1. 서 론
2. 포스트 텐션 공법을 적용한 아웃리거 벽체 시스템
2.1 아웃리거 벽체의 장기거동
2.2 프리스트레스트 콘크리트
3. 해석 모델 및 해석 방법
4. 해석 결과
4.1 아웃리거 벽체의 장기거동
4.2 포스트 텐션 공법 아웃리거 벽체 시스템
5. 결 론
1. 서 론
최근 수십 년간 시공 기술의 발전과 인구집중현상으로 인해 전 세계적으로 초고층 건물 시공이 증가하고 있다. 초고층 건물에서 바람과 지진에 의한 최상층의 횡변위는 사용성과 구조적 안정성 측면에서 가장 중요한 설계기준이다. 따라서 횡변위를 저감하기 위한 여러 구조시스템이 개발되었고 그 중 아웃리거 시스템은 뛰어난 횡변위 저감 효과가 입증되어 가장 널리 사용되고 있다. 한편, 부등기둥축소량은 기둥과 전단벽 같은 수직구조부재의 축소량 차이로 층수에 따라 누적되고 구조 및 비구조부재에 악영향을 미치는 특성 때문에 초고층 건물에서 고려되어야 할 설계기준으로 자리잡고 있다. 부등기둥축소량을 예측하고 저감시키기 위한 연구의 시작으로 Fintel 등(1987)은 시공 순서에 따라 단계적인 하중을 받는 수직부재의 축소량을 예측하는 방법을 제안했다. 이후 많은 연구자들은 부등기둥축소량을 보다 더 정확하게 예측하고 보정하기 위한 여러 연구들을 수행하였다(Moragaspitiya et al., 2010; Park et al., 2013; Zou et al., 2014; Samarakkody et al., 2017).
Kim(2013)은 아웃리거 시스템이 기둥에 작용하는 축력의 일부를 전단벽으로 전달함으로써 부등기둥축소량을 저감시킬 수 있음을 밝혔다. 또한, 아웃리거의 부등기둥축소량 저감 효과를 적극적으로 활용하고자 하였으며 아웃리거에 발생하는 부가 응력을 정량적으로 확인하여 횡변위와 부등축소량을 동시에 제어하는 이중목적 아웃리거의 실현 가능성을 보였다(Kim et al., 2019). 그러나 철골 부재를 사용한 아웃리거 트러스 시스템으로 한정되었기 때문에 철근콘크리트 부재를 사용한 아웃리거 벽체 시스템에 대한 연구는 수행된 바가 없다. 철골 부재를 사용한 아웃리거 트러스의 경우 아웃리거의 장기거동을 고려할 필요가 없지만 콘크리트 부재를 사용한 아웃리거 벽체 시스템의 경우 아웃리거의 장기거동을 고려해야만 한다. 따라서 본 논문은 아웃리거 벽체 시스템을 사용할 경우 기둥과 전단벽 뿐만 아니라 아웃리거의 장기거동까지 고려하여 아웃리거의 부등기둥축소량 저감 효과와 아웃리거에 발생하는 부가 응력을 확인한다.
포스트 텐션 공법은 콘크리트에 매설된 강연선에 인장력을 도입하여 휨 내력과 처짐 성능을 증가시키는 공법이다. 포스트 텐션 공법을 적용한 프리스트레스트 콘크리트(PSC)는 장경간 구조에 매우 유리하며 일반 철근콘크리트(RC) 부재에 비해 높은 전단 강도를 가진다. 따라서 아웃리거의 장기거동에 의해 증가하는 부등기둥축소량을 보완하기 위해 포스트 텐션 공법으로 보강한 아웃리거 벽체 시스템을 제안하고 유한요소해석을 통해 그 효과를 확인한다.
2. 포스트 텐션 공법을 적용한 아웃리거 벽체 시스템
이 장에서는 아웃리거 벽체의 장기거동이 부등기둥축소량에 미치는 영향을 확인하고 프리스트레스 콘크리트의 원리와 포스트 텐션 공법을 적용한 아웃리거 벽체 시스템을 소개하고자 한다.
2.1 아웃리거 벽체의 장기거동
아웃리거 벽체의 장기거동이 부등기둥축소량에 미치는 영향을 나타내기 위한 기본 개념을 Fig. 1에 나타내었다. 기둥과 전단벽의 강성 차이에 의해 기둥과 전단벽의 축소량 차이가 발생하고, 이러한 축소량의 차이는 아웃리거에 전단력을 발생시킨다. Fig. 1의 (a)는 전단력에 의한 아웃리거의 탄성 변형만을 나타낸 것이다. Fig. 1의 (b)는 전단력에 의한 아웃리거의 탄성 변형과 장기거동에 의한 변형을 함께 나타낸 것이다. 시간이 경과함에 따라 아웃리거의 전단 방향의 변형이 증가하므로 부등기둥축소량이 증가한다.
아웃리거에 작용하는 전단력은 식 (1)과 (2)와 같이 기둥과 전단벽, 아웃리거의 강성비와 부등기둥축소량에 의해 결정된다(Kim et al., 2019).
| $$V=\delta\cdot\;k_{s3}$$ | (1) |
| $$k_{s3}=\frac{k_c\bullet k_w\bullet k_o}{k_c\bullet k_W+k_c\bullet\;k_o+k_w\bullet k_o}$$ | (2) |
여기서, 는 아웃리거에 작용하는 전단력, , 는 각각 기둥과 전단벽의 축방향 강성, 는 아웃리거의 전단방향 유효강성, 는 부등기둥축소량이다. 아웃리거의 강성이 크면 아웃리거는 큰 전단력을 받고, 아웃리거의 강성이 작으면 작은 전단력을 받게 된다. 아웃리거의 장기거동은 시간이 경과함에 따라 아웃리거의 강성을 감소시키고, 아웃리거의 강성의 감소는 아웃리거에 작용하는 전단력의 감소를 야기한다.
2.2 프리스트레스트 콘크리트
프리스트레스트 콘크리트는 인장강도가 낮은 콘크리트를 보강하기 위하여 인장이 발생되는 위치에 강선, 강봉, 강연선 등과 같은 긴장재를 사용하여 콘크리트에 압축 응력을 도입해 콘크리트의 인장응력을 상쇄시킨 구조이다. 프리스트레스트 콘크리트는 균열발생 및 처짐량을 저감시키고 극한 강도를 증진시켜 경제성을 확보할 수 있다. 이때, 강재는 매우 큰 인장력을 받고, 콘크리트는 프리스트레스에 견뎌야하기 때문에 고강도 강재와 고강도 콘크리트를 사용해야 한다.
Fig. 2에 프리스트레스트 콘크리트의 원리를 나타내었다. Fig. 2의 (a)는 단순보에서 스팬의 중앙부 처짐을 막기 위하여 하부에 프리스트레싱을 적용한 모습이다. 부등기둥축소량에 의한 아웃리거의 처짐 양상은 단순보와 반대이기 때문에 Fig. 2의 (b)와 같이 아웃리거의 상부에 프리스트레스를 도입해 양단부의 처짐량을 줄일 수 있다.
프리스트레싱 방법은 긴장재의 도입 시기에 따라 프리텐션 공법(Pre-tension)과 포스트 텐션 공법(Post-tension)으로 구분된다. 포스트 텐션 공법은 거푸집과 쉬스(sheath)를 배치하고 콘크리트를 타설하고 콘크리트가 경화된 후 긴장재를 긴장 및 정착시켜 콘크리트에 압축 응력을 가하는 방법이다. 포스트 텐션 공법은 콘크리트와 긴장재의 일체화에 따라 부착 공법과 비부착 공법으로 구분된다. 부착 공법은 주로 교량, 거대 구조물 등에 사용되며 긴장재와 콘크리트를 일체화시키는 방법이다. 따라서 외부 환경에 안전하지만 콘크리트 일체화를 위한 공정이 복잡하다. 비부착 공법은 일반건물, 주차건물 등의 슬래브나 보에 사용되며 콘크리트와 긴장재를 일체화시키지 않기 때문에 시공이 보다 간단하다. 본 논문에서는 거대 구조물인 아웃리거에 포스트 텐션 공법을 적용하는 것이므로 부착 공법을 적용하는 것으로 가정한다.
초기 프리스트레스 도입 직후에는 정착장치의 활동, 포스트 텐션 긴장재와 덕트 사이의 마찰로 인한 손실, 콘크리트의 탄성수축 등에 의해 프리스트레스 도입 시 손실이 발생한다. 포스트 텐션 긴장재의 마찰 손실은 CEB-FIP(2010)와 KDS 14에서 다음 식에 의해 산정된다.
| $$P_{px}=P_{pj}e^{-(KL_{px}+\mu_p\alpha_{px})}$$ | (3) |
이때 값이 0.3 이하인 경우 식 (3) 대신에 다음과 같은 근사식을 사용할 수 있다.
| $$P_{px}=P_{pj}/(1+Kl_{px}+\mu_p\alpha_{px})$$ | (4) |
여기서, 는 곡률마찰계수, 는 파상마찰계수이다. 프리스트레스 도입 직후 즉각적인 프리스트레스 손실 외에 콘크리트와 강연선의 장기거동에 의한 시간 의존적 프리스트레스 손실이 발생한다. 장기거동에 의한 프리스트레스 손실은 ACI, CEB 등 구조 기준을 적용할 경우 콘크리트의 장기거동에 의한 프리스트레스 손실량은 각각 초기 프리스트레스 크기의 22%, 24%이고 B3 모델을 사용하는 경우 40%이상이다(Bazant et al., 2012). ACI와 CEB 등의 구조기준은 시간이 지나면 크리프가 특정 값으로 수렴한다고 가정하지만, Bazant의 B3 모델의 경우 시간이 지나도 크리프에 의한 변형이 계속된다고 가정하기 때문이다.
3. 해석 모델 및 해석 방법
해석 모델은 철근콘크리트구조이며, 건물의 한 층 높이는 3.5m로 총 80층, 280m이다. 하중과 부재치수 등 자세한 해석 모델의 특성은 Table 1에 나타나있다. Fig. 3은 해석 모델의 조감도와 아웃리거 벽체의 상세를 보여준다. 아웃리거 벽체의 높이(depth)는 개구부 설치가 용이하도록 3개 층으로 설정하였으며, 아웃리거의 최상부의 위치를 아웃리거 위치로 정의한다. 기본 모델의 아웃리거 위치는 횡변위 저감 목적의 초기위치로 알려진 전체 층수의 중간(40F)이다. 기둥과 전단벽 부재의 단면 크기는 모든 층에서 동일하며, 콘크리트의 건조수축과 크리프 등의 장기거동 재료 모델은 CEB-FIP를 따른다. 상대습도는 60%이며, 보통콘크리트를 사용한다.
Table 1.
Analysis model
| Member | Concrete Strength(Mpa) | Section size width(m)×depth(m) | Dead Load(kN) |
| Column | 68 | 1.5×1.5 | 1420 |
| Shear wall | 48 | 0.8×15.0 | 2640 |
| Outrigger | 48 | 0.8×14.0 | - |
포스트 텐션 해석을 위한 긴장재의 극한강도와 항복강도는 각각 1861Mpa, 1689Mpa이다. 탄성계수는 196,500Mpa이며 포아송비는 0.3이다. 7개의 가닥으로 구성된 다발 긴장재를 사용하며 하나의 가닥(strand)의 단면적은 700mm2, 총 단면적은 4900mm2이다. CEB-FIP에 따르면 포스트 텐션 공법과 프리 텐션 공법 모두 긴장재의 최대 인장 응력의 크기는 긴장재의 항복강도의 0.75배를 넘을 수 없다. 따라서 초기 긴장재의 인장 응력은 1689×0.751267으로 설정하였다. 기본 모델의 초기 프리스트레스의 크기는 6208kN이다.
긴장재는 Fig. 4와 같이 표면으로부터 1.00m 떨어진 위치에 수평으로 설치하였다.
부등기둥축소량 해석을 위해 선행 연구에서 사용된 유한요소해석 프로그램과 상용 구조해석 프로그램인 ETABS를 사용한다. 유한요소해석 프로그램에서는 콘크리트 구조물의 보다 정확한 장기거동해석을 위해 단계해석법(SSM :Step-by-Step Method)을 사용한다. 한 층의 시공주기는 5일이며, 지어진 후 3일째에 고정하중이 가해지고, 건조수축은 지어진 후 7일째에 시작된다고 가정한다. 해석 결과는 장기거동이 충분히 완료된 시점인 10,000일 때의 결과를 측정한다. 고정하중과 시공하중은 각 시공단계에서 가해지며, 활하중은 전체 건물의 완공 시점인 400일으로부터 300일이 지난 700일에 가해진다. 측정된 부등기둥축소량은 탄성변형, 크리프, 건조수축에 의한 변형을 모두 포함한다.
포스트 텐션 공법은 콘크리트 타설 및 경화 후 긴장재에 응력을 도입하는 것이므로 시공단계해석을 통해 아웃리거 벽체가 경화된 이후 프리스트레스를 작용해야 한다. 따라서 아웃리거 설치 이후에 아웃리거에 프리스트레스를 도입하는 시공단계를 추가한다. CEB-FIP 구조기준에 따르면 콘크리트의 강도가 적정 수준 이상으로 발현된 이후에 프리스트레스를 적용해야 한다. 콘크리트의 평균 압축강도는 타설 후 28일에 발현되므로 본 논문에서는 아웃리거 층이 지어진 후 5개의 시공 단계 이후(25일 후) 프리스트레스를 가하였다. ETABS에서 프리스트레스 손실량을 계산하는 방법은 크게 3가지로 구분된다.
(1) 초기 프리스트레스 크기 대비 비율로 계산하는 방법
(2) 고정된 프리스트레스 손실량 값을 대입하는 방법
(3) 워블 계수나 곡선마찰계수를 대입하는 방법
본 논문에서는 (1)초기 프리스트레스 크기 대비 비율로 계산하는 방법을 사용한다. 프리스트레싱 직후 손실량은 초기 프리스트레스 크기의 5%, 장기거동으로 인한 프리스트레스 손실량은 초기 프리스트레스 크기의 24%이다.
4. 해석 결과
4.1 아웃리거 벽체의 장기거동
아웃리거의 장기거동의 효과를 확인하기 위해 아웃리거의 재료 모델을 1)탄성 변형만 고려한 모델과 2)탄성변형과 장기거동(크리프, 건조수축) 모두 고려한 모델 두 가지로 설정하여 해석하고 그 결과를 비교하였다. Fig. 5는 아웃리거의 장기거동 고려 유무에 따른 기둥과 전단벽의 축소량과 부등기둥축소량을 함께 보여준다. 그래프 범례 상의 DAS는 부등축방향축소(Differential Axial Shortening)를 의미하고 LT는 장기거동(Long-Term Behavior)을 의미한다. 예상한 바와 같이 아웃리거의 장기거동을 고려하였을 때 기둥의 축소량은 증가하고 전단벽의 축소량은 감소한다. 따라서 기둥의 축소량과 전단벽의 축소량 차이인 부등기둥축소량은 증가한다.
Fig. 6는 아웃리거의 장기거동 고려 유무에 따른 부등기둥축소량만을 비교한 그래프이다. 아웃리거가 위치한 층인 에서의 부등기둥축소량은 0.0136m에서 0.0179m로 약 32.03% 증가하였다. 아웃리거 층에서의 부등기둥축소량은 아웃리거에 발생하는 전단력과 관계가 있기 때문에 중요하다. 한편 사용성 측면에서는 최대 부등기둥축소량이 중요하다. 최대 부등기둥축소량이 발생하는 57층에서의 부등기둥축소량은 0.0238m에서 0.0276m로 약 15.81% 증가했다.
Fig. 7은 아웃리거를 설치하지 않은 경우 대비 부등기둥축소량 저감 효과를 비교한 그래프이다. 아웃리거 장기거동 고려 시 부등기둥축소량 저감 효과가 70.17%에서 65.45%로 4.72%p 감소하였다. 이때, 아웃리거에 작용하는 전단력은 15132kN에서 14125kN으로 약 6.66% 감소한다.
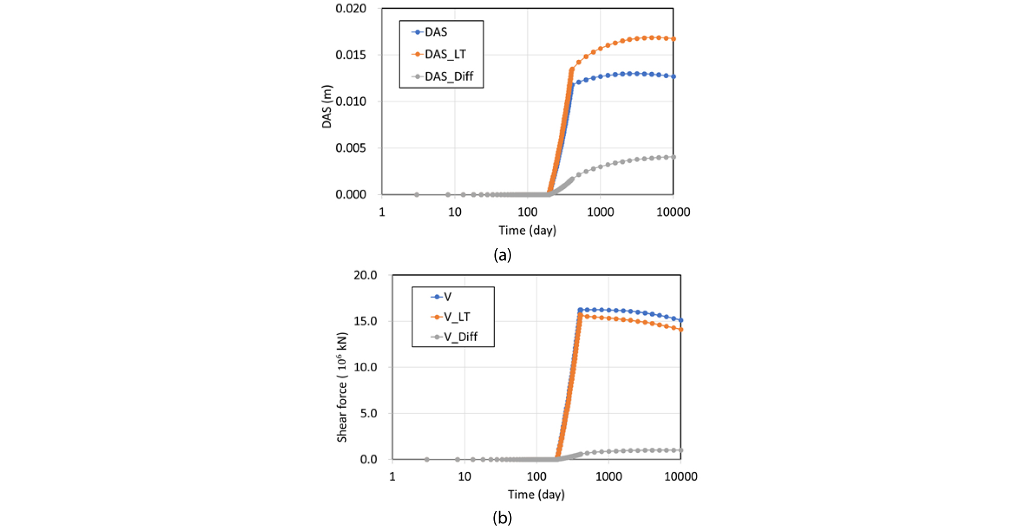
Fig. 8은 로그 스케일의 시간에 따른 부등기둥축소량과 아웃리거에 작용하는 전단력을 0일에서 10,000까지 표현한 것이다. Fig. 8의 (a)는 아웃리거 층에서의 부등기둥축소량이다. Fig. 8에서 볼 수 있듯이 아웃리거 층(40층)의 시공 시점인 200일부터 점차 아웃리거 층의 부등기둥축소량과 아웃리거에 작용하는 전단력이 로그 스케일 시간에 대해 선형으로 증가한다. 전체 층의 시공이 완료되는 시점인 700일부터는 로그 스케일 시간에 대해 지수함수 형태로 증가 또는 감소한다.
다음은 아웃리거의 강성이 장기거동의 효과에 얼마나 영향을 주는지 파악하기 위하여 아웃리거의 두께를 변화시키며 동일한 해석을 수행하였다. Fig. 9는 아웃리거의 두께에 대해 아웃리거의 장기거동을 고려하였을 경우와 고려하지 않았을 경우 부등기둥축소량 차이와 전단력 차이를 나타낸 것이다. 왼쪽 수직축은 전단력 값을, 오른쪽 수직축은 부등축소량을 나타낸다. 아웃리거의 강성이 클수록 아웃리거의 장기거동에 의한 전단력 차이와 부등기둥축소량 차이 모두 분수함수 모양으로 감소한다. Table 2는 아웃리거의 두께가 증가할수록 아웃리거의 전단력은 증가하지만 아웃리거의 장기거동의 고려에 따른 차이는 감소한다는 것을 보여준다. Table 3은 아웃리거의 두께가 증가할수록 부등기둥축소량은 감소하지만 장기거동의 고려에 따른 차이는 거의 차이가 없음을 보여준다. 따라서 아웃리거의 장기거동에 의한 부등기둥축소량 감소율은 아웃리거의 강성과 무관하다고 할 수 있다.
Table 2.
Shear force according to the thickness of outrigger
Table 3.
Differential column shortening according to the thickness of outrigger
4.2 포스트 텐션 공법 아웃리거 벽체 시스템
포스트 텐션 공법으로 보강된 아웃리거 벽체 시스템의 부등기둥축소량을 해석하고 그 결과를 Fig. 10에 나타내었다. 그래프 범례 상의 PS는 프리스트레스(Pre-Stress)를 작용했음을 의미한다. 해석 결과, 기둥의 축소량은 감소하고 전단벽의 축소량은 증가한다. 따라서 기둥과 전단벽의 축소량 차이인 부등기둥축소량은 감소한다. 포스트 텐션 공법의 효과는 아웃리거 벽체의 장기거동의 효과와 반대된다는 것을 알 수 있다. 아웃리거 층(40F)에서의 부등기둥축소량은 14.54% 감소했으며, 최대 부등기둥축소량이 발생하는 57F에서의 부등기둥축소량은 3.61% 감소했다. 아웃리거 층에서의 차이가 더 크다는 것을 알 수 있다.
다음은 프리스트레스의 크기가 부등기둥축소량 저감 효과에 미치는 효과를 확인하기 위해 프리스트레스의 크기를 변경해가며 해석을 수행하였다. 기본 모델에서의 프리스트레스 크기는 6208kN이며, 프리스트레스의 크기를 2배에서 4배까지 변경하여 해석하였고 해석 결과를 Fig. 11에 제시하였다. Fig. 11의 (a)에서 프리스트레스 크기는 12416kN, (b)에서 프리스트레스 크기는 18624kN, (c)에서 프리스트레스 크기는 24832kN이다. Fig. 11의 (a)에서 아웃리거 층에서의 부등기둥축소량은 29.10% 감소했으며, 최대 부등기둥축소량이 발생하는 57F에서의 부등기둥축소량은 7.22% 감소했다. Fig. 11의 (b)에서 아웃리거 층에서의 부등기둥축소량은 43.65% 감소했으며, 최대 부등기둥축소량이 발생하는 57F에서의 부등기둥축소량은 10.83% 감소했다. Fig. 11의 (c)에서 아웃리거 층에서의 부등기둥축소량은 58.20% 감소했으며, 최대 부등기둥축소량이 발생하는 57F에서의 부등기둥축소량은 14.43% 감소했다. 프리스트레스의 크기에 따른 부등기둥축소량 차이는 Table 4와 Table 5에 정리하였다.
5. 결 론
본 논문에서는 아웃리거 벽체의 장기거동을 고려하여 부등기둥축소량과 아웃리거에 작용하는 전단력을 확인하였다. 아웃리거의 강성이 아웃리거의 장기거동의 부등기둥축소량 저감 효과에 미치는 영향을 확인하기 위하여 설계변수인 아웃리거 벽체의 두께를 변화시켜가며 해석을 수행하였다. 이후, 아웃리거의 장기거동으로 인해 증가한 부등기둥축소량을 보완하기 위해 포스트 텐션 공법을 적용하는 방안을 제안하고 해석을 수행하였다. 프리스트레스에 관한 이론 연구와 CEB-FIP 구조기준을 확인하여 프리스트레스 해석 방법을 확인하고 시공단계해석에 포스트 텐션 공법을 도입해 부등기둥축소량 해석 결과를 비교하였다. 본 논문에서 다음과 같은 결론을 얻을 수 있다.
1) 아웃리거 벽체의 장기거동을 고려 시, 기둥의 축소량은 증가하고 전단벽의 축소량은 감소한다. 따라서 기둥과 전단벽의 차이인 부등기둥축소량은 다소 증가한다. 이때 아웃리거에 작용하는 전단력은 감소한다. 이러한 아웃리거의 장기거동에 의한 효과는 아웃리거의 강성이 작을수록 커진다.
2) 아웃리거의 장기거동 고려 유무에 따른 부등기둥축소량 차이는 아웃리거 층에서 32.03%, 최대 부등기둥축소량이 발생하는 층에서 15.41%이다.
3) 아웃리거의 부등기둥축소량 저감 효과와 전단력 감소율은 각각 4.72%p, 6.66% 감소로 미미한 수준이다. 따라서 이중목적 아웃리거로 사용 시 부등기둥축소량을 저감시키는 역할을 충분히 할 수 있으며, 아웃리거에 작용하는 전단력의 감소로 이중 목적 아웃리거의 문제점으로 여겨지는 아웃리거에 부가적인 응력의 크기는 감소한다.
4) 아웃리거 벽체을 포스트 텐션으로 보강 시, 기둥의 축소량은 감소하고 전단벽의 축소량은 증가한다. 따라서 부등기둥축소량은 감소한다. 최대 부등기둥축소량의 감소보다 아웃리거 층에서의 부등기둥축소량이 크게 감소한다.
5) 포스트 텐션의 크기가 클수록 부등기둥축소량의 감소율이 증가하지만 과도한 프리스트레스는 파괴를 야기할 수 있기 때문에 아웃리거 벽체의 응력을 확인하여 적절한 포스트 텐션의 크기를 선정해야 한다.
본 연구는 추후 포스트 텐션 공법으로 보강된 아웃리거 벽체 시스템의 연구에 기여할 수 있을 것으로 예상한다.













