화피복의 모델링을 위한 적정 열전달계수의 범위를 제시하였다.
이 논문의 구성은 다음과 같다. 2장에서는 이 연구에서 사용한 강재와 콘크리트의 열물성 및 역학적 물성을 소개하고 3장에서는 비선형 구조화재해석을 위한 콘크리트의 소성손상모형을 설명한다. 4장에서는 무피복 강합성보의 구조화재해석 결과를 제시하고, 이어서 5장에서는 내화피복의 모델링 방법과 이를 활용한 구조화재해석 결과를 제시한다. 끝으로 6장에서는 연구의 종합 결과 및 결론을 논한다.
2. 재료 물성
2.1 강재의 열물성 및 역학적 물성
강재의 열팽창율, 비열, 열전도도는 온도가 증가함에 따라 변한다. Eurocode 3(European Committee for Standardization, 2017), American Society of Civil Engineers(ASCE) Manual No. 78(Lie, 1992) 등 국제 표준 또는 매뉴얼에서는 실험 데이터를 기반으로 강재의 열물성 식을 제시한다. 이 연구에서는 강합성보의 구조화재해석을 위해 Eurocode 3에 제시된 강재의 열물성 식을 이용하였다. Fig. 1은 Eurocode 3에 제시된 강재의 열물성으로서 온도 T에 대한 강재의 열팽창율, 비열, 열전도도를 나타낸다.
Eurocode 3는 실험 데이터를 기반으로 온도별 강재의 응력-변형률 관계식을 제시한다. Fig. 2는 이렇게 정의된 강재의 응력-변형률 그래프이다. 이 응력-변형률 관계는 선형탄성 구간, 탄성한계 후의 비선형 구간, 완전소성 구간, 변형연화 구간으로 구성되며 는 각각 온도 T에서의 탄성한계강도, 항복강도, 탄성계수를 나타낸다. 는 각각 온도 T에서의 항복변형률, 완전소성 한계변형률, 극한변형률로서 온도에 관계없이 각각 0.02, 0.15, 0.2이다.
2.2 콘크리트의 열물성 및 역학적 물성
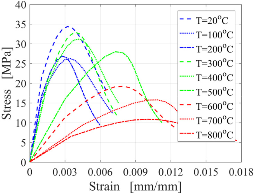
이 연구에서는 콘크리트의 열물성 및 역학적 물성을 구하기 위해 경기도 여주시 소재 방재시험연구원에서 수행된 화재 온도별 재료실험 결과(Fire Insurers Laboratory of Korea, 2016)를 이용하였다. Table 1은 상온(20°C)부터 800°C까지 측정한 콘크리트의 열물성 및 역학적 물성 값을 나타낸다. 온도가 증가할수록 콘크리트의 열팽창율과 비열은 증가하고 열전도도는 전반적으로 감소한다. Fig. 3은 상온부터 800°C까지 콘크리트 공시체 실험으로부터 측정한 응력-변형률 관계를 나타낸다. 상온에서 100°C까지는 온도 상승에 따라 콘크리트의 압축강도가 감소하다가 200°C에서 300°C 사이에서는 압축강도가 상온과 유사한 수준으로 회복되며 300°C 이후로는 온도가 증가할수록 압축강도가 감소함을 알 수 있다.
Table 1
Thermal and mechanical properties of concrete obtained from material tests(Fire Insurers Laboratory of Korea, 2016)
3. 비선형 구조화재해석을 위한 소성모델
구조화재해석을 위해서는 고온에서 강재와 콘크리트의 비탄성 거동을 잘 모사할 수 있는 소성해석 모델이 필요하다. 이 연구에서는 강재의 소성모델로서 von Mises 모델을 사용하였고 콘크리트에 대해서는 Lee와 Fenves(1998)의 소성손상모형을 적용하였다.
3.1 콘크리트 소성손상모형
Lee와 Fenves의 소성손상모형은 연속손상역학을 기반으로 한 콘크리트의 소성해석 모델로서 반복하중을 받는 콘크리트 재료의 균열손상을 표현하기에 적합한 비탄성 수치해석 모형이다. 이 모델에서는 콘크리트의 응력-변형률 관계를 식 (1)과 같이 나타낸다.
여기서 는 응력텐서, 는 유효응력텐서, 은 탄성강성도텐서, 은 변형률텐서, 은 소성변형률텐서이다. D는 강성도저하변수로서 콘크리트의 손상으로 인한 유효응력의 감소를 표현한다. 강성도저하변수 D는 식 (2)와 같이 내부 손상변수의 함수인 압축강성도 저하지수 와 인장강성도 저하지수 로 표현된다(Lee and Fenves, 1998).
여기서 s는 균열의 닫힘을 표현하는 항이다. Fig. 4에서 는 콘크리트의 일축압축응력이고 는 초기탄성계수이며 와 은 각각 콘크리트의 비탄성 압축변형률과 소성변형률을 나타낸다. 비탄성 압축변형률 를 다음과 같이 전체 변형률 와 초기탄성변형률()로 표현할 수 있고 소성변형률 을 와 에 대해 나타낼 수 있다.
3.2 콘크리트 소성손상모형의 강성도 저하지수 결정
상용 유한요소해석 소프트웨어인 ABAQUS(Dassault Systems, 2017)를 이용해 콘크리트의 소성손상모형을 구현하기 위해서는 비탄성 압축변형률 에 대응되는 압축강성도 저하지수 값을 결정해야 한다. 이를 위해 이 연구에서는 Pak 등(2018)의 선행연구에서 제안한 압축강성도 저하지수 계산 방법을 이용한다. Lee와 Fenves 소성손상모형의 압축강성도 저하지수 는 식 (4)와 같이 정규화된 단위부피당 소산에너지로 정의된다.
여기서 는 콘크리트의 총 비탄성 소산에너지이다. 콘크리트의 일축압축응력 와 비탄성변형률 는 다음과 같이 미정계수 A와 B를 갖는 지수함수의 형태로 표현될 수 있다(Lubliner et al., 1989; Pak et al., 2018).
이 식에서 첫 번째와 두 번째 지수 항들은 각각 콘크리트의 변형경화와 변형연화 현상을 표현한다. 는 콘크리트 압축강도의 50%에 해당하는 값이다. 콘크리트 공시체의 일축압축실험으로부터 얻은 응력-비탄성변형률 데이터에 대해 식 (5)의 비선형 회귀분석을 수행하면 미정계수 A와 B를 구할 수 있다. Fig. 5(a)는 콘크리트 공시체 실험으로부터 얻은 응력-비탄성변형률 데이터와 이를 식 (5)의 지수함수를 이용하여 회귀시킨 곡선을 나타낸다. 이렇게 구한 응력-비탄성변형률 관계 함수를 식 (4)에 대입해 콘크리트 비탄성변형률에 따른 압축강성도 저하지수를 계산할 수 있다. Fig. 5(b)는 이러한 방법을 이용해 구한 콘크리트의 온도별 압축강성도 저하지수와 비탄성변형률 사이의 관계를 나타낸다.
4. 무피복 강합성보의 구조화재해석
4.1 강합성보의 제원 및 유한요소모델링
이 연구의 강합성보는 슬래브의 폭과 길이가 각각 1m와 5m이며 강재거더의 높이가 347mm인 단순지지보로서 국내 원전 보조건물에서 사용하는 강합성보와 동일한 형식의 축소 구조물이다. 슬래브의 두께는 210mm이고 강재거더는 American Society for Testing and Materials(ASTM)의 W14×43 규격을 갖는 I형 거더이다. Fig. 6은 이러한 강합성보의 측면 개략도와 단면도를 나타낸다.
이 강합성보의 중앙부에 1m 간격으로 119.5kN 크기의 집중하중 두 개를 재하하고 보의 하부 중앙 4m 길이 구간에 화재를 발생시켰다. Fig. 7(a)는 이 강합성보의 실물 화재실험체를 나타낸다. 화재하중으로는 Fig. 7(b)과 같은 ASTM E119의 표준화재곡선을 사용하였다(American Society for Testing and Materials, 2016). 이 화재곡선은 시간에 따른 화재 온도 변화를 나타내며 건축 및 토목구조물의 내화성능평가에 주로 사용된다(ASTM, 2016). ABAQUS를 이용해 이 강합성보의 유한요소모델을 구성하였다. 콘크리트 슬래브와 강재거더는 8절점 열응력 솔리드요소(C3D8T)로 모델링하였고 슬래브 보강 철근 모델링에는 2절점 트러스요소(T3D2)를 사용하였다. 이 연구에서는 콘크리트 슬래브와 강재거더의 완전합성거동을 가정하며, 이를 위해 콘크리트와 강재 요소 노드는 완전부착 상태로 모델링하였다.

Fig. 7.
Structural fire experiment of the composite beam; (a) The composite beam placed on the furnace(Fire Insurers Laboratory of Korea, 2016); (b) ASTM Standard fire curve
4.2 구조화재해석 결과
이 연구에서는 강합성보의 3차원 유한요소모델에 대해 매 시간 단계마다 열전달해석과 구조해석을 병행하는 열-구조 연동해석을 수행해 강합성보의 내부 온도 및 수직처짐을 구하였다. 이 때 강재와 콘크리트의 열물성 및 역학적 물성을 온도에 따라 반영하였다. Fig. 8은 ASTM E119 표준화재곡선에 따라 열을 가한 지 28분 후에 계산된 유효 소성변형률의 분포를 나타낸다. 화재의 영향을 가장 크게 받는 중앙부와 반력이 집중되는 지점부에서 소성변형률이 크게 발생함을 알 수 있다. 중앙부 A-A 단면 하단에서의 유효 소성변형률 값은 종방향 1/4 위치 B-B 단면 하단에서의 유효 소성변형률 값에 비해 약 4.4배 크다. 또한 화재로 인한 온도가 900°C에 가까운 상황에서 집중하중이 재하되는 위치에 소성힌지가 발생함을 알 수 있다. Fig. 9는 A-A 단면과 B-B 단면에서 강합성보 두께 방향으로의 휨응력 분포를 나타낸다. A-A 단면에서 온도가 600°C 이상인 경우에는 강재의 항복강도 저하로 인해 거더 하부플랜지의 휨응력이 점차 감소하는 반면, 단면 내 모멘트를 유지하기 위해 상부플랜지의 휨응력이 증가함을 알 수 있다. B-B 단면의 경우에는 A-A 단면에 비해 휨모멘트의 크기가 작아서 고온에서도 휨응력 분포가 선형에 가깝다.
Fig. 10은 화재 열-구조 연동해석으로부터 구한 보 중앙부 수직처짐의 시간이력을 실험 결과와 함께 나타낸다. 또한 동일한 강합성보에 대해 Pak 등(2018)이 구한 중앙부 수직처짐 결과도 제시하였다. Pak 등(2018)의 수치해석 결과는 초기에는 실험결과와 비슷하지만 약 10분까지밖에 지속되지 못했다. 이는 Pak 등(2018)의 구조화재해석 방법이 온도에 따라 다른 강재와 콘크리트의 열팽창률을 고려하지 못했기 때문인 것으로 평가된다. 이 연구에서는 온도에 따라 변하는 재료의 열팽창률, 비열, 열전도도를 모두 고려했으며, 그 결과 보가 화재로 인해 한계상태에 도달한 28분까지 고온에서의 비탄성 구조응답을 구할 수 있었다. 이 결과는 실험값과 비교해 볼 때 초기 시간에서의 오차는 비교적 크지만 한계상태 시간에 가까울수록 오차가 3% 이내로 유지되므로 비교 대상 결과보다 정확도가 높다고 할 수 있다. Fig. 11은 슬래브 내 열전대(thermocouple) 위치에서의 측정 온도와 계산 온도를 나타낸다. 슬래브 하단에서는 차이가 있으나 전반적으로 온도 계산 결과가 측정 결과와 유사하다고 평가된다. Table 2는 보 중앙부 수직처짐과 슬래브 내부 온도 및 계산 오차를 나타낸다.
Table 2
Deflection and temperature of the beam due to the ASTM E119 standard fire
5. 내화피복 효과
5.1 내화피복 효과 모델링
내화재를 적용한 구조물의 열응력 응답을 계산하기 위해서는 내화재의 방화효과를 모델링해야 한다. 이를 위해 내화피복을 직접 모델링하는 방법이 있는데(Tomecek and Mike, 1993), 이는 구조물의 유한요소모델에 내화피복 요소를 추가하고 피복 재료의 열물성을 반영하는 것이다. 이 경우 내화피복을 사실적으로 표현할 수 있으나 일반적으로 피복 두께가 작으므로 부재와의 교차부에서 격자망이 복잡해지고 자유도가 증가한다. 따라서 이 연구에서는 구조물 표면에 내화재의 열적 특성을 반영하여 내화피복 효과를 모델링하였다. 이는 화재로 인한 열이 구조물 표면의 온도 상승에 미치는 영향을 나타내는 열전달계수를 감소시켜 내화피복 효과를 모델링하는 방법이다. 열전달계수는 열 흐름과 온도 차 사이의 비례상수로 정의된다.
여기서 h(W/m2°C)는 열전달계수, q(W/m2)는 단위면적 당 열류, 𝛥T(°C)는 외기와 구조물 표면의 온도 차이다. 일반적으로 상온에서의 열전달계수는 5W/m2°C이고 화재 시에는 25W/m2°C 이상인 것으로 알려져 있다(European Committee for Standardization, 2017). 이 연구에서는 Table 3과 같이 내화피복의 열 차단효과를 네 가지 경우로 나누어 강합성보의 구조화재해석을 수행하였다. 내화피복은 강재거더에만 적용하였으며, 따라서 콘크리트 가열면과 비가열면의 열전달계수는 변화시키지 않았다. Case 1은 무피복 강합성보의 경우이고 Case 2에서 4로 갈수록 내화피복의 방화효과가 커짐을 나타낸다. Fig. 12는 강합성보의 내화피복 면과 화재 가열면을 보여준다.
Table 3
Four cases of modeling the fire-resistant effect
5.2 내화피복을 고려한 구조화재해석 결과
Table 3의 네 가지 경우에 대해 ASTM E119의 표준화재곡선을 따라 2시간 동안 강합성보의 열전달해석을 먼저 수행하였다. Fig. 13(a)와 13(b)는 각각 2시간 가열 이후 각 Case별 강재거더의 온도 분포와 거더 종방향 A-A 선을 따른 온도 분포를 보여준다. 이러한 결과는 내화피복을 고려해 열전달계수를 감소시킴에 따라 강재거더의 온도가 감소함을 의미한다. 2시간 가열 후 각 Case별 강재거더 중앙 단면 C 점에서의 온도와 그 퍼센트 감소율을 Table 4에 제시하였다. 열전달계수를 80% 줄인 Case 4의 경우에 2시간 가열 후 C 점의 온도는 무피복 강합성보 온도의 약 68%까지 감소함을 알 수 있다. 내화피복이 강재거더에만 적용되어 있으므로 콘크리트 슬래브의 온도 분포는 각 Case별로 큰 차이가 없다. 1시간 가열 시 슬래브 상면의 온도는 상온(20°C)과 비슷하지만 2시간 가열 후 약 90°C까지 상승하였다.
Table 4
Calculated temperatures at sampling point C for the four cases of heat transfer coefficient(after 2-hour heating)
내화피복이 적용된 강합성보에 대해 무피복 강합성보와 같은 방법으로 화재 시 열-구조 연동해석을 수행하였다. Fig. 14는 표준화재곡선을 따라 28분 동안 가열한 후 내화피복의 각 Case별 수직처짐 모습을 나타낸다. 내화피복을 고려해 강재거더 표면의 열전달계수를 감소시킨 결과, Fig. 13에서와 같이 거더의 온도만 줄어드는 것이 아니라 수직처짐도 현저히 감소함을 알 수 있다. Fig. 15는 내화피복을 적용하는 경우 화재의 진행에 따른 강합성보 중앙부 수직처짐의 시간이력을 나타낸다. 열전달계수를 80% 감소시킨 Case 4는 무피복 강합성보가 한계상태에 도달하는 28분에 수직처짐이 약 77% 감소하였다.
6. 결 론
이 연구에서는 화재 시 구조물의 열응력 응답을 계산하기 위해 열전달해석과 구조해석을 연동하는 구조화재해석 기법을 제시하고 전역화재 시 강합성보의 열응력 응답에 대한 내화피복의 효과를 분석하였다. 이 방법은 온도에 따라 변하는 재료의 열물성과 역학적 물성을 모두 고려한다. 국내 원전 보조건물에 사용되는 강합성보의 축소 구조물에 대한 구조화재해석 결과, 재료의 열팽창률을 고려하지 않은 선행연구의 열응력 응답을 개선할 수 있었다. 내화피복의 방화효과를 반영하기 위해 구조물 표면의 열전달계수를 감소시키는 방법을 제안하였다. 화재 시 열전달계수를 80%까지 줄이는 경우에 2시간 가열 후 강재거더의 온도가 무피복 강합성보 온도의 약 68%까지 감소하였다. 또한 내화피복 효과를 반영해 화재 시 열-구조 연동해석을 수행한 결과 무피복인 경우에 비해 거더의 온도뿐만 아니라 보의 수직처짐도 현저히 감소함을 알 수 있었다. 이 연구의 구조화재해석 방법은 강합성 부재의 성능기반 내화설계 및 구조성능 평가에 활용될 수 있다.
















