1. Introduction
2. Architected Material
2.1 Woven Material
2.2 Model Improvement
2.3 Parameterization of FE Model
3. Numerical Analysis
3.1 Mechanical & Thermal Properties
3.2 Fluidic Property
4. Analysis Results
4.1 Comparison with experimental data
4.2 Validation of numerical simulations
5. Conclusion
1. Introduction
메탈 폼(metal foam)은 재료 내부에 수많은 기포를 가진 다공성(porous) 금속으로 고효율, 고강도, 소형 경량화가 요구되는 항공기, 자동차, 우주산업의 구조재, 충격 흡수기, 대형 플랜트용 소음기, 화학 공장의 촉매, 연료 전지, 필터 분야 등 다양한 분야에서 사용되고 있다. 그 중 확률적(stochastic) 구조를 가진 메탈 폼은 넓은 표면적으로 우수한 열 교환 성능을 가지지만 일반적인 금속에 비해 낮은 강성으로 인한 강도한계를 보여준다. 반면에 격자 구조(lattice structure)는 여전히 높은 열 교환 성능을 가지면서도 비교적 높은 강성을 제공한다(Zhao et al., 2016; 2017). 이러한 측면에서 지금까지 여러 선행 연구가 진행되어 왔다. Wadly 등(2003)은 주기적인 구조를 가지고 있는 금속 트러스 재료의 설계 및 강성에 대한 실험, 수치해석을 수행하였으며, Wirtz 등(2003)은 3차원으로 직조(weaving)된 격자 구조의 재료가 사용된 열 교환기에서의 열전달 및 유체역학적 특성을 실험적으로 분석하였다. 한편 재료의 특성 분석을 위해 실험뿐만 아니라 전산 수치해석(numerical analysis)을 통한 연구도 활발히 수행되고 있다. Jung과 Kim(2016)은 유한요소해석을 통해 복합재의 물성치를 계산하였고 이를 실험값과 비교하였다. Suleimanr과 Dukhan(2014)과 Dixit과 Ghosh(2018)은 전산 유체해석을 통해 강제 대류 조건에서 재료의 열전달 성능을 평가하였다. Skibinski 등(2015)과 Carvalho 등(2017)은 수치해석을 통해 재료의 빈 공간의 간격 및 크기에 따른 압력차를 계산하고 침투율 특성을 분석하였다. 컴퓨터 성능의 향상과 더불어 전산 수치해석의 성능이 향상됨으로써 수치해석의 결과를 실험값과 비교하였을 때 높은 정확도를 보여주고 있으며, 이에 따라 수치해석을 통해 재료의 형상 및 치수, 간격 등에 따른 특성의 변화에 대한 연구도 활발히 진행되고 있다.
본 연구에서는 선행 연구 모델(Ha et al., 2019)인 3차원 마이크로 엮임 재료(3-D woven material)를 대상으로 하여 마이크로 와이어 사이의 간격을 변화시켜 가며 전산 수치해석을 수행하였으며, 이에 따른 재료의 물성치 변화 등을 수치적으로 분석하였다.
2. Architected Material
2.1 Woven Material
본 연구의 모델인 3차원 엮임 구조물은 주기적인 구조의 마이크로 재료 제작에 사용되는 3-D 직조 기술을 통하여 제작되었다. 3차원 엮임 구조물은 기본적으로 열린 셀(open-cell) 구조로서 Fig. 1과 같이 X-축 방향의 와이어(warp wires)와 Y-축 방향의 와이어(fill wires)가 서로 직교하며, Z-축 방향의 와이어가 이들을 엮는 구조로 이루어져 있다. 또한 선행 연구에서 기저 구조(ground structure) 기반의 위상 최적설계를 활용하여 X-축 방향의 유체 투과율(permeability)을 최대로 하는 최적 설계를 수행하였으며 Fig. 2와 같은 설계 모델이 도출되었다(Ha et al., 2019).
최적화된 엮임 구조물은 202μm의 직경을 가지는 구리(copper) 와이어로 제작되었으며, 재료의 강성을 높이기 위해서 각 와이어 사이에 SnAgCu 합금으로 납땜(solder) 처리가 되어 있다. 사용된 재료의 기본적인 물성치는 다음의 Table 1과 같다. 선행 연구에서 재료의 성능을 평가하기 위해 실험 및 수치해석이 수행되었는데, 수치해석에 사용한 모델은 Fig. 2와 같은 유한요소 모델이다. 기존의 모델은 최적설계 과정에서 지나친 계산 시간의 소요를 막기 위해서 한 변이 16.8μm의 크기를 가지는 8-절점 정육면체 요소가 사용되었는데, 이로 인해 각 축방향 와이어 사이의 간격도 Table 2와 같이 요소 크기의 배수로 근사화 될 수밖에 없었다.
Table 1.
Material properties
| Material | Density () | Young's modulus (GPa) | Poisson's ratio | Thermal conductivity (W/m·k) |
| Copper | 8,900 | 106 | 0.33 | 387.6 |
| SnAgCu | 7,400 | 50 | 0.36 | 60 |
Table 2.
Wire spacing of woven material
2.2 Model Improvement
선행 연구에서 수행된 수치해석은 실험 결과 대비 비교적 작은 오차를 보였지만, 실제 와이어 모델의 곡률 정보 및 와이어 사이의 간격 등을 정확하게 모델링하는 것이 불가능하다는 한계점이 있다. 따라서 본 연구에서는 이전 연구에서 수행한 3차원 엮임 구조물에 대한 수치해석 성능을 보다 높이기 위해 유한요소 모델의 형상 및 요소망 구성을 개선하였다. 기존의 정육면체 요소 대신에 다음의 Fig. 3과 같이 58만 여개의 사면체 요소를 사용하여 실제 엮임 구조물의 곡률 정보를 정확히 구현하였으며, 또한 와이어 사이의 간격도 실제 실험 과정에서 측정된 값을 반영할 수 있었다. 와이어 사이의 간격의 크기는 와이어 직경 및 전체적인 재료의 크기에 비해 매우 작지만, 이 간격의 변화에 따라 재료의 부피비 및 물성치 해석 결과값이 비교적 상당히 바뀌게 된다. 따라서 본 연구에서는 개선된 유한요소 모델을 바탕으로 Ansys Mechanical 및 Fluent 를 사용해 수치 해석을 수행하였으며, 와이어 사이의 간격을 매개변수화 하여 간격 크기의 변화에 따른 엮임 구조물의 재료 물성치 변화를 비교 및 분석하였다.
2.3 Parameterization of FE Model
본 연구에서는 새롭게 3차원 엮임 구조물을 모델링하는데 있어서 X, Y, Z 각 축 방향의 와이어 사이 간격으로 총 여섯 개(, , , , , )의 변수를 설정하였다. 6개의 변수를 축 방향별로 분류하면 는 fill-fill 및 fill-Z 간격의 크기, 는 warp-warp 및 warp-Z 간격의 크기, 그리고 는 fill-Z loop 및 warp-fill 간격의 크기로, 이들을 통하여 전체 모델의 크기 및 와이어 간격 등이 정의된다. 또한 와이어들을 서로 결합시키는 역할을 하는 땜납의 위치도 마찬가지로 위의 여섯 개의 변수를 사용해 정의하였다. 이처럼 엮임 구조물의 전체 기하학적 형상이 위의 변수에 대해 모두 정의되어 있다. 따라서 Fig. 3의 단위 구조 형상의 크기는 각 축 방향 와이어의 전체 길이에 따라 식 (1a), (1b), (1c)와 같이 표현할 수 있다.
| $$L_{warp}=24\times R_{wire}+k_x\times(4\triangle x_{f-f}+8\triangle x_{f-Z})$$ | (1a) |
| $$L_{fill}=24\times R_{wire}+k_y\times(4\triangle y_{w-w}+8\triangle y_{w-Z})$$ | (1b) |
| $$L_Z=24\times R_{wire}+k_z\times(10\triangle z_{w-f}+8\triangle z_{f-Z\;loop})$$ | (1c) |
여기서 , , 은 각각 warp, fill, Z 와이어의 길이, 는 와이어의 반경인 101μm 이고, , , 는 각 축 방향별 와이어 사이 간격의 크기를 변화시키기 위한 계수로서, 축 방향별 존재하는 두 개의 변수에 동일하게 곱해진다. 또한, , , 의 값이 1일 경우, Table 2의 값으로 , , 이 정의된다. 이 매개변수 , , 값의 변화를 통해 기존 선행 연구의 엮임 구조물 모델을 기준으로 각 길이 변수를 0.5배에서 3.0배까지 변화시켜 가며 총 50가지 조합의 모델을 생성하였으며, 이들 각각의 모델에 대해서 다양한 수치 해석을 수행하였다.
3. Numerical Analysis
3.1 Mechanical & Thermal Properties
엮임 구조물은 일정한 패턴을 가지는 주기적인 구조로서 확률적 구조의 메탈 폼과 달리 하나의 단위 구조(unit cell)의 특성이 전체 재료의 특성을 결정한다. 따라서 계산 시간 및 비용을 줄이기 위해 하나의 단위 구조에 대한 균질화법(Homogenization) 기반의 전산 수치해석을 수행하였다.
재료의 구조 특성에 대한 전산 수치해석은 모델을 완전 이방성(anisotropic)으로 가정하고 6개의 하중 조건에 대한 유한요소해석을 통해 식 (2)와 같이 강성 행렬(stiffness matrix)을 계산하고, 이의 역행렬을 통해 컴플라이언스 행렬을 계산한 후, 각 성분과 재료 물성치와의 관계식을 통해 최종적으로 재료 물성치를 계산한다.
재료의 열전도 특성에 대한 전산 수치해석도 구조 특성에 대한 수치 해석 과정과 유사하다. 모델을 직교 이방성으로 가정한 후, 3가지 열 하중에 대한 각 축별 온도 구배를 이용하여 식 (3)과 같이 전도도 행렬(conductivity matrix)을 계산한다. 여기서 행렬의 대각 성분이 재료의 열전도 특성인 각 축 방향 열전도도(Thermal Conductivity)가 된다.
| $$Conductivity\;matrix=\begin{bmatrix}K_{xx}&&\\&K_{yy}&\\&&K_{zz}\end{bmatrix}$$ | (3) |
3.2 Fluidic Property
유체투과율(Permeability)은 일반적으로 달시의 법칙(Darcy’s law)을 따르는 층류(Laminar) 구간에서 아래의 식 (4)와 같이 압력 구배와 속도의 선형 관계를 이용하여 수치적인 계산을 수행한다(Zhao et al., 2014).
| $$\nabla p=\frac{\triangle p}L=\frac\mu Ku$$ | (4) |
여기서 는 압력차이, 은 모델의 X축 방향 길이, 는 사용 유체의 점성 계수, 그리고 는 유체 속도이다. 층류 영역에서 압력 구배와 속도는 선형 관계이며, 실험 또는 해석을 통해 기울기 값을 구한 후, 그의 역수로서 유체투과율 의 값을 구할 수 있다.
엮임 구조물 내부를 투과하는 유체 유동을 해석하기 위해서 Ansys Fluent가 사용되었다(Ansys, 2019). Fig. 4와 같이 주어진 단위 구조에 X축 방향으로 유체가 통과하는 해석 영역(domain)을 생성하였는데, 후류의 영향 및 수치 오차를 줄이기 위해 X축 방향으로 모델 길이의 1.5배만큼 도메인을 추가하여 모델링하였다. 모델의 격자수는 격자 의존성을 고려하여 약 700만개를 사용하였으며, Second upwind scheme을 사용하였다. 구조 모델의 모든 표면은 비점착(no-slip) 조건으로 설정하였으며, 입구면(inlet) 에서는 속도, 출구면(outlet) 에서는 0Pa의 압력 경계조건을 주어 계산을 수행하였다. 또한, 층류 구간에서의 Stoke’s flow를 통한 선형적인 유체투과율을 계산하기 위해 유체는 0.1122kg/m·s의 높은 점성을 가진 폴리에틸렌글리콜(polyethylene glycol)을 사용하여, 설정한 속도 영역에서 레이놀드 수가 1을 넘지 않도록 하였다. 본 연구에서는 일정한 속도로 유체가 흐르는 정상 흐름(steady flow)을 가정하였으며, 속도별 압력 구배의 기울기를 구하기 위하여 속도를 0.01m/s~ 0.15m/s 범위 내에서 0.01m/s씩 증가시켜 가면서 총 15 개의 속도에 대한 수치 해석을 수행하였다. 그 결과 속도와 압력강하 사이에 위의 Fig. 5와 같은 선형 그래프가 얻어졌다.
4. Analysis Results
4.1 Comparison with experimental data
새롭게 제시된 모델링 및 해석의 정확도를 검증하기 위해서 최적화된 엮임 구조물을 대상으로 다음의 Table 3과 같이 참고문헌에서의 해석 결과 값과 비교하였다. 우선 균질화법을 통해 얻어진 전단 계수(Shear modulus)는 2.28GPa로 실험 결과와 잘 일치하는데(Zhang et al., 2015), 이는 전단계수 값이 와이어간 결합의 역할을 하는 땜납의 위치 및 양에 따라 변화가 큰 것을 감안하였을 때, 수치 모델이 실제 모델에서의 땜납의 위치와 양을 잘 반영하였다고 할 수 있다. 한편 유체투과율은 실험 결과와 약 7.4%의 오차를 나타내고 있는데(Zhao et al., 2014), 수치 모델의 경우 실제 모델과는 달리 제작 오차 및 결함이 없기 때문에 유체투과율이 크게 나타나는 경향이 있다. 하지만 전체적인 유체의 흐름을 살펴보았을 때, Fig. 6과 같이 참고문헌 모델과 개선된 모델 주변을 흐르는 유체의 속도장이 매우 유사한 것을 확인할 수 있다.
Table 3.
Results of experimental and numerical analyses
| Experiment | Improved FE model | Error | |
| Shear modulus (GPa) | 2.3±0.6 | 2.28 | 0.87% |
| X-directional Permeability () | 27.5 | 29.7 | 7.4% |
4.2 Validation of numerical simulations
매개변수화된 모델의 수치해석 결과를 검증하는 과정에서 Hashin-Shtrikman(H-S) bounds 의 범위를 벗어나지 않는지 확인하였다. H-S bounds란 두 가지 재료로 이루어진 복합 재료(multiphase material)가 가질 수 있는 물성치의 최대 및 최소값의 범위를 나타내는데, 그 중에서 체적 탄성계수에 대한 최대값 는 재료의 부피분율 에 따라 아래의 식 (5)와 같이 나타낼 수 있다(Hashin and Shtrikman, 1963).
| $$K_{}^\ast=K_{}+\frac{1-v_{}}{-\frac1{K_{}}+\frac{3v_{}}{3K_{}+4G_{}}}$$ | (5) |
여기서, 와 는 각각 사용 재료의 체적 탄성계수 및 전단계수이다. 3차원 엮임구조물은 기본적으로 금속 재질의 다공성 재료로서 와이어 재질인 구리의 부피분율에 따라 재료 특성이 결정된다. 아래의 Fig. 7에서 실선은 주어진 부피분율에서 복합재가 가질 수 있는 체적 탄성계수의 상한선을 나타내고 있으며, 그 아래 각각의 점들은 다양한 조함의 와이어 간격을 가지는 엮임구조물에 대한 체적 탄성계수 값들을 나타내고 있다. 다만 사용된 엮임구조물은 앞의 Fig. 6과 같이 내부의 유체 유동을 위해 3축 방향의 와이어가 특정 패턴을 가지고 있기 때문에, 체적 탄성계수 값은 이론적 최대치에 비해 약 1/3 정도의 크기를 가지고 있을 확인할 수 있다.
다음으로는 와이어 간격의 변화에 따른 재료 물성치 변화의 경향성을 파악하기 위하여 와 의 변화에 대한 파라메트릭 테스트를 수행하였다. 각각의 테스트에서 또는 를 0.5에서 3.0까지 변화시켰으며, 나머지 두 개의 매개변수는 기존의 참조 모델 크기로 고정하기 위해서 1.0의 값을 사용해 해석을 수행하였다. 위의 Fig. 8은 X축과 Y축 방향 와이어 간격의 변화에 따른 3차원 엮임구조물의 체적 및 전단 탄성계수, X축 방향 열전도도, X축 방향 유체투과율 값에 대한 비교 그래프이다. 예상되는 바와 같이 와이어 간격이 증가할수록 체적 및 전단 탄성계수, 열전도도는 감소하며, 반대로 유체투과율은 증가하는 것을 볼 수 있다. 이는 단위 구조 내부의 빈 공간이 상대적으로 증가하면서 재료 영역이 감소하여 그에 따른 재료 강성 및 열전도 특성이 감소하는 것으로 해석할 수 있다. 또한, 내부 공간이 증가함에 따라 유체투과율은 자연스럽게 증가하게 된다. 한편 및 의 변화를 서로 비교해 보았을 때, 를 변화시켰을 때 그 기울기의 크기가 더 크게 나타나는 것을 살펴볼 수 있다. 이는 위에서 살펴본 여러 물성치들이 X축 와이어 사이의 간격에 보다 민감하다는 것을 의미하며, 이와 같은 특성은 향후 와이어 패턴을 최적설계하는데 있어서 유의미하게 사용될 것이다.
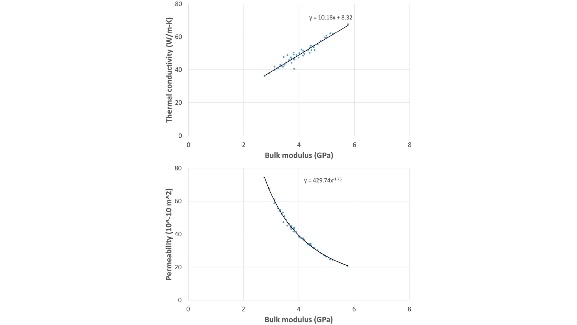
다음으로 Fig. 9에서는 차례로 체적 탄성계수와 열전도도, 그리고 체적 탄성계수와 유체투과율 사이의 상호 상관관계(Cross-property)를 나타내고 있다. 위의 결과에서 유추할 수 있듯이, 체적 탄성계수와 열전도도 사이에는 양의 상관관계를, 그리고 체적 탄성계수와 유체투과율 사이에는 음의 상관관계를 가지고 있다. 이 역시 마찬가지로 추후 최적설계에 관한 연구가 진행될 때, 다목적함수를 가지는 와이어 패턴 설계에 유용한 데이터로 사용될 것이다.
끝으로 Fig. 10에서는 애슈비 차트(Ashby chart) 중에서 밀도와 영률 사이의 관계를 나타내고 있다(Ashby, 2011). 애슈비 차트에서는 다양한 재료들을 대상으로 두 가지 물성치들의 상관관계가 나타나 있는데, 예를 들어 가벼우면서 강성이 낮은 폼 재료는 좌측 하단에 위치하고 있으며, 무거우면서 강성이 큰 금속이나 세라믹 재료는 우측 상단에 위치하고 있다. 그밖에도 여러 타입의 재료들이 특정 영역을 차지하고 있는데, 반면에 빈 공백 영역(White space)은 주어진 두 가지 물성치 조합을 가지는 재료가 존재하지 않는다는 것을 의미한다.
본 연구의 대상이 된 3차원 마이크로 엮임 재료는 금속 소재의 구리 와이어로 구성되어 있지만 와이어 간격에 따라 공극률을 가지는 다공성 재료이기 때문에, Fig. 10에 표시된 바와 같이 일반적인 금속 재료 영역을 벗어나서 위치하고 있음을 알 수 있다. 벌크 형태의 금속 재료에 비해서 밀도와 영률의 크기는 상대적으로 작지만, 와이어 패턴이나 간격의 조절에 따라서 내부로의 유체투과율을 크게 높일 수 있다는 점에서 기존의 금속 소재 재료와는 차별성을 가지며, 이러한 특성을 바탕으로 열교환기에서의 활용 가능성에 대한 관심이 지속될 것으로 기대한다.
5. Conclusion
본 연구에서는 3차원 마이크로 엮임 재료의 기하학적 형상을 보다 정확히 반영할 수 있는 유한요소 기반의 새로운 파라메트릭 수치 모델을 제작하였다. 와이어 사이 간격의 변화에 따른 재료의 물성치 변화를 정량적으로 파악하기 위해서 각 축 방향 와이어 사이의 간격을 총 6개의 매개변수를 사용해 정의하였으며, 선행 연구에서의 여러 실험 결과들과 비교함으로써 수치 모델의 정확도를 검증하였다.
또한 주어진 매개변수를 다양하게 변화시켜 가면서 탄성계수, 전단계수 등과 같은 구조적 특성, 열전도도와 같은 열역학적 특성, 그리고 유체투과율과 같은 유체역학적 특성들을 다양하게 비교하였다. 와이어 간격이 늘어남에 따라 3차원 엮임 재료의 밀도가 상대적으로 감소하게 되면 재료의 강성 및 열전도도는 감소하게 되며, 반대로 유체투과율은 증가하게 됨을 수치적으로 확인하였다.
본 연구의 최종 목표는 3차원 엮임 재료 내부의 와이어 간격 또는 패턴을 최적 설계하는 것이다. 기존의 선행 연구에서는 수치해석 모델이 정육면체 요소로 구성되어 있었기 때문에 와이어 간격이나 패턴을 변화시키는데 많은 제약이 따랐다. 하지만 본 연구에서는 파라메트릭 모델을 제작함으로써 원하는 설계 변수를 가지는 수치해석 모델을 쉽고 빠르게 제작할 수 있으며, 이를 구조, 열, 유체 해석에 다양하게 사용될 수 있도록 하였다. 이번 연구를 바탕으로 향후에는 설계자가 원하는 특성의 조합을 가지는 3차원 마이크로 엮임 재료를 설계함으로써 이 재료의 활용성을 보다 높일 수 있는 연구를 진행할 것이다.












