1. 서 론
폭발은 짧은 시간 안에 급격한 압력 변화로 인해 구조부재의 파손 및 손상을 유발하며, 한번 발생하게 되면 대규모 피해를 유발할 수 있는 고위험 군에 속하는 사고이다. 육상의 경우 공간상의 제약이 적기때문에 폭발방지 및 피해 최소화를 위한 설비 시스템을 구축하기 쉽고, 구조부재들의 레이아웃이 용이하지만 해양플랜트의 경우 한정된 공간과 다양한 장비들로 인한 폐쇄적인 경로 등으로 인해 폭발로 인한 피해가 더 치명적일 수 있다. 특히, 최근 수요가 증가하고 있는 가스 생산용 해양플랜트 설비의 경우 시추, 정제 등의 공정 과정에서 많은 인화성 물질들을 포함하고 있으며, 다양한 공정 장비들로 인해 복잡한 구조적 형상으로 폐쇄 경로가 많이 존재한다. 이로 인해, 가스 생산용 해양플랜트 설비에서 폭발이 발생할 경우 기존의 석유 생산용 설비에 비해 폭발하중이 상대적으로 높으며 더욱 위험한 사고를 초래할 수 있다(Kim, 2012). 따라서, 정밀한 폭발하중 산정을 위해서는 대상 구조물의 기하학적 조건과 가동 환경조건 등을 고려한 폭발해석 모델 선정이 필요하다. 본 연구에서는 FPSO topside platform의 계단, 난관 등과 같은 세부적인 부분까지 고려하여 FLACS를 이용한 가스 폭발해석을 수행하였다. Fig. 1은 본 연구에서 사용한 가스 폭발해석 모델을 나타낸다. 일반적으로 폭발하중에 의한 피해들을 최소화하기 위해서는 폭발원이 될 수 있는 물질을 제거하거나 이러한 폭발물질로부터 대상 구조체를 충분히 이격시켜 관리하는 것이다. 하지만 이러한 방법들은 실제 현장에서 모두 완벽히 이행할 순 없으므로 해양플랜트와 같이 폭발사고의 위험을 내포하고 있는 구조부재의 폭발하중에 의한 동적응답 특성을 분석하는 것이 필수적으로 요구되어진다. 특히 FPSO와 같은 부유식 해양구조물에서 폭발사고에 의한 인명 피해 및 고가의 장비의 파손을 방지하기 위한 방화벽의 경우 폭발에 의한 충격하중에 항시 노출되어 있으므로, 폭발하중 이력에 의한 기계적 거동 특성에 대한 분석이 반드시 요구된다. 이러한 이유로 인해, 방화벽의 폭발하중 대비 최적설계 기법 및 폭발하중 이력에 의한 거동 특성을 평가하기 위한 해석 방법 등과 같은 연구들은 국내?외에서 많이 수행되어 왔다(Kim, 2012; DNV, 2010; Langdon, 2006). 하지만 이러한 연구들은 방화벽의 거동 평가를 수행함에 있어 폭발하중 이력 중 부 압력단계에 대한 고려없이 대칭 삼각형 형태의 정 압력단계만을 고려하였기 때문에 거동 특성을 평가하는데 있어서 한계점이 있다. 왜냐하면, 폭발과 같은 충격하중에 의한 구조부재의 동적응답의 경우 부여되는 하중의 지속시간과 구조부재의 고유주기에 큰 영향을 받게 되는데, 부 압력단계를 고려할 경우 하중 지속시간이 늘어나게 되고 정 압력단계에 의한 구조부재의 변형 양상과 다르게 나타 날 수 있다. 따라서 이러한 결과가 구조설계 시 직·간접적으로 반영된다면 설계적으로 과대 혹은 과소평가 되어질 수도 있다. 본 연구에서는 폭발하중 이력에서 부 압력단계를 고려한 하중 모델과 구조 시스템의 고유주기 특성을 고려한 변위응답 특성을 분석하였다.
2. 가스 폭발하중
2.1 가스 폭발하중 모델링
가스 폭발의 경우 고온/고압의 가스와 함께 폭발물 또는 구조물의 파편, 고온의 열이 방사되며 그 중에서도 구조물에 높은 압력으로 작용하게 되는 폭발파가 구조물의 손상을 발생시키는 주요 압력하중으로 고려된다. 이러한 폭발파의 하중 이력을 획득하기 위해서는 실험적 방법 및 전산 프로그램을 이용한 수치 해석적 방법이 있다. 본 연구에서는 현재 해양플랜트 폭발해석 시 가장 널리 사용되는 프로그램인 FLACS를 이용하여 폭발해석을 수행하였다.
2.2 가스 폭발하중 이력의 형상
폭발은 짧은 시간 내에 매우 많은 양의 에너지를 방출하여 주위 압력을 순간적으로 상승시킨다. 최대 하중에 도달하고 난 후 대기압과의 압력 평형 또한 빠른 시간 내에 일어나게 되고, 그 이후에 충격파는 부 압력단계로 되어 부분적인 진공상태가 형성되게 된다(Hwang, 2012). 특히 가스 폭발에 의한 하중 이력의 경우 TNT 폭발에 비해 이 부 압력단계가 상당 부분 존재하며 Fig. 2에 나타낸 것과 같이 다양한 형태로 존재하게 된다. 가장 일반적인 하중 이력형태는 Fig. 2(a)와 같은 형태이나, 폭발위치 및 주변의 기하학적 조건에 따라 Fig. 2(b), (c)와 같이 하중이력의 특정 부분에서 변곡 지점이 발생하거나 정 압력 및 부 압력단계가 반복해서 나타나는 형태로 하중이력이 나타나기도 한다. 슬랜더 형상의 구조부재의 경우 부 압력단계의 영향이 극히 미미한 하중 이력특성이 나타나는데, 본 연구에서는 이 부분에 대한 고려하지 않았다. 부 압력단계가 중요한 이유는, 전체 하중의 지속시간을 결정하는데 있어서, 부 압력단계의 지속시간은 매우 중요한 요소이며, 구조 시스템의 동적응답에 결정적인 영향을 미칠 수도 있다. 하지만 기 수행된 연구들에서는 이러한 부 압력단계를 폭발 데미지의 주된 영향이 아니라고 판단하여, 고려하지 않거나 보수적 관점에서의 평가를 위해 정 압력단계와의 구분없이 등가 충격량을 산정하여 이상화모델로 전환 후, 설계하중 데이터로 사용하거나 구조해석 시 하중조건으로 적용하였다(Lee, 2007; UKOOA, 2003). 따라서 이러한 방법으로 폭발해석을 수행할 경우 부 압력단계의 영향력이 반영되지 않기 때문에 정확한 거동 및 파손 특성을 분석했다고 할 수 없다. 따라서 본 연구에서는 폭발하중 이력의 지속시간을 결정짓는 부 압력단계에 대한 고려와 함께, 구조 시스템의 변위응답 특성에 관해서 체계적인 분석을 수행하였다.
2.3 가스 폭발하중 적용방법
가스 폭발에 의한 압력파의 하중 이력은 대기압력 보다 높은 정 압력단계와 대기압력 보다 낮은 부 압력단계로 구분된다. 이러한 폭발하중 이력을 수치해석 시 하중조건으로 적용할 때에는 Fig. 3(a)와 같은 하중 이력을 Fig. 3(b)와 같은 형태로 단순화하여 사용한다. 하지만 이러한 과정에서 부 압력단계에 대한 고려방법은, 정 압력단계와 동일하게 곡선 아래 면적의 합으로 충격량을 구한 후, 삼각형의 단순화 모델로 전환 시 등가의 충격량으로 최대 압력을 고정한 상태에서 지속시간을 정하게 된다. 식 (1), (2)는 정 압력단계로만 표현한 하중 조건의 지속시간과 정 압력단계와 부 압력단계의 지속시간을 각각 독립적으로 계산하는 식을 나타낸다. 식에서 표현한 것처럼 독립적으로 지속시간을 계산하는 경우는 압력 단계별에서의 최대 하중을 각각 고려하기 때문에 원래 하중 이력의 지속시간을 거의 비슷하게 유지할 수 있다. 하지만 부 압력단계의 최대 하중은 고려하지 않고 정 압력단계의 최대 하중만 고려한 후 전체 충격량에 따른 지속 시간을 구할 경우 원본 데이터에 비해 지나치게 지속시간이 짧아지게 된다. 따라서 실제 폭발하중 이력에 의한 구조부재의 변형과 다소 차이가 있을 수 있으며, 정확한 응답 이력을 평가하는데 있어서 신뢰도 높은 결과를 획득하기 어렵다. 따라서 본 연구에서는 정 압력단계와 부 압력단계를 각각 독립적으로 고려하여 Fig. 3(b)에 나타낸 것과 같이 하중 조건을 설정하여 수치해석에 반영한 후, 응답이력 분석을 통해 부 압력단계가 구조부재의 응답에 미치는 영향에 대해 분석하였다.
3. 폭발하중 응답 스펙트럼
3.1 단 자유도 시스템
폭발하중에 의한 구조 시스템의 변위 응답 스펙트럼을 분석하기 위해 일부 구조부재에 실제 적용이 가능한 단 자유도계 모델을 이용하였다. 단 자유도 시스템의 경우 질량과 시스템의 강성을 제공하는 무 질량 골조 및 시스템의 진동에너지를 소산시키는 점성 감쇠기로 구성된다(Chopra, 2007). 하지만 폭발하중의 경우 매우 짧은 지속시간으로 인해 감쇠로 인해 소산되는 에너지가 적다고 판단하여 폭발하중에 의한 단 자유도 모델의 수치해석 시 일반적으로 무 감쇠 시스템을 고려한다. 따라서 본 연구에서는 무 감쇠 단자유도 모델에 대한 변위응답 분석을 수행하였다. 폭발하중에 대한 구조부재의 응답은 해당 부재의 고유주기(Tn)와 작용하는 폭발하중의 지속시간(td)의 비로 아래와 같이 세 가지 형태로 분류될 수 있다.
1) : Impulsive
2) : Dynamic
3) : Quasi-Static Loading
1)의 경우는 충격하중의 지속시간이 고유주기의 10%미만인 경우로, 구조부재의 최대 변위가 적용하중 이력 주기 이후에 나타나는 경우를 의미한다. 2)는 동적하중 구간으로 지속시간과 고유주기가 비슷한 경우를 의미하며 이 경우 일반적으로 최대 응답은 변위의 시간이력 해석으로 구할 수 있다. 3)의 경우는 정적하중 구간으로 작용하는 하중의 지속시간 이내에 최대 변위가 발생하는 경우이다. 본 연구에서는 무 감쇠 단자유도 모델에서 고유주기의 비에 따른 함수 값의 변화에 의한 최대 응답 변위 특성에 대해 분석하였으며, 함수비의 구간은 일반적으로 폭발하중에 의한 변위 분석 시 고려되는 동 하중 영역(0.1<td/Tn<10)을 고려하였다.
3.2 고유주기와 폭발하증 지속시간
폭발하중의 경우 순간적으로 매우 강한 압력과 짧은 지속시간 그리고 비선형 응답을 내포하고 있기 때문에 매우 정확하고 상세적인 시간 수치해석을 필요로 한다. 폭발하중에 대한 동적해석의 가장 큰 문제점은 해석모델과 적절한 파괴 모드의 선택 그리고 이를 분석하는 것에 있다. 특히 폭발하중의 지속시간과 구조물의 고유주기의 비에 따라 서로 다른 동적응답 특성을 나타내므로 폭발하중 이력에서 각 구간별 지속시간은 매우 중요한 요소라고 할 수 있다. 폭발하중에 의한 구조성능 평가 시, 가능한 경우 해석에 사용된 구조물과 가장 유사한 물리적 특성을 가지는 구조물과 비슷한 이력 특성을 가지는 하중을 이용한 실험결과와의 비교를 통해서 분석이 수행되어야 하겠지만, 폭발실험의 경우 일반적으로 수행하기 어려운 상황이기 때문에 수치해석에 의존하고 있다. 따라서 동적해석에 입력되는 폭발하중의 선택이 최종 결과에 아주 큰 영향을 미치며, 같은 하중 이력에서도 하중을 부여받는 대상 구조물의 고유치 값에 따라 판이하게 다른 역학적 거동을 나타낼 수 있다. 폭발하중이 구조부재에 가격될 경우, 구조물의 반응응답이 나타나기까지 일정 시간을 필요로 한다. 특히 고유주기가 상대적으로 긴 부재의 경우 폭발하중에 의한 구조응답이 나타날 시점에 폭발하중은 이미 소멸한 상태가 될 수도 있다. 하지만 폭발하중 자체의 짧은 지속시간으로 인하여 구조물의 고차모드의 피해를 유발할 수도 있다(Lee, 2008). 따라서, 폭발하중의 지속시간과 구조부재의 고유주기와의 상관관계를 고려한 동적응답 해석이 필수적으로 요구된다. 본 연구에서는 Fig. 4에 나타낸 것과 같이 각각의 하중 이력 형상을 결정지을 수 있는 구간을 분리하여, 각 구간마다 단 자유도모델의 고유주기가 포함되도록 절점의 질량을 조정하였다. Fig. 4(a)의 경우 하중 이력 구간을 세 구간(①~③)으로 나누어 각각의 구간에 고유주기가 포함되게 하였으며, Fig. 4(b)는 총 다섯 구간(①~⑤)으로 나누고, 해당 구간에 단 자유도 모델의 고유 주기가 포함되도록 하였다.
3.3 지속시간과 고유주기 비에 따른 동적응답 거동
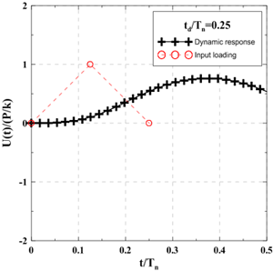
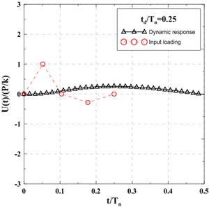
폭발하중에 의한 구조 시스템의 변위응답 분석은 폭발하중의지속시간과 적용한 하중 조건의 형상에 따라 응답 이력 결과에서 큰 차이를 유발할 수 있다. 특히 폭발하중의 경우 지진 하중과 달리 매우 짧은 시간 안에 발생한 후 소멸되므로 일반적인 충격하중에 의한 구조부재의 동적변위 양상과는 다르게 나타날 수 있다(Kang, 2014). 구조부재의 고유주기 또한 동적응답에 영향을 미치는 중요한 요소이다. 따라서 폭발하중 지속시간과 해당 부재의 고유주기를 고려한 동적응답 이력 분석이 필수적으로 요구된다. 본 연구에서는 정 압력단계로만 표현된 하중조건과 정 압력단계 및 부 압력단계를 각각 독립적으로 표현한 형태의 하중 조건을 이용하여 무 감쇠 단 자유도 모델의 동적응답 특성의 차이점을 분석하였다. 앞 절에서 언급한 것과 같이 단 자유도 모델의 고유주기가 각각의 하중 이력 구간에 포함되도록 설정하였다. 또한, 동일한 하중 이력을 적용하여 고유주기의 차이에 따라 변위응답 특성이 어떻게 달라지는지 분석하였으며, 부 압력단계가 고려될 때와 고려되지 않을 때의 차이에 대해서도 분석하였다. Fig. 5(a)~(c)는 정압으로만 표현된 하중 조건에 따른 변위응답 특성을 나타낸다. 응답 이력은 정규화된 최대 변위 U(t)/(Ust)를 정규화된 시간 t/Tn)에 대해 분석한 것이며, Ust는 정적변위를 의미한다. 그림에서 알 수 있듯이 정압구간만을 고려한 대칭 삼각형 하중조건의 경우 고유주기가 가장 짧은 ①구간(고유주기가 지속시간의 1/3배)에 속하는 경우 정규화된 변위가 하중 지속시간 내에서는 하중 이력을 따라 나타났으며, 고유주기가 최대 하중 발생 이후인 ②구간(고유주기가 지속시간의 2/3배)에 속하는 경우 나머지 두 경우보다 더 큰 변위가 발생했다는 것을 알 수 있다. 마지막으로 고유주기가 하중 지속시간보다 더 긴 ③에 속하는 경우 가장 작은 변위가 발생하였으며 최대 변위가 하중 지속시간 이후에 발생한 것을 알 수 있다.



Figure 5
Dynamic response of undamped SDOF model according to only positive pressure loading condition
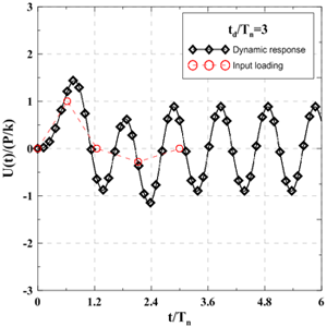
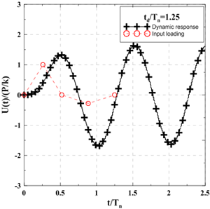
Fig. 6은 부 압력단계를 반영한 하중조건에서의 단 자유도 모델의 응답 이력을 나타낸다. Fig. 5에서 나타낸 결과와 비교했을 때 주목할 점은 고유주기가 하중 지속시간 내에 포함되는 경우와 하중 지속시간보다 더 긴 경우에서의 동적응답의 차이점이다. Fig. 6에서 알 수 있듯이, 무 감쇠 단 자유도 모델의 고유주기가 부 압력단계를 포함한 전체 하중 이력의 안에 포함되는 경우(⑤구간을 제외한 모두) 정압으로만 표현된 하중조건을 적용한 경우 보다 더 큰 변위가 발생했으며, 동적 효과가 더 크다는 것을 알 수 있다. 이러한 점이 의미하는 것은 부 압력단계로 인한 파손 및 손상이 정 압력만 고려했을때 보다 더 크게 발생할 수 있다는 것을 의미하며, 정 압력단계와의 구분없이 단순히 동일한 충격량으로 간주하여 단순화시킨 설계 하중은 과소평가될 수도 있다는 것을 의미한다. 하지만 고유주기가 하중 지속시간 보다 더 긴 경우(⑤구간), 부 압력단계를 고려하였을때 변위가 덜 발생했다는 것을 알 수 있다. 두 가지 경우에서 모두 고유주기는 하중 지속시간의 4배였지만 부 압력단계가 포함되어 있는 경우는, 정압에 의해 발생한 변위의 지속성이 부압의 효과로 인해 저하되기 때문에 변위가 더 작게 나타났다. 즉 이러한 조건에서는 고유주기가 길기 때문에 매우 짧은 시간동안 가격된 후 소멸되는 폭발하중의 영향이 상대적으로 미미하다는 것을 알 수 있고, 정압과 부압 구간이 각각 1cycle로 적용되는 형태가 아니라 거의 동시에 작용하여 정압 방향의 변위가 부압으로 인해 둔화된다는 것을 알 수 있다. 이처럼 매우 짧은 시간동안 지속되는 폭발하중의 경우 해당 부재의 고유주기에 따라 서로 다른 응답특성을 나타내므로, 변위응답 분석 및 설계하중 도출과정에서 이러한 특성들을 잘 반영하여야 할 것이다.
4. 유한요소해석
4.1 유한요소해석 모델
본 연구에서의 대상 구조물인 방화벽의 유한요소모델은 Fig. 7에 나타낸 것과 같다. FPSO 탑사이드 모듈 사이에 배치되는 방화벽은, plate type과 corrugated type으로 분류되는데, 본 연구에서는 plate type의 방화벽을 구조해석 대상물로 간주하였으며, 실제 제작 공정을 고려하여 모델링을 수행하였다. 또한 요소 크기의 경우 민감도 평가를 통해 최적의 크기라고 판단되는 50mm×50mm을 기준으로 설정 하였으며, 요소의 형태는 시간 효율성 및 해의 수렴성을 고려하여 쉘 타입 요소(Belytschko-Tsay)를 사용하였다. 방화벽의 경우 실제 모듈 내에 용접 및 리벳 접합 등에 의해 고정되므로 방화벽 하부의 경우 고정조건으로 설정하였으며 측면의 경우 인접 모듈 및 다른 장비와의 연결성을 고려하여 단순지지조건으로 설정하였다.
4.2 유한요소모델의 재료 특성
유한요소모델에 적용된 재료 물성 치는 Table 1에 정리된 것과 같다. 해양플랜트용 강재로 주로 사용되는 연강재의 물성을 해석모델에 적용하였으며, 연강재의 변형률 속도를 고려하기 위해 Cowper-symonds 모델의 변형률 속도와 관련된 구성방정식의 재료상수를 사용하였다. 식 (3)은 Cowper- symonds의 식을 나타내며 본 연구에서 사용한 재료 상수 값은 Table 1에 나타낸 C, q의 값과 같다.
Table 1
Material properties of FE model
| ρ(kg/m3) | E(GPa) | σy(MPa) | Strain rate parameter | |
|---|---|---|---|---|
| C(s-1) | P | |||
| 7850 | 205.8 | 235 | 40 | 5 |
위 식에서
는 변형률 속도를 나타내며, C와 q값은 동적 인장실험을 바탕으로 도출되며, 본 연구에서 사용한 C, q의 값은 연강재에 일반적으로 적용되는 상수이다(Chung, 2005). 재료 모델은 이러한 cowper-symonds 모델의 재료 상수가 적용 가능한 piecewise linear plasticity 모델을 사용하였다.
4.3 하중조건 및 해석조건
가스 폭발하중 지속시간과 구조부재의 고유주기와의 관계에 따른 구조물의 동적응답 평가를 수행하기 위해 동 해석 시 주로 사용되는 상용프로그램인 LS-DYNA를 이용하였다. 구조해석을 위한 하중조건은 td/Tn의 비에 따라 총 세 가지 형태로 하중조건을 구분하였다.
1) td/Tn=1.23; 고유주기와 비슷한 지속시간의 하중
2) td/Tn=0.5; 고유주기에 비해 상대적으로 짧은 하중
3) td/Tn=0.1; 고유주기에 비해 매우 짧은 하중
방화벽 FE모델의 고유주기의 경우 일반적으로 모드 해석 시 1차 모드를 포함한 저차모드를 가장 중요시 여기므로 본 연구에서도 1차 모드의 고유주기를 고려하였으며, 모든 해석에서 고유주기를 동일하게 유지하고 각각의 하중 지속시간을 함수비의 값에 맞도록 조정하였다. 또한 부 압력단계에서의 최대 압력을 조정하여 변위응답에 미치는 영향 또한 분석하였다. 해석기법의 경우 explicit 해석기법을 사용하였는데, 이는 폭발하중의 특성 상 그 지속시간이 매우 짧기 때문에 implicit 해석기법을 사용할 경우에 time step에 따른 강성행렬 계산에 많은 시간이 걸리며, 신뢰도 높은 해석결과를 도출하기 어렵기 때문이다(Kim, 2007). 시간 증분은 LS- DYNA에서 제공하는 자동 설정 기능을 사용하였다.
4.4 유한요소해석 결과
하중 지속시간과 고유주기의 비에 따른 동적응답 특성이 상이하게 나타난다는 것을 단 자유도 모델을 통해 분석하였다. 본 절에서는 전형적인 판 구조물인 방화벽의 폭발하중 이력에 따른 변위 응답 특성을 분석한 유한요소해석 결과를 나타낸다. 최대부압(PN)의 크기를 최대정압(PP)의 0.25배, 0.5배, 1배로 각각 차등 적용한 후 이를 유한요소해석을 위한 하중조건으로 적용하였으며, 이러한 해석 변수를 통해 부 압력단계의 특성에 따른 방화벽의 응답 특성을 분석하고자 하였다. Fig. 8(a)~(c)는 각각 그 결과를 나타낸다. 앞 절에서 분석한 바와 같이 하중 지속시간과 고유주기의 비에 따른 방화벽의 동적응답을 분석하기 위해 하중 지속시간에 변화를 두었고, 각 구간별 최대 압력은 동일하게 적용하였다. Fig. 8(a)에 나타낸 것과 같이 고유주기와 비슷한 지속시간의 하중이 작용한 경우는 세 가지 하중 조건 모두 다 지속 시간 내에서 최대 변위가 발생하였으며, 부 압력단계의 최대 압력이 클수록 변위가 더 크게 발생하였다. 또한 초기 변위 발생 후 부 압력단계에 의해 반대 방향의 변위가 발생하게 되는 시점이 세 가지 모두 유사한 시점에서 나타났다. 이는 하중 지속시간과 FE모델의 고유 주기가 유사하기 때문에 나타난 현상으로 사료된다. Fig. 8(b)는 고유주기에 비해 상대적으로 짧은 하중이 작용하였을 때 변위 응답 결과를 나타낸다. Fig. 8(a)에 나타낸 결과와 비교하였을 때 차이점은 최대 부압이 가장 큰 조건(PN=PP)에서 최대 변위가 발생한 시점이 다르다는 것이다. Fig. 8(a)에서는 최대 부압이 큰 경우가 나머지 두 경우에 비해 늦은 시점에서 최대 변위가 발생한 반면, Fig. 8(b)의 경우 최대 부압이 가장 큰 경우(PN=PP)가 최대 변위까지 도달하는데 걸리는 시간이 가장 짧았다. 이는 고유주기가 하중 지속시간과 비교할 때 더 길기 때문에 Fig. 8(a)의 경우보다 상대적으로 부 압력단계의 영향을 많이 받게 되고, 동일한 지속시간에서 최대 부압이 더 큰 경우, 재하속도가 더 빠르기 때문에 나타난 결과로 판단된다. 마지막으로 Fig. 8(c)는 고유주기에 비해 매우 짧은 하중이 작용한 결과이며 세 가지 조건 중 가장 작은 변위가 발생하였다. 또한, 최대 부압이 큰 경우(PN=PP)에 초기 변위 발생이 가장 적게 발생하였으며, 나머지 두 경우와 비교했을 때, 그 차이 또한 상대적으로 지속시간이 긴 하중이 작용한 경우에 비해 더 크게 나타난 다는 것을 알 수 있다. 이처럼 폭발하중의 지속시간과 고유주기의 비로 결정되는 함수 값에 따라 부 압력단계가 구조부재의 변형에 작용하는 효과가 다르다는 것을 본 해석 결과를 통해 알 수 있었으며, 이러한 결과들은 실제 산업현장에서도 신뢰도 높은 방폭 설계하중 값을 도출하고 방폭 대상 구조물의 안전성 확보를 위한 정밀 설계를 수행하는데 있어 핵심 데이터로 활용될 수 있을 것이라 사료된다.
5. 결 론
본 연구에서는 폭발하중의 지속시간과 하중을 부여 받는 구조부재의 고유주기와의 관계에 따른 응답 이력 특성에 관한 분석을 수행하였다. 구조해석의 하중조건으로 적용된 폭발하중 이력은 폭발해석을 통해 도출된 하중 이력들의 특징을 반영하여 삼각형 형태의 단순화 모델로 전환하여 사용하였다. 일반적으로 부 압력단계가 폭발하중 이력에서 차지하는 비중이 작고, 구조물의 변형에 미치는 영향력이 미미하다고 판단하여 폭발하중에 의한 수치해석에서 이를 제외하는데, 본 연구를 통해 가스 폭발하중 이력에서는 부 압력단계가 전체 하중 이력에서 차지하는 비중이 상당하다는 것을 알 수 있었으며, 부 압력단계의 형상에 따라 전체 하중 지속시간이 결정되기 때문에, 폭발하중을 고려한 구조부재의 응답 이력을 평가하기 위해서는 부 압력단계가 반드시 고려되어야 한다는 것을 알 수 있었다. 또한, 유한요소해석 결과로부터, 폭발하중 지속시간 내에 구조부재의 고유주기가 포함될 때는 부 압력단계로 인해 구조부재의 동적변형 효과가 더 크게 나타난다는 것이 드러났으며, 폭발하중 지속시간보다 구조물의 고유주기가 더 긴 경우에는 부 압력단계의 효과로 인해 초기 방향으로의 변형이 발생하는데 있어 지속성을 저하시키는 역할을 한다는 결론을 도출할 수 있었다. 따라서 폭발하중에 따른 구조응답 평가에서 부 압력단계를 고려하지 않는 것은, 신뢰도 높은 해석결과를 도출하기 어려우며, 이러한 결과를 설계 과정에 반영할 경우에 불확실한 설계가 이루어지게 될 수도 있다. 따라서 폭발하중에 의한 구조부재의 변형에 대한 분석 및 방폭 과정에 필요한 설계활동을 수행할 시, 반드시 부 압력단계를 반영해야 하며, 폭발하중 지속시간과 대상물의 고유주기와의 관계에 따른 구조물의 응답 특성을 고려하여야만 한다.



















