1. 서 론
ILM 교량은 압출되는 동안 상부의 단면이 지간의 중앙부와 지점부를 모두 통과한다. 따라서 단면들은 자중에 의한 최대 정모멘트 및 최대 부모멘트를 모두 경험하는 구조적 특성을 가진다. 이 일시적인 응력을 효과적으로 제어하기 위해서 다양한 방법이 있으며, 이중에서 압출추진코를 이용하여 캔틸레버 작용을 감소시키는 방법이 대표적으로 사용되고 있다(Rosignoli, 2000; Sasmal et al., 2004).
ILM 교량 상부구조물 단면의 최적설계를 위해서는 압출추진코와의 상호작용이 고려된 해석과 압출추진코의 최적설계가 필수적이다(Rosignoli, 1999). 이를 위해서는 다양한 설계변수 해석이 요구된다. 이 과정에서 설계변수들의 수정에 따른 반복적인 모델링 작업과 해석이 필요하고 많은 설계시간이 소요될 수 있다(Sasmal et al., 2006; Fontan et al., 2014).
압출추진코의 최적설계를 위한 최적화 기법(Fontan et al., 2011)이나, 상부구조와 압출추진코의 상호작용이 고려된 ILM 상부구조 단순 해석식(Rosignoli, 1998; Lee et al., 2006; 2012) 및 예비설계용 최적화 설계식(Lee et al., 2006; Choi et al., 2008)에 관한 연구가 수행되었다. Rosignoli(1998)는 압출추진코의 강성과 중량을 모두 등단면으로 가정한 해석식을 사용하여 압출추진코의 최적길이비를 제시하였다. Choi(2008)은 Rosignoli(1998)와 동일한 해석식을 사용하여 최적길이비를 부모멘트 최소화 조건 및 정모멘트 최소화 조건에 따라 각각 제시하였다. 또한 Lee 등(2006)의 연구에서 압출추진코의 강성과 중량을 모두 변단면으로 적용한 해석식 및 설계식이 제시되었다. 그러나 선행연구들에서는 상부구조물과 압출추진코의 연결부 보강단면인 다이아프램을 고려하지 않았거나, 다이아프램이 고려된 기초연구만 있었다.
이 연구에서는 설계자가 예비설계시 신속한 구조해석을 수행할 수 있어 최적설계를 위한 설계 여유시간을 가질 수 있도록 다이아프램이 고려된 압출중 ILM 교량의 상부단면에 발생하는 휨모멘트 단순 해석식을 개발하고자 한다. 또한 ILM 교량의 압출중 역학적 특성에 따라 상부단면의 최적화에 영향을 줄 수 있는 압출추진코의 최적설계조건에 관하여 분석하고자 한다.
2. 다이아프램이 고려된 단순 해석식
2.1 매개변수 및 기본가정
상호작용에 영향을 줄 수 있는 압출추진코와 교량 상부단면의 기하학적, 역학적인 특성을 고려하고자 이 연구에서는 다음 5가지의 매개변수를 적용한다(Lee et al., 2006).
1) 교량 상부구조(l)의 지간길이에 대한 압출추진코(ln)의 길이비 : ln/l
2) 교량 상부구조(q)와 압출추진코(qn)의 단위 길이당 중량비 : qn/q
3) 교량 상부구조(I)와 압출추진코(In)의 강성비 : In/I
4) 교량 상부구조(E)와 압출추진코(En)의 탄성계수비 : En/E
5) 교량 상부구조의 다이아프램 하중 : Pd
상부단면과 압출추진코로 이루어진 구조체가 압출이 진행되는 동안 가질 수 있는 대표적인 구조계를 Fig. 1과 같이 두 단계로 정의한다. 압출추진코가 지점 A에 도달하기 직전까지의 캔틸레버 상태(Fig. 1(a))를 1단계 압출이라 정의하고, 압출추진코가 지점 A에 도달한 후부터 콘크리트 상부가 지점 A에 도달할 때까지(Fig. 1(b))를 2단계 압출이라 정의한다. Fig. 1에서 압출되는 콘크리트 상부구조의 길이를 αl로 정의하면 1단계와 2단계 압출의 α범위는 0
1이다.
이 연구의 해석모델에서는 다음과 같은 가정들을 적용한다.
1) 교량 상부구조는 일정한 강성 및 중량을 가진다.
2) Fig. 1의 D지점 이후는 지간길이가
인 무한개의 연속보로 되어 있다고 가정한다.
3) 미지수를 추가적으로 도입하지 않기 위해서 압출 긴장력은 도심축을 지난다고 가정한다.
2.2 해석식 유도
압출중인 ILM 교량 상부단면의 설계단면력은 Fig. 1의 지점 B와 지점 C에서의 부(-)모멘트, 그리고 지간 AB와 지간 BC에서 발생하는 정(+)모멘트 중에서 결정될 수 있다.
2.2.1 지점 B에서의 부모멘트
Fig. 1의 지점 B에서부터 압출추진코와 상부의 연결부분이 거리 x 만큼 압출되었을 때, α = x /l이다. 1단계 압출과정, 즉 압출추진코의 끝부분이 지점 A에 도달하기 직전까지의 설계단면력으로 결정되는 지점 B의 휨모멘트 M*B은 식 (1)과 같이 나타낼 수 있다. 이 식은 지점 B 이후로 압출된 상부와 압출추진코를 캔틸레버 상태로 가정하면 평형방정식 만으로 쉽게 유도된다.
2단계 압출은 압출추진코가 지점 A에 도달한 때부터 시작되고, 압출이 진행되는 동안에 지점 B에 발생되는 휨모멘트를 M**B라 정의한다. Fig. 1의 D지점 이후를 무한연속보로 가정하고, 교량 전체 구조계에서 지점 A~D의 3경간 연속보를 해석영역으로 적용한다. MD=ql2/12을 적용하면 휨모멘트 M**B는 식 (2)와 같다.
식 (2)의 완전한 해석식을 얻기 위해서는 지점 수직반력 RC와 RD를 알아야 한다. 수직반력 RC와 RD는 평형방정식과 최소일의 원리를 적용하여 지점 수직반력 RA, RB와 함께 구할 수 있다. 이렇게 해서 얻어진 지점 수직반력 RC와 RD를 식 (2)에 대입하면 식 (3)과 같이 2단계 압출과정 중 설계단면력을 얻을 수 있다.
여기서, ①과 ②는 다음과 같다.
3. 해석식 검증
3.1 검증 모델
이 연구에서 개발된 단순 해석식의 정확성을 검증하기 위하여 상용 구조해석 프로그램인 MIDAS Civil(MIDAS IT, 2012)을 사용하여 상부구조 해석을 수행하였다. 검증 예제로서는 현재 완공되어 공용중인 14개의 실제 교량 제원을 사용하였다. Fig. 2는 그 중 한 교량의 해석 모델링 모습을 나타낸다. 이때 예제 교량의 설계변수값은 Table 2와 같다. 여기서 자중은 등분포하중으로 적용을 하였으며, 다이아프램 하중은 상부구조물과 압출추진코가 접하는 곳에 집중하중으로 적용하였다. 압출과정은 상부구조물을 0.5m씩 압출을 시켜 총 100개의 해석모델로 적용하였다.
3.2 해석식의 정확성
Fig. 3는 Fig. 2의 교량을 검증한 결과를 나타낸다. ILM 교량의 상부구조의 모멘트 값 MB, MC, MAB, MBC를 비교해본 결과 전체적으로 0.5%이하의 오차 범위에서 개발된 해석식의 정확성을 확인하였다. 또한, 검증 과정에서 발견된 선행연구(Lee et al., 2012)의 일부 오류를 식 (3)에서는 수정되었음을 확인하였다. 따라서 제안된 해석식은 설계자가 신속하고 정확하게 설계 단면력의 크기를 구할 수 있고 설계단면력이 발생되는 압출시기도 쉽게 알 수 있도록 유용한 도구가 될 것으로 판단한다. 이러한 정확도는 다른 예제 교량의 해석에서도 같은 결과를 보였다.
3.3 다이아프램에 따른 길이비, 강성비 분포
다이아프램은 상부 구조물과 압출추진코 연결 지점부의 강성을 향상시키는 역할을 한다. 이 연구에서 조사 분석된 ILM교량의 다이아프램 분포는 Fig. 4와 같다. 다이아프램의 크기와 압출추진코의 길이비, 강성비의 상관관계는 찾을 수 없었다. 다만, 다이아프램의 크기는 상부 PSC 박스의 크기 및 단면 형상에 영향을 받을 것으로 보인다.
3.4 다이아프램의 영향
3.3절의 조사된 사례 교량의 다이아프램 분포를 바탕으로
다이아프램의 크기 변화에 따른 교량 상부구조물의 단면력 궤적의 한 예를 Fig. 5에 나타내었다. 압출 시작시점과 종료시점에서의 모멘트 크기는 같지만 압출중 발생하는 최대 모멘트에서는 다이아프램 하중에 따라 차이를 보인다. Pd=0kN 즉, 다이아프램을 고려하지 않으면 MB는 최대 13.4%, MAB는 최대 6.4% 만큼 설계 단면력이 과소평가되어 상부구조 안전성에 유해한 영향을 미칠 것이다. 따라서 압출중 상부구조의 설계단면력 해석에 반드시 다이아프램의 영향을 고려해야 할 것으로 본다.
4. 변단면 압출추진코의 등가 등단면 환산방법
4.1 압출추진코 단면의 형상
Fig. 6는 3.1절에서 검증 예제로 사용되었던 ILM 교량중 단면형상이 다른 3개 교량의 압출추진코 단면이다. 대부분의 압출추진코는 I형 플레이트를 양쪽에 배치하고, 비틀림 방지를 위해 수평.수직 브레이싱으로 보강되어 제작된다. 각각의 교량에 따라서 형상이 다르고 단면의 형태는 길이방향에 따라 일정하지 않고 변한다.
이 연구에서는 조사된 사례 교량을 바탕으로
의 길이비에 따라 등단면 압출추진코의 산술평균값과 도심평균값을 Fig. 7과 같이 나타냈다. 이는 각각 단면 끝단의 강성값을 단순 산술평균한 것과 단면 도심위치에서의 강성값이다. Fig. 7(a)와 같은 경우는 압출추진코의 단면형상이 전체 길이에 따라 선형적으로 변화하는 경우의 그림이다. Fig. 7(b)의 경우는 단면형상이 일정한 구간(
ns)과 선형적으로 변화하는 구간이 함께 존재하는 경우이고, Fig. 7(c)와 같은 경우는 일정한 구간(
ns)이 보다 더 긴 경우이다.
4.2 등가 등단면의 특성값
실제 ILM 교량의 압출중 상부구조물에 발생하는 모멘트를 정확하게 계산하기 위해서는 4.1절에서 살펴본 바와 같이 압출추진코 단면형상에 따라 변단면 해석을 수행해야 한다. 그러나 단순 해석식의 사용 간편성을 위해 압출추진코의 단면형상이 등단면으로 가정된 해석식이 개발되었다. 따라서 적절한 압출추진코의 등단면 중량값 및 강성값 결정이 요구된다.
선행연구(Lee et al., 2012)에서 압출추진코의 중량을 변단면과 등단면으로 가정하였을 때의 모멘트 차이가 미소하게 나타났다. 따라서 등단면 압출추진코의 중량 qn은 식 (7)과 같이 압출추진코의 전체 길이에 압출추진코의 총 무게를 나눈 값으로 간편하게 결정한다(Lee et al., 2012).
Fig. 8은 3.1절에서 검증 예제로 사용되었던 ILM 교량의 압출중 발생한 최대 모멘트를 비교한 것이다. MIDAS Civil 해석값은 압출추진코의 실제 변단면 형상과 부재들을 모델링하여 적용한 것이다. Fig. 8에서 단순 해석식에 압출추진코의 강성을 도심평균 및 산술평균의 등단면으로 적용한 경우 차이가 있는 것을 확인할 수 있다. Fig. 8의 K, L, M교량에서 도심평균 강성값을 단순 해석식에 사용하였을 경우 최대 모멘트는 MIDAS Civil로 해석된 최대 모멘트값 보다 작다. 이것은 도심평균 강성값이 실제 강성값 보다 과다 평가되어 적용되었기 때문이고 이 경우는 설계 모멘트값이 과소평가되어 불안전한 설계를 초래할 가능성이 존재한다. 따라서 압출추진코 단면형상의 비교를 통해서 산술평균 강성값과 도심평균 강성값 중 하나를 적절하게 선택해야 한다. Fig. 9를 보면 K, L, M교량을 제외한 교량은
의 길이비가 0.4이하인 단면형상을 보인다. 이와 같은 경우에는 산술평균 강성값과 도심평균 강성값을 적용한 최대 모멘트 모두가 실제 단면 강성값을 고려한 최대 모멘트에 비해 크게 나타난다(Fig. 8). 따라서 이 경우에는 도심평균 강성값을 사용하면 산술평균 강성값을 사용한 경우 보다 설계단면력을 줄일 수 있다. 반면에 K, L, M교량은
의 길이비가 0.4이상인 단면형상이다. 이와 같은 경우에는 도심평균 강성값을 사용한 경우 최대 모멘트가 실제 단면 강성값을 적용한 최대 모멘트에 비해 작게 되어 불안전 설계를 초래할 가능성이 있다(Fig. 8). 따라서 이 연구에서는 Fig. 9에서 제시된 바와 같이
의 길이비가 0.4이하일 때는 압출추진코의 강성을 도심평균값으로 산정하고, 0.4이상일 때는 산술평균값으로 산정하는 것이 올바른 해석이라 분석한다.
5. 최적설계조건
5.1 최소강성비와 최적길이비
압출추진코의 길이가 상부구조 지간의 길이에 비해 상대적으로 긴 경우는 캔틸레버 상태로 압출할 수 있는 상부단면의 저항력을 충분히 활용하지 못하여 비경제적인 설계가 된다.
반면에 압출추진코의 길이가 지간의 길이에 비해 상대적으로 짧은 경우는 압출추진코를 설치하는 효과가 감소한다(Lee et al., 2006). 따라서 압출추진코와 상부구조 지간의 최적길이비가 요구된다.
압출추진코와 상부구조 지간의 최적길이비를 도출하는 방법은 부모멘트를 최소화시키는 방법(Rosignoli, 2002; Lee et al., 2010; Choi et al., 2008)과 정모멘트까지 최소화시키는 방법(Choi et al., 2008)이 연구되었다. 압출중 최대 부모멘트가 발생할 수 있는 단면 위치는 Fig. 1에서 알 수 있듯이 지점 B와 지점 C이다. 우선은 지점 B에서의 최대 부모멘트가 지점 C에 비하여 크게 나타날 것이라 가정하고 최적길이비를 산정한다.
부모멘트 최소화 조건하에서 최적길이비란 1단계 압출완료 시점과 전체 압출종료 시점의 모멘트 값 차이를 가능한 최소화시킬 수 있는 길이비로 정의한다. 한편 2단계 압출중 상부단면에 발생하는 휨모멘트는 압출추진코와 상부구조의 단면 강성비에 종속된다. 따라서 2단계 압출중에 발생하는 모멘트가 압출종료 시점의 모멘트를 초과하지 않도록 하는 최소강성비 조건이 우선 필요하다. 다이아프램이 고려되지 않았을 경우의 최소강성비는 선행연구(Rosignoli, 1998; Lee et al., 2002; Choi et al., 2008)에서 0.2로 제시되었으며, 이 연구에서도 같은 결과를 확인하였다.
선행연구와 같은 절차와 방법으로 다이아프램을 고려하여 산출된 최소강성비는 Table 3과 같다. 이 값은 중량비 및 길이비에 관계없이(Lee et al., 2006) 다이아프램의 크기에 따라 결정된다.
Table 3
Minimum Relative Stiffness Considering Diaphragm Load
| Pd(kN) | Minimum Relative Stiffness |
|---|---|
| 0 | 0.2 |
| 400 | 0.25 |
| 800 | 0.3 |
| 1200 | 0.35 |
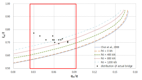
최소강성비를 만족하면서 지점 B의 부모멘트를 최소화시키는 중량비 변화에 따른 압출추진코와 상부구조 지간의 최적길이비는 Fig. 10과 같다. Fig. 10에서 알 수 있듯이 중량비의 범위는 사례 교량들에서 얻어진 중량비는 물론이고 실제 교량에서 나타날 수 있는 중량비를 충분히 포함할 수 있는 0~0.165사이로 하였다. 이 범위에서 지점 B의 부모멘트가 지점 C의 부모멘트 보다 항상 크다는 것은 매개변수해석을 통해 확인하였다.
Fig. 10에서는 다이아프램의 크기가 증가할수록 더 긴 압출추진코를 사용해야 하는 것을 알 수 있다. 따라서 압출추진코의 최적설계를 위해서는 다이아프램의 영향을 반드시 고려해야 할 것이다. 또한 Fig. 10으로부터 사례 교량들의 압출추진코 길이는 최적길이비 보다 길게 설계되어 온 것을 알 수 있다. 즉 사례 교량들에서는 비경제적으로 긴 압출추진코를 적용해 온 것을 의미한다.
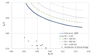
압출중 한 단면에서 정모멘트와 부모멘트가 교대로 발생되는 ILM 교량의 특성상 정모멘트의 발생을 최소화시키는 것도 최적설계 조건에서는 필요하다. 정모멘트 최소화 조건하에서의 최적길이비란 지간 AB에서의 최대 모멘트와 지간 BC에서의 최대 모멘트 차이를 최소화하게 하는 압출추진코와 상부구조 지간의 길이비로 정의한다(Choi et al., 2008).
이 연구에서는 다이아프램의 영향이 고려된 정모멘트 최소화 조건하에서의 압출추진코와 상부구조 지간의 최적길이비를 0~0.165의 중량비 범위에서 Fig. 11과 같이 산정하였다. Fig. 11에서는 정모멘트 최소화 조건을 만족하는 최적길이비에 비해 분석된 사례 교량들의 길이비가 짧다는 것을 알 수 있다. 이것은 부모멘트 최소화 조건의 경우와 상반되는 분석결과이다. 따라서 최적길이비의 적용을 위해서는 부모멘트 최소화 조건과 정모멘트 최소화 조건중 어느 것을 따라야 적합한지 알아야 되고, 이는 압출중 발생하는 상부구조물의 절대 최대 모멘트가 부모멘트와 정모멘트 중에서 어느 것에 의해 결정되는지 확인이 필요하다.
5.2 절대 최대 모멘트
절대 최대 모멘트는 최적길이비를 적용한 압출중 상부구조물에 발생되는 최대 모멘트이다. Fig. 12은 다이아프램의 크기가 Pd=800kN인 한 예를 보여주고 있다. 굵은 점선과 굵은 실선은 각각 부모멘트 최소화 조건하에서의 최적길이비와
절대 최대 모멘트값을 나타낸다. 가는 점선과 가는 실선은 각각 정모멘트 최소화 조건하에서의 최적길이비와 절대 최대 모멘트값을 나타낸다. Fig. 12를 이용해서 최소강성비와 최적길이비 조건을 만족하는 경우의 압출중 발생하는 절대 최대 모멘트를 간편하게 예측할 수 있다.
다이아프램의 크기가 Pd=800kN인 경우에 정, 부모멘트를 모두 고려한 이상적인 설계조건은 단위 중량비 0.155, 길이비 0.905를 적용하는 경우임을 Fig. 12에서 알 수 있다. 이 결과는 직관적으로 비현실적임을 알 수 있다. 즉 부모멘트 최소화 조건과 정모멘트 최소화 조건 모두를 동시에 만족하는 최적길이비는 ILM 교량의 압출중 역학특성으로 인하여 비현실적이다. Fig. 12(a)와 Fig. 12(b)의 최대 모멘트의 크기를 비교해 보면 절대 최대 모멘트는 부모멘트에 의해 결정되는 것을 알 수 있다. 이와 같은 결과는 크기가 다른 다이아프램의 경우에서도 확인되었다. 따라서 부모멘트 최소화 조건만을 고려하는 것이 압출추진코의 최적설계를 위한 효과적인 방법이 될 것으로 판단된다.
6. 결 론
1)다이아프램이 고려된 ILM 교량의 압출중 상부구조물 휨모멘트 단순 해석식을 개발하였다. 사례 교량을 대상으로 MIDAS Civil을 사용하여 비교 검증한 결과 대부분의 경우 0.5%이하 오차를 가지는 정확성을 확인하였다.
2)다이아프램을 고려한 경우와 고려하지 않은 경우에 상부구조의 압출중 휨모멘트는 사례교량에서 최대 13.4%의 차이를 보였다.
3)단순 해석식의 사용 간편성을 위해 압출추진코를 등단면으로 가정하였다. 따라서 적절한 등단면의 단면 강성값 등이 필요하다. 이 연구에서는
의 길이비 값이 0.4이하일 경우에는 도심평균값을 사용하고, 0.4이상일 경우에는 산술평균값을 사용할 것을 제안하였다.
4)압출추진코의 최적설계는 압출중 부모멘트 최소화 조건을 우선적으로 고려하는 것이 효과적인 방법이 될 것으로 판단된다.


























