1. 서 론
철골모멘트골조는 높은 연성능력을 갖는 구조시스템으로 1994년 Northridge 지진 및 1995년 Kobe 지진이후에 SAC steel project 등을 통해서 철골모멘트골조의 내진성능향상을 위한 연구가 꾸준히 진행되어 왔으며, 미국 서부 등의 강진대를 중심으로 널리 적용되고 있는 구조시스템이다. 테러에 의한 2001년 세계무역회관의 붕괴 이후에 철골모멘트골조의 뛰어난 연성능력은 연쇄붕괴관련 연구자들에게 다시 한번 주목받는 계기가 되었다. 본 연구에서도 이러한 점에 착안하여 철골모멘트골조를 대상으로 연구를 수행하였다.
현재의 대표적인 연쇄붕괴저항설계 지침서(GSA, 2003; DoD, 2009)에서 제시하고 있는 연쇄붕괴저항설계법으로는 대체경로법(alternate path method), 긴결력법(tie force method), 그리고 국부저항보강법(enhanced local resistance method)등의 세 가지로 구분된다. GSA 2003(2003)은 대체하중경로법에 의한 연쇄붕괴저항설계방안만을 제시하고 있으며, UFC 4-023-03(DoD, 2009)은 대체경로법, 긴결력법, 그리고 국부저항보강법에 의한 설계방안을 모두 제시하고 있다. 대체경로법은 가상의 기둥제거 시나리오 하에서 구조물과 부재의 강성 및 강도를 증가시켜서, 제거된 기둥이 저항하던 하중에 대해서 인접부재가 연쇄붕괴에 충분히 저항할 수 있도록 하는 설계법이다. 긴결력법은 경간길이의 20% 처짐에서 발생하는 긴결력에 대해서 구조부재와 접합부가 견딜 수 있도록 설계하는 경험적인 사양적 방법론(prescriptive methodology)으로서, 연쇄붕괴저항능력을 향상시키기 위해서 각 구조부재간이 구조적 일체성(structural integrity)을 갖도록 설계하는 방안이다. 마지막으로 국부저항보강법은 건물의 일정 부위에 일정이상의 충분한 강도를 갖도록 설계하는 방안이다. 본 연구에서는 최근 일반적으로 적용되고 있는 대체경로법에 기초하여 연구를 수행하였다.
위에 기술한 세 가지의 연쇄붕괴저항설계법 중에서 긴결력법과 대체경로법만이 연쇄붕괴에 대한 바닥슬래브의 역할을 요구한다. 긴결력법에서는 구조물의 구조적 일체성을 확보하기 위해서 바닥슬래브의 역할이 매우 중요하기 때문에, UFC 4-023-03(DoD, 2009)은 슬래브의 장단변방향에 대한 보강재의 긴결력, 분배, 그리고 배치 등 세밀하게 성능요구조건을 기술하고 있다. 반면에 대체경로법에서 바닥슬래브는 폭발 순간에 발생하는 임의의 상향 하중(upward load)에 대해서만 견디도록 설계할 뿐, 연쇄붕괴에 대한 바닥슬래브의 직접적인 역할은 무시한다.
최근에 기둥제거 시나리오하에서 철근콘크리트 슬래브 및 합성슬래브의 연쇄붕괴거동에 대한 다양한 실험 및 해석적 연구가 수행되었다. Astaneh-Asl 등(2001)은 연쇄붕괴에 대한 대응전략으로서 프리스트레스 강선을 보강한 합성슬래브를 갖는 철골모멘트골조의 연쇄붕괴저항성능에 대한 실험적 연구를 수행하였다. Izzuddin 등(2008)은 각층의 슬래브의 응답을 조합하여 다층골조의 연쇄붕괴 응답을 연산하는 근사해석법을 제안하였다. Main 등(2009)은 철골모멘트골조의 연쇄붕괴 전산구조해석을 위한 합성슬래브와 다양한 철골모멘트 접합부의 모델링방안을 제시하였다. Dat 등(2011)은 수치해석을 통해 한 개의 내부기둥이 제거된 시나리오하에서 경계조건에 따른 철근콘크리트 슬래브의 변형양상 및 변형능력을 확인하였고, 막작용(membrane action)에 의한 철근콘크리트 슬래브의 연쇄붕괴 저항성능을 살펴보았다.
이러한 다양한 실험적, 해석적 연구들은 내부기둥이 제거된 사건에 대해서 연구가 대부분 집중되어 있으며, 외주부 골조에서 하나의 내부기둥이 제거된 연쇄붕괴사건에 대한 바닥슬래브의 효과는 아직까지 확실하게 규명되지 않은 상태이다. 연쇄붕괴시 바닥슬래브의 역할에 대한 지식부족 등을 이유로 연쇄붕괴방지설계 및 해석시에 바닥슬래브의 영향은 무시한다. 본 연구에서는 유한요소해석을 토대로 기둥제거 시나리오하에서 바닥슬래브의 거동을 살펴보고, 바닥슬래브의 축인장력을 산정할 수 있는 근사적 해석모형을 제시하고자 한다. 아울러 구조설계 실무자들이 간편하면서도 효율적으로 활용할 수 있도록 에너지기반 비선형 정적 연쇄붕괴 근사해석법(energy-based simplified nonlinear static progressive analysis method, 이하 ENSM; Lee et al., 2009)에 바닥슬래브의 기여도를 포함하는 연쇄붕괴근사해석방안을 제시하고자 한다.
2. 기둥제거 시나리오하에서 바닥슬래브의 유한요소모델링 및 거동
2.1 유한요소모델링
Fig. 1에서 보듯이, 기둥제거 시나리오하에서 외주부 기둥 중 하나가 손실되었을 때, 철골모멘트골조는 크게 외주부 기둥이 손실된 상부골조로서 외주부 기둥이 손실되지 않은 인접골조로서 간접적인 영향을 받는 골조(indirectly affected part, 이하 IAP)와 직접적인 영향을 받는 골조(directly affected part, 이하 DAP)로 나뉜다. 본 연구에서는 철골모멘트골조의 외주부 기둥이 제거된 DAP의 부분골조모델(subassembly frame model)을 대상으로 연구를 수행하였다.
기둥제거 시나리오하에서 철골모멘트골조의 부분골조모델의 거동을 살펴보기 위해서 ABAQUS/Explicit(HKS, 2006)를 활용하여 재료적/기하학적 비선형 유한요소해석을 수행하였다. Fig. 2는 본 연구에서 사용된 부분골조모델의 상세도이다. 부분골조모델은 철골보(큰보와 직교보), 철골기둥, 그리고 골형 강재 데크(ribbed metal deck)를 갖는 합성슬래브로 구성된다(Fig. 2(a)참조). 직교보은 춤 깊이 75mm, 홈피치 300mm, 플레이트 두께 1.2mm의 강재 데크와 콘크리트 토핑두께 100mm를 갖는 총 두께 175mm의 바닥슬래브에 연결된다(Fig. 2(b)참조). 150×150mm의 WWF #6(지름=4.6mm) 와이어메쉬는 바닥슬래브에 근입되도록 모델링하였다. 수치해석모델의 큰보(즉, 2경간 보)는 H-700 ×300×13×24를, 기둥은 H-428×407×20×35를, 그리고 직교보는 H-506×201×11×19를 채택하였다. 보와 기둥, 그리고 패널존은 모두 강구조 한계상태설계법(AIK, 2009)의 내진기준에 근거하여 설계하였다. 모든 보는 완전합성보로서 수평전단은 전단연결재(shear connector)에 의해 강재와 콘크리트 사이에 온전히 전달되도록 모델링하였다. 본 연구의 주안점은 기둥이 손실된 부분골조모델의 저항성능에 대한 바닥슬래브의 기여도를 파악하기 위한 것이므로 용접부의 취성파괴와 같은 접합부의 파괴가능성은 배제하였다.
Fig. 3은 부분골조모델의 유한요소메쉬를 나타낸 것이다. 부분골조모델의 전면을 제외한 3면은 바닥슬래브와 인접한 구조부재들에 의해 제공되는 수평방향 구속효과를 갖도록 모델링하였다. 보, 기둥, 그리고 강재 데크는 4절점 쉘요소(S4R)를 사용하여 모델링하였다. 바닥슬래브의 토핑콘크리트는 8절점 연속체요소(C3D8R)를, 콘크리트에 근입된 와이어메쉬는 트러스요소(T3D2)를 사용하여 모델링하였다.
바닥슬래브의 콘크리트에 대한 압축강도, 탄성계수, 그리고 포아송비는 24MPa, 15GPa, 0.15를 각각 적용하였다. Fig. 4(a)에서 보여주듯이, 콘크리트의 응력-변형률 관계곡선은 콘크리트의 취성적 재료물성을 반영하여 모델링하였다. 콘크리트의 인장측 거동은 ACI 318-02(2002)에 따라 식 (1)의 휨강도(flexural strength,
)까지 선형거동을 하고, 휨강도 이후에 인장연화거동(tension softening)이 발현되는 것으로 가정하였다. 아울러 콘크리트의 전단계수(shear modulus)는 콘크리트의 균열에 의해서 저감되는데, 철근전단저항(dowel action)과 골재 맞물림(aggregate interlock)현상을 반영하는 전단유지계수(shear retention factor)를 고려하여 바닥슬래브의 전단응력이 감소되도록 하였다.
(1)
여기서,
는 콘크리트의 압축강도이다.
바닥슬래브의 강재데크와 와이어메쉬의 탄소성 응력-변형률 관계곡선은 Fig. 4(b)와 같다. 강재 데크와 와이어메쉬의 비선형거동은 등방성 경화모델 및 폰 미세스 항복조건에 의하였다. 강재 데크와 와이어메쉬의 항복강도는 국내에서 일반적으로 사용되고 있는 283MPa과 400MPa을 각각 적용하였다(Kim et al., 1996). 철골보와 철골기둥은 인장항복강도 384.7MPa, 인장강도 505.4MPa을 갖는 ASTM A992강재(Iwankiw et al., 2002)를 사용하였다. 보, 기둥, 와이어메쉬, 그리고 강재 데크 등 모든 강재의 탄성계수(E)는 2.06×106MPa이다. 대변형영역까지의 부분골조모델의 수직내력 대 변형 관계를 파악함에 있어서 재료의 파괴변형은 고려하지 않았다. 기둥이 제거되었을때, 동적거동의 변형률효과에 의한 강재의 항복강도와 인장강도의 증가는 크기 않기 때문에 재료 변형률효과는 본 연구에서는 반영하지 않았다(Powell, 2004).
Astaneh-Asl 등(2001)의 연쇄붕괴실험연구에서 전단연결재는 큰 문제점이 없었다. 이와 같은 연구결과를 바탕으로 연쇄붕괴시에 부분골조모델의 전단연결재에서는 변형이 발생하지 않을 것으로 가정하고, 본 연구에서의 ABAQUS(HKS, 2006)에서 점용접을 구현하는 *spot welding 함수를 사용하여 전단연결재를 모델링하였다.
유한요소해석을 수행하기에 앞서, 본 연구의 유한요소모델링기법의 타당성을 김규동 등(1996; Fig. 5참조)에 의해 수행된 합성슬래브의 실험결과와 비교하여 검증하였다. Fig. 6의 합성슬래브의 수직내력 대 수직변위 관계에서 보듯이, 합성슬래브의 초기거동부터 콘크리트의 균열에 의한 강도손실이후의 대변형영역까지 수치해석결과는 실험결과와 상당히 잘 일치한다.
2.2 기둥제거 시나리오하에서의 바닥슬래브의 거동
본 절에서는 유한요소해석결과를 통하여 강재 데크를 갖는 2경간 바닥슬래브의 거동을 살펴보고자 한다. 본 연구에서의 주요변형지표인 현회전각(beam chord rotation)은 바닥슬래브의 수직처짐(u)을 보의 순경간길이(L)으로 나눈 값이다(Fig. 7참조).
Fig. 8은 수치해석결과로부터 얻어진 2경간 철골보 모델(모델 A), 직교보를 포함한 2경간 철골보 모델(모델 B), 그리고 2경간 부분골조모델(모델 C) 등의 3가지 모델에 대한 수직내력 대 현회전각 관계를 나타낸 것이다. Khandelwal 등(2007)에 의해 이미 증명된 바와 같이, 기둥제거 시나리오하에서 직교보는 강구조물의 연쇄붕괴저항거동에 거의 영향을 주지 않음을 알 수 있다. 바닥슬래브가 대변형영역에서도 연쇄붕괴저항성능을 상실하지 않을 것이라고 가정할 때, 초기응답단계에서 연쇄붕괴에 대한 강구조물의 바닥슬래브의 기여도는 낮은 반면에 대변형영역에서 바닥슬래브는 큰 저항성능을 발휘함을 확인할 수 있다.
Fig. 9는 현회전각 20% radian에서 부분골조모델의 3차원 변형형상을 보여준다. 바닥슬래브의 와이어메쉬와 2경간 철골보의 축인장력(Twire, Tbeam)은 Fig. 9에서 보여주는 바와 같이 정의된다. 항복선에 의해 구절된 철근콘크리트 바닥슬래브의 붕괴메커니즘을 바탕으로 슬래브의 휨 종국내력을 계산하는 기존의 항복선 이론(yield line theory; 1962)과 달리, 기둥제거 시나리오하에서 바닥슬래브의 변형형상은 원호곡선을 나타낸다.

Figure 9
Deformed shape of subassembly frame model at beam chord rotation of 20% radians and definition of axial tensile forces by wire meshes and double-span beam
Fig. 10은 부분골조모델의 초기응답부터 대변형영역까지의 Tbeam과 Twire을 비교한 것이다. 본 연구는 와이어메쉬가 인접부재에 잘 정착되어 있고, 이음을 보장할 수 있을 때를 가정한 것이다. 철골모멘트골조는 뛰어난 연성능력을 갖고 있지만, 철골모멘트골조에 적용되는 합성슬래브는 구조체와의 접합방식 등으로 인해 폭발 등과 같은 이상극한하중에 대해서는 주요 구조체와의 일체화된 저항성능을 기대하기는 어렵다. 즉 일반적으로 강재 데크는 철골보의 상부 플랜지에 점용접에 의해서만 간단하게 고정되기 때문에 연쇄붕괴시 대변형영역에서 강재 데크에 대한 바닥슬래브의 기여도를 예측하는 것은 어렵다. 따라서 본 연구에서는 연쇄붕괴시에 강재 데크에 의한 기여도를 배제하고 와이어메쉬에 의한 축인장력만을 바닥슬래브의 기여도로 고려하였다. Fig. 10에서 보듯이, 2경간 철골보의 단면적에 비해 와이어메쉬에 의한 단면적이 상대적으로 매우 작기 때문에 대변형영역에서의 2경간 철골보의 축인장력에 비해 와이어메쉬의 축인장력은 상당히 작음을 알 수 있다. 참고로, 이것은 본 연구에서 사용된 보강재, 즉 와이어메쉬의 단면적이 매우 작기 때문이다. 실무에서 바닥슬래브의 보강재는 일반적으로 본 연구에서의 와이어메쉬보다 훨씬 큰 단면적을 갖도록 설계하기 때문에 보강재에 의한 축인장력은 본 연구결과보다 훨씬 클 것으로 예상된다.
본 연구의 주안점은 기둥제거 시나리오하에서 바닥슬래브의 변형형상을 이용한 바닥슬래브의 일방향 현수작용을 추적하여 바닥슬래브의 효과를 파악하는 것이다. Fig. 11은 현회전각 10% radian에서 부분골조모델의 직교보를 따라 배열된 2경간 보에 평행한 특정선(Line A∼L)을 따라 그려진 바닥슬래브의 수직 변형형상을 나타낸 것이다. Fig. 11의 세로축은 바닥슬래브에 대한 각 선의 수직변위를, 가로축은 손실된 기둥을 중심으로 양 슬래브의 단부까지의 거리를 나타낸다. 현회전각 10% radian에서 직교보의 특정선을 따라 그려진 바닥슬래브의 변형형상은 다양한 함수의 곡선을 나타냄을 알 수 있다. 하지만 전체적으로 직교보의 특정선을 따라 그려진 바닥슬래브의 변형형상은 거의 선형으로 모사할 수 있다. 더욱이 특정 현회전각(2.5%, 5%, 7.5%, 10% radian)에서 직교보를 따라 그려진 바닥슬래브의 변형형상 역시 거의 선형이다(Fig. 12참조). 다음 절에서는 이러한 바닥슬래브의 변형형상을 토대로 연쇄붕괴시 바닥슬래브의 효과를 가늠할 수 있는 바닥슬래브의 일방향 현수작용에 대한 근사모델방안을 제시하고자 한다.
3. 바닥슬래브의 일방향 현수작용 근사모델
Fig. 13에서 보여주듯이, 본 절에서는 전절의 수치해석결과를 토대로 2경간 바닥슬래브의 변형형상을 선형 근사모형으로 가정하여 바닥슬래브의 일방향 현수작용을 모사한 근사모델방안을 제시하고자 한다.
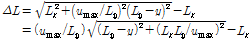
슬래브에 근입된 길이방향 와이어의 직교방향(Y축) 배근간격이 균일하다는 가정하에서, Fig. 13의 2경간 바닥슬래브의 기하학적 선형 근사모형을 이용하여 Y축 상의 임의의 점(y)에서의 일경간 바닥슬래브의 X축방향 신장량(
)은 아래의 Fig. 14 및 식 (2)과 같이 최대수직처짐(umax)에 관하여 대략적으로 표현할 수 있다.
(2)
여기서, Lx는 X축 방향 바닥슬래브의 경간 길이, Ly는 Y축 방향 바닥슬래브의 경간길이, y는 Y축상의 임의의 점이다.
바닥슬래브의 X축방향 총신장량(
)은 바닥슬래브의
을 적분하여 다음과 같이 산정할 수 있다.
(3)




바닥슬래브의 X축방향 평균신장량(
)은 식 (3)의
을
로 나누어 다음과 같이 얻을 수 있다.
(4)
일경간 바닥슬래브의 X축방향 평균변형률(
)은
를 Lx로서 나누어 다음과 같이 표현할 수 있다.
(5)
따라서 와이어메쉬의 응력-변형률관계(Fig. 4(b)참조)와 식 (5)에서 계산된
를 활용하여 Twire를 다음과 같이 산정할 수 있다.
일 경우,
(6a)
일 경우,
(6b)
여기서, Awire는 X축방향 와이어의 전체유효단면적, εwire.y는 와이어의 항복응력에 대응하는 인장항복변형률, σwire는 와이어의 인장응력, σwire.y는 와이어의 인장항복응력이다.
Fig. 15는 본 연구에서 제안한 와이어메쉬의 축력에 대한 근사모델링 방안과 수치해석결과를 비교한 것이다. 본 근사모델링 방안에 대한 비교결과가 상당히 잘 일치하고 있다. 비록 근사모델링 과정이 약간 복잡하기는 하지만, 수계산을 통해서 바닥슬래브의 일방향 현수작용의 크기를 간편하게 가늠할 수 있다는 장점을 갖고 있다.
4. 변형에너지를 활용한 바닥슬래브의 기여도 분석
본 절에서는 철골모멘트골조의 연쇄붕괴저항성능을 간편하면서도 효율적으로 평가할 수 있는 ENSM에 바닥슬래브의 효과를 포함시킬 수 있는 방안을 논의하고자 한다. 우선, 이를 위해 ENSM을 간략히 소개하면 다음과 같다.
초기탄성거동에서 대변형영역까지의 2경간 철골보에 대한 수직내력 대 현회전각 관계를 3개의 직선으로 근사하는 방안을 제시하였다(Fig. 16참조). 근사모델을 구성하는 변수는 크게 3개의 보작용변수(PP, KE, θP)와 4개의 현수작용변수(Kca1, Kca2, θca, θlimit)로 구분된다. 우선, 2경간 보 소성힌지의 발생이전의 보작용변수는 아래의 절차에 따라 각각 구한다. 2경간 보의 양단에서 소성힌지가 발생하였을 때의 수직내력(PP)은 다음과 같다. 여기서, 는 보의 소성모멘트이다.
(7)
2경간 보의 중앙부 기둥에 집중하중을 받는 2경간 보의 휨강성(KE)은 식 (8)을 이용하여 산정할 수 있다. 여기서, I는 강축에 대한 보의 단면 2차모멘트이다.
(8)
수직내력(PP)에 대응하는 현회전각(θP)은 식 (7) 및 식 (8)을 사용하여 식 (9)를 얻을 수 있다.
(9)
2경간 보의 항복이후의 비선형거동을 모델링하는 현수작용변수는 두 개의 직선으로 근사하였으며, 현수작용 변수값들은 Table 1에 정리하였다.
Table 1
Definition of catenary action parameters
| L/D | Kca1/KE | Kca2/KE | θca | θlimit |
|---|---|---|---|---|
| 10 | 0.033 | 0.085 | 0.110 | 0.172 |
| 15 | 0.071 | 0.179 | 0.073 | 0.132 |
| 20 | 0.135 | 0.335 | 0.060 | 0.116 |
Lee 등(2009)에 의해 수행된 수치해석결과를 보면, 기둥제거 시나리오하에서 2경간 보의 “일시진동(transient oscillation)”의 첫 번째 최대응답까지의 감쇠효과는 일반적으로 매우 작기 때문에 연직운동 중에서 감쇠효과(즉, 감쇠에너지)는 무시될 수 있다. 아울러 질량은 연직운동을 하는 동안에 양(+)과 음(-)이 동일한 일량을 경험한다. 2경간 보는 umax에 도달하기 전에 질량의 가속도는 초기에는 증가하다가 점차 감소하여 umax까지의 누적 운동에너지는 거의 영(0)값을 가지므로 무시될 수 있다. 따라서 연쇄붕괴해석을 위한 다층골조의 운동방정식은 아래의 식 (10)과 같이 정적문제로 단순화될 수 있다. Fig. 17(a)와 (b)는 손실된 기둥에 작용하던 축력(P0)이 한 일(즉 외력이 한일, WE)과 2경간 보의 흡수에너지(즉 내력이 한일, WI)를 각각 나타낸 것으로서 에너지 평형조건을 만족하기 위해서는 이 두 일량이 동일해야만 한다. 좀 더 자세한 내용은 참고문헌(2009)을 참고하기 바란다.
(10)
연쇄붕괴에 대한 철골모멘트골조의 바닥슬래브의 효과는 전절에서 기술한 바닥슬래브의 일방향 현수작용 근사모델링방안과 변형에너지(strain energy)를 활용하여 산정할 수 있다. Fig. 4(b)와 같이 와이어메쉬의 응력-변형률관계와 식 (5)의 바닥슬래브의 평균변형률을 이용하여 바닥슬래브의 와이어메쉬의 단위체적당 변형에너지인 변형에너지밀도(ewire)는 다음과 같이 산정할 수 있다.
일 경우,
(11a)
일 경우,
(11b)
식 (11a) 및 (11b)는 부분골조모델에서 일경간 바닥슬래브의 와이어메쉬에 대한 변형에너지밀도(strain energy density)를 나타낸다. 따라서 2경간 바닥슬래브의 총변형에너지(Eslab)는 다음의 식 (12)와 같이 2경간 바닥슬래브의 와이어메쉬의 총변형에너지(Ewire)와 같다.
(12)
연쇄붕괴시 바닥슬래브의 효과를 고려한 에너지 평형조건식은 기둥제거 시나리오하에서 손실기둥에 작용하던 축력이 한일(즉, 외력이 한일(WE))과 2경간 보와 바닥슬래브에 의해 흡수된 에너지(즉, 내력이 한일(W'I))가 동일해야만 하므로 다음과 같이 정리할 수 있다.
(13)
현행 내진설계 및 대체경로법에 의한 연쇄붕괴저항설계에서는 바닥슬래브의 역할에 대한 정보부족 등의 이유로 바닥슬래브의 기여도는 무시하고 있다. ENSM은 바닥슬래브의 효과를 고려하고 있지 않지만, ENSM만으로도 충분히 합리적인 답안을 제공할 수 있을 것으로 예상된다. 하지만 실무엔지니어가 연쇄붕괴에 대한 구조물의 정밀해석 및 평가를 위해 바닥슬래브의 효과를 고려하는 좀 더 실제에 가까운 응답을 얻고자 한다면, 본 연구에서 제안한 방안은 실무엔지니어들에게 효율적으로 활용될 수 있을 것이다.
5. 결 론
바닥슬래브의 효과를 고려한 철골모멘트골조의 연쇄붕괴저항성능 및 해석법과 관련한 본 연구의 결론을 요약하면 다음과 같다.
(1) 강재 데크의 구조적 일체성 부족 및 콘크리트의 취성 특성으로 인해 연쇄붕괴에 대한 바닥슬래브의 효과는 2경간 철골보에 비해 매우 작다. 따라서 바닥슬래브의 길이방향 보강재의 저항성능이 연쇄붕괴에 대한 바닥슬래브의 기여도를 결정하는 주요변수임을 알 수 있었다.
(2) 또한 2경간 철골보에 연결된 직교보는 철골모멘트골조의 연쇄붕괴저항역량의 증진에 거의 영향을 미치지 못함을 확인하였다.
(3)유한요소해석결과로부터 얻어진 2경간 바닥슬래브의 변형형상을 토대로 초기탄성거동에서부터 대변형영역에 이르기까지의 2경간 바닥슬래브의 일방향 현수작용의 크기를 산정할 수 있는 해석모델을 제안하였다.
(4)아울러 본 연구에서 제시한 해석모델을 활용하여 연쇄붕괴시에 바닥슬래브의 효과를 포함하는 매우 효율적인 에너지 기반 비선형 정적 연쇄붕괴설계법을 제안하였다.





















