1. 서 론
풍진동이란 바람에 의해 건축물이 수평방향으로 흔들리는 현상이다. 최근 국내 건설업계에서는 구조 및 재료 기술의 발전으로 초고층 건축물의 수가 증가하는 추세이나 건축물이 고층화 될수록 풍하중에 취약하다. 최근에는 이러한 고층건물의 풍진동 제어를 증진시키는 방안들에 대하여 많은 연구가 진행(Kareem et al., 1995; You et al., 2009; Iwan et al., 1972; Wen et al., 1980)되었으며, 동조액체감쇠기 또는 동조액체기둥감쇠기를 상층부에 설치하는 방법이 사용되기도 한다. 동조액체감쇠기는 직사각형 또는 원형의 수조 내부 액체의 출렁임 주기를 건축물의 주기에 동조시켜 동적 응답을 저감시키는 장치(Sun et al., 1992; Lee et al., 2010)이다. 동조액체감쇠기는 비선형 거동이 크게 나타나며 진동수영역에서의 수위의 피크가 고유진동수를 넘어선 지점에서 급격하게 감소하는 Jump frequency현상과 실험적인 고유진동수가 이론값보다 과대평가되는 Hardening현상(Reed et al., 1998; Yu et al., 1999; Yalla et al., 2001; Olson et al., 2001) 등이 나타난다. 동조액체기둥감쇠기는 수평과 수직기둥 부분이 결합한 U자형 수조로 구성(Sakai et al., 1989)된다. 동조액체기둥감쇠기는 중앙부 액체의 출렁임에 참여하지 않는 부분을 제거, 액체의 왕복운동을 원활하게 하여 동조액체감쇠기의 비선형성을 완만하게 한다. 또한 건물과 동조시키기 편리함과 그 감쇠기의 동적 특성을 쉽게 알 수 있는 장점(Min et al., 2005; Wu et al., 2005; Yalla et al., 2000)이 있다. 건물이 수평방향으로 흔들릴 경우, 동조액체기둥감쇠기는 U자형의 모양을 따라 왕복운동을 하여 주기를 형성하며 이 주기와 건물의 고유주기를 동조시켜 건축물의 진동을 저감시킨다. 현재 동조액체기둥감쇠기는 One Wall Center(캐나다, 벤쿠버) 및 Random House(미국, 뉴욕), 송도 더샾퍼스트월드 아파트(한국, 송도) 등에 사용되어 풍하중에 대한 동적응답을 감소시키는데 사용되고 있다.
동조액체기둥감쇠기는 건물에 설치하기 전에, 가조립된 동조액체기둥감쇠기를 이용한 성능검증 수행 및 고유진동수, 감쇠비에 대한 미세조정을 공장 혹은 실험실에서 수행하는 것이 필요하다. 오늘날까지 전기 용량식 파고계가 동조액체기둥감쇠기의 성능검증 및 동적 특성을 파악하는 실험에서 주로 사용되었다. 하지만 전기 용량식 파고계는 고가의 센서로 설치의 어려움이 따르며 유전율의 변동에 따라 수위 측정에 오차가 발생하게 된다. 최근까지 동조액체기둥감쇠기에 관한 동적 특성의 분석(Min et al., 2014; Gao et al., 1997) 및 설계(Wu et al., 2005; Chang et al., 1998; Min et al., 2014) 지침에 관한 연구는 활발하게 진행되었지만 동조액체기둥감쇠기의 동적 특성 파악을 위한 수직운동 측정 방안에 관한 연구는 미비한 상황이다.
본 연구에서는 동조액체기둥감쇠기의 동적특성 파악을 위한 수직운동 측정 방안으로, 경제적이며 부착 및 설치가 용이한 가변전압 수위측정 시스템 개발을 목적으로 한다. 본 논문의 구성으로써 2장에서는 동조액체기둥감쇠기의 비선형감쇠항을 등가점성감쇠항으로 치환한 모델을 이용하여 설계파라미터인 고유진동수와 감쇠비를 조사하였다. 또한 동조액체기둥감쇠기에 형성된 전기장 내에서 측정된 가변전압을 동조액체기둥감쇠기의 수직운동인 수위로 변환하는 식을 유도하였다. 3장에서는 동조액체기둥감쇠기의 설계 파라미터인 고유진동수와 감쇠비를 구하기 위하여 진동대 실험을 실시하였다. 또한 고가의 전기 용량식 파고계를 이용하여 파악한 동조액체기둥감쇠기의 설계파라미터와 경제적이고, 부착 및 설치가 용이한 구리테이프를 부착한 후, 일정하게 형성된 전기장 내 가변전압측정으로 파악한 동조액체기둥감쇠기의 설계파라미터를 비교하여 본 연구에서 제시한 수위측정 시스템의 성능 및 타당성을 비교 분석하였다.
2. 동조액체기둥감쇠기 해석모델 및 전기장 내 수위 측정 시스템
2.1 동조액체기둥감쇠기의 해석모델
본 절에서는 동조액체기둥감쇠기의 운동을 기술할 수 있는 운동방정식을 유도하여 동조액체기둥감쇠기의 동적 특성을 파악한다. 동조액체기둥감쇠기의 운동방정식 유도 대상은 Fig. 1과 같이 횡방향으로 가진되는 동조액체기둥감쇠기로 하며, 동조액체기둥감쇠기의 단면적을 A, 수평길이와 수직길이를 각각 Lh, Lv로 나타내었다. 동조액체기둥감쇠기가 횡방향으로 가진되는 경우 동조액체기둥감쇠기 수조 내부 액체의 운동방정식은 다음과 같이 표현(Sakai et al., 1989)된다.
여기서, m1=ρA(Lh+2Lv)으로 표현되며 동조액체기둥감쇠기의 유효참여질량이며, m3=ρALh로 동조액체기둥감쇠기의 수평길이에 관한 참여질량이다. 비선형감쇠항은 C1=
이고, 강성과 관련된 항은 κ1=2ρAg로 표현된다. 액체의 밀도와 수도손실계수, 동조액체기둥감쇠기 내부 액체의 속도는 각각 ρ, η,
로 표시하였다.
식 (1) 좌변의 감쇠항은 비선형감쇠항으로 수평기둥부분에서의 액체와 수평관 사이의 마찰에 의해서 발생되는 것이다. 현재까지 조화하중에 대한 비선형감쇠항을 등가점성감쇠항으로 치환하는 여러 연구가 수행되었으며, 조화하중에서 수조 내부 액체의 수위가 y=κsinut일 경우, 등가점성감쇠항은 다음 식과 같이 표현(Wu et al., 2005)된다.
여기서, κ는 동조액체기둥감쇠기 내부 액체의 최대진폭이며, ω는 내부 액체의 진동수이다. 식 (2)를 식 (1)에 대입하여 m1으로 정규화하면 다음과 같다.
여기서, Le=Lh+2Lv로 동조액체기둥감쇠기의 전체 유효길이이며,
로 동조액체기둥감쇠기의 고유진동수이다. p=Lh/Le는 동조액체기둥감쇠기의 전체 유효길이와 수평길이의 비를 나타낸다. 단자유도화된 건물에 조화하중이 가해졌을 때, 건물의 응답과 동조액체기둥감쇠기의 응답을 각각 x=x0eiwt, y=y0eiwt로 가정하여 식 (3)에 대입하면 동조액체기둥감쇠기의 최대진폭 y0은 다음과 같이 표현된다.
여기서, γ=ω/ωy로 가진진동수와 동조액체기둥감쇠기의 고유진동수의 비이다. 동조액체기둥감쇠기 내부액체의 최대 진폭 y0과 비선형 감쇠항을 한 주기 동안 에너지소산이 같은 등가점성감쇠로 치환할 때의 진폭 κ가 서로 같음을 이용하면 κ는 다음과 같다.
식 (5)를 유체 흐름의 에너지소산 정도를 표현하는 무차원 계수인 수두손실계수로 정리하면 다음과 같이 정리된다.
동조액체기둥감쇠기의 감쇠비는 등가점성감쇠항의 형태로부터 ccr=2m1ωy이므로 최종적으로 동조액체기둥의 감쇠비는 다음과 같이 표현된다.
식 (7)에서 감쇠비는 단자유도화 된 구조물의 수평변위진폭, 동조액체기둥감쇠기와 구조물의 진동수비, 동조액체기둥감쇠기의 길이비 및 내부 액체의 수직변위진폭에 관련된다.
2.2 전기장 내 가변전압측정을 통한 수위측정시스템
본 절에서는 동조액체기둥감쇠기에 형성된 일정한 전기장 내에서 동조액체기둥감쇠기의 수직운동에 의해 측정된 가변전압을 동조액체기둥감쇠기의 수위로 변환하기 위한 식을 유도한다.
전류(I)는 옴의 법칙에 의하여 두 지점의 전위차인 전압(V)에 비례하고, 전자의 흐름을 방해하는 저항(R)에 반비례한다. 여기서, 저항(R)은 저항의 고유성질에 의하여 도체의 길이(l)가 길수록 저항이 증가하며, 도체의 단면적(S)이 작을수록 저항이 증가한다. 또한 저항(R)은 전자의 이동에 대한 도체의 특성인 비저항(ρe)이 존재한다. 비저항(ρe)은 전자가 도체를 이동할 때, 주변과의 충돌로 인하여 이동속도가 일정하게 유지되며, 이 속도의 평균값이 각 물질에 대한 비저항(ρe)이 된다. 이러한 관계들을 식으로 나타내면 다음과 같이 표현된다.
식 (8)에서 전류가 일정하고, 전압측정간 거리가 일정하며, 농도가 같은 도전성 액체를 사용하여 비저항을 일정하게 유지한 후, 전압을 측정한다고 가정하면 전압의 변화는 단면적에만 관련되어 있다. 여기서, 단면적은 전기장의 폭(b)과 동조액체기둥감쇠기 내부 수위의 높이(H)의 곱으로 표현될 수 있다. 이를 식 (8)에 대입하면 다음과 같이 표현된다.
본 연구에서는 직류전원공급기(TOYOTECH, TDP-303 A)를 이용하여 동조액체기둥감쇠기 수위 변화에도 전류(I)는 항상 0.1mA로 유지하여 일정한 전기장을 형성하였다(Fig. 2(a)). 따라서 도전성 액체에 흐르는 전류와 등가의 전기장의 폭(b)이 일정하다. 또한 15cm의 간격(l)으로 구리테이프를 부착하였으며, 일정한 농도의 도전성 액체를 이용하여 비저항(ρe)도 일정하게 유지하였다(Fig. 2(b)).
전압의 변화는 오직 동조액체기둥감쇠기의 수위변화에만 연관이 있으며, 수위변화 ΔH를 제외된 일정한 값을 갖는 나머지 모든 변수를 로 치환하면, 식 (10)과 같이 정리된다.
식 (10)에서 가변전압과 수위의 변화가 반비례하는 것을 확인할 수 있다. 수위를 측정하기 위한 센서로 사용되기 위해서는 선형성을 만족하여야 한다. 따라서 식 (10)을 선형적인 비례관계로 유도하기 위하여 양변의 자연로그를 취한 후 동조액체기둥감쇠기의 수위 변화로 식을 정리하면 다음과 같이 표현된다.
식 (11)에서 로그형 계측수위 InΔH와 로그형 전압 InΔV는 선형관계에 있다. 마지막으로 가변전압측정을 통해 수위의 변화로 변환하는 최종식은 다음과 같이 표현된다.
본 연구에서는 동조액체기둥감쇠기의 한 쪽 기둥의 전압을 측정, 식 (12)에 대입하여 동조액체기둥감쇠기의 수직운동을 계측한다. 또한 이를 이용하여 2.1절에서 유도한 동조액체기둥감쇠기의 동적 특성인 고유진동수와 감쇠비를 파악하고, 이를 전기 용량식 파고계와 비교하여 연구에서 제안한 수위측정 시스템의 타당성을 검증한다.
3. 실험 검증
본 장에서는 연구에서 개발된 가변전압측정 시스템의 실험적 검증을 수행하고, 이를 전기 용량식 파고계와 비교 및 분석하여 개발된 가변전압측정 시스템의 성능과 타당성을 검증한다. 이를 위해서 동조액체기둥감쇠기는 투명아크릴로 제작하였으며 수평길이(Lh)는 50cm, 수직길이(Lv)는 30cm, 단면적(A)는 15×15cm2이다. 실험 방법으로는 Fig. 3과 같이 동조액체기둥감쇠기의 한 쪽 기둥에 15cm 간격으로 전도성 구리테이프(폭: 1cm, 전기저항: 0.04Ω/cm2)를 부착하고, 직류전원공급기(TOYOTECH, TDP-303A)를 이용하여 전류를 0.1A로 유지시킨다. 각 전도성 구리테이프에는 극세선 난연성 전선(AWG20 Wire-UL1007)과 연결되며, 각 전선은 NI BNC Cable의 (+)극과 (-)극에 접속, NI LabVIEW를 이용하여 전압을 확인한다. 마지막으로 본 연구에서 제안한 시스템의 타당성을 검증하기 위하여 전기 용량식 파고계(CHT6-30)를 설치하였다. 본 연구의 실험에서 데이터 수집과 진동대 제어는 실시간 디지털 신호처리기(DSP)를 통해 수행되었고, 진동대에 입력되는 신호는 디지털-아날로그(D/A)변환에 의해 명령신호가 출력되며 모든 계측 및 가진은 NI LabVIEW로 수행되었다.
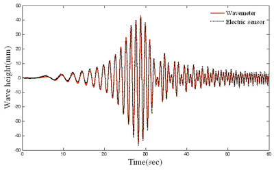
본 연구에서 제안한 가변전압측정 시스템의 성능 및 타당성을 검증하기 위해서는 기존에 상용되는 전기 용량식 파고계를 이용하여 분석한 동조액체기둥감쇠기의 실험결과와 개발된 수위 측정 시스템의 실험결과를 서로 비교 및 분석하는 것이 필요하다. 이를 위하여 전기 용량식 파고계를 이용한 동조액체기둥감쇠기의 수직운동 계측과 전기장 내 가변전압측정을 이용한 동조액체기둥감쇠기의 수직운동 계측을 서로 비교하였다. 본 실험에 사용된 동조액체기둥감쇠기의 이론적인 고유진동수는 0.85Hz이다. 실험적으로는 가진진동수와 동조액체기둥감쇠기의 고유진동수가 일치하는 공진영역에서 동조액체기둥감쇠기 내부 액체의 수직운동이 가장 활발함을 이용하여 동조액체기둥감쇠기의 고유진동수를 파악한다. 따라서 1분 동안 0~2Hz로 시간이 지남에 따라 진동수가 증가하는 Chirp 신호로 진동대를 가진하여 동조액체기둥감쇠기의 고유진동수를 실험적으로 파악하였다. Fig. 4는 동조액체기둥감쇠기의 수직운동을 계측한 것으로 빨간색 선은 전기 용량식 파고계를 이용하여 계측한 데이터이며, 검은색 점선은 연구에서 제안한 방법으로 계측한 데이터이다. Fig. 4(a)는 시간영역에서의 수위변화이며, 두 데이터 간의 RMS 오차는 0.978mm로 본 연구에서 제안한 방법의 수위계측이 높은 정밀성을 가짐을 입증한다. Fig. 4(b)는 Fig. 4(a)의 주파수 영역 그래프로 동조액체기둥감쇠기의 실험적인 고유진동수가 0.85Hz인 것을 나타내며, 이를 통해 본 동조액체기둥감쇠기의 이론값과 일치함을 확인할 수 있다.
본 실험에서 동조액체기둥감쇠기의 적용된 관성력은 진동대의 가진된 가속도에 비례한다. 따라서 동조액체기둥감쇠기의 제어력과 관련된 관성력을 일정하게 유지하여 동조액체기둥감쇠기의 감쇠비를 파악할 필요가 있다. 또한 식 (1)에서 하중항은 수평가속도에 관련되어 있으므로 일정한 가속도에서의 동조액체기둥감쇠기의 감쇠비 변화를 분석하는 것이 타당하다. 동조액체기둥감쇠기의 조화하중이 작용할 때의 감쇠비는 식 (7)에 표현되어 있으며 본 실험에서는 진동대의 입력신호로 가속도진폭은 일정하고 진동수비가 다른 조화하중 실험을 실시하였다.
진동대에 입력하는 가진 진동수는 본 연구에 사용된 동조액체기둥감쇠기의 고유진동수인 0.85Hz와의 진동수비가 0.4~ 1.5가 되도록 조정하였으며, 진동수비의 간격을 0.05로 증가시키며 총 21번의 실험을 실시하였다. 또한 전기 용량식 파고계의 감쇠비 추정값과 비교하여 본 연구에서 제안한 수위측정 시스템의 성능을 확인하였다. Fig. 5는 진동수비에 따른 감쇠비의 크기를 백분율로 나타낸 것이고, 전기 용량식 파고계를 이용한 감쇠비 결과와 연구에서 제안한 수위측정 시스템을 사용하여 얻은 감쇠비 결과가 일치함을 확인할 수 있다. 또한 Fig. 5에서와 같이 동조액체기둥감쇠기의 감쇠비는 진동수비에 따라서 크게 변화하였다. 이러한 결과는 동조액체기둥감쇠기의 본래의 감쇠항인 비선형감쇠항이 조화하중에서 등가점성감쇠항(Wu et al., 2005)으로 치환되어 구한 주파수 중추의 감쇠비 식과 실험적인 결과가 일치함을 확인하였다.
4. 결 론
본 연구에서는 동조액체기둥감쇠기의 비선형감쇠항을 등가점성감쇠항으로 치환한 등가선형 동조액체기둥감쇠기의 모델을 유도하였으며 동조액체기둥감쇠기의 동적거동인 고유진동수와, 감쇠비를 이론적으로 파악하였다. 동조액체기둥감쇠기에 일정한 전기장을 형성한 후, 동조액체기둥감쇠기의 수직운동에 의해 발생되는 가변전압을 측정하여 수조 내부의 수위로 변환하는 식을 유도하였다. 또한 본 연구에서 제안한 동조액체기둥감쇠기의 수위측정 시스템의 타당성을 검증하기 위하여 고가의 전기 용량식 파고계와 비교하였으며, 연구에서 제안한 수위측정 시스템의 정밀성을 입증하였다. 연구에서 제안한 수위측정 시스템은 경제적이며, 구리테이프를 이용하기 때문에 부착 및 설치가 용이하다. 마지막으로 본 연구에서 제안한 수위측정 시스템을 동조액체기둥감쇠기에 적용, 진동대 실험을 실시하여 동조액체기둥감쇠기의 설계파라미터인 고유진동수와 감쇠비를 파악하였으며 이론상의 고유진동수와 실험상의 고유진동수가 일치하였음을 확인하였다. 또한 조화하중에서 동조액체기둥감쇠기의 고유진동수에 대한 가진진동수비 변화에 따른 감쇠비의 변화를 확인하였으며, 동조액체기둥감쇠기의 본래 감쇠항인 비선형감쇠항이 조화하중에서 등가점성감쇠항으로 치환하여 유도한 주파수 중추의 감쇠비 식과 실험적인 결과가 일치함을 확인하였다.









