1. 서 론
근자에 들어 빈번히 발생하는 폭발사고와 테러에 대한 위험 으로부터 구조물의 안정성을 확보하기 위한 필요성이 증가함에 따라 폭발하중을 받는 콘크리트 구조물의 거동을 이해하는 것이 중요한 연구주제가 되었다. 폭발하중을 받는 구조물은 정적 조건에서 관찰되는 것과현저하게 다른거동을 보이며 이차이는 변형률 속도의 증가에 따라 커진다. 따라서 구조물의 거동을 정확히 모사하기 위해서는 변형률의 크기에 따른 재료의 비선 형성을 고려함은 물론 짧은 시간 동안 높은 변형률이 발생하는 고율변형(high strain rate)에대한영향을고려할필요가있다. 이를 위해 다양한 고율변형 콘크리트 모델들이 제안되어 폭발 수치해석에 사용되고 있다. 이러한 수치해석 과정에서 콘크리트 구조물의 비선형 거동의 원인이 되는 미세균열(microcrack)을 묘사하기 위해 면내균열(smeared cracks) 모델을 사용하게 된다. 면내균열모델은 균열로 인해 발생하는 구조물의 강성 저하를 사용하는 요소내의 강성을 감소시킴으로써 그 영향을 반영하기 위한 방법으로써 구조물 전체 비선형 거동을 모사 하는데 널리 사용되고 있으나 사용하는 요소의 크기에 따라 수치해석의 결과가다르게 나타나는단점을 가지고 있다. 이러한 특성은 정적 하중 조건에 국한되지 않고 높은 변형률 변형을 동반하는 고율변형하중 조건에 있어서도 동일하게 발생하고 있다(Georgin et al., 2003). 결과적으로 고율변형을 동반한 콘크리트 구조물의 비선형해석에 있어서도 요소(element)의 크기에 따라 같은 조건의 수치해석에 있어서도 그 결과가 큰 차이를 보이게 되고, 이로 인해 수치해석 결과의 신뢰성을 담보할 수 없게 된다. 그럼에도 불구하고 특별한 파괴기준 없이 연구자들의 경험적인 선택에 의해 요소크기(element size)가 결정되고 있는 실정이다.
이를 해결하기 위해 본 논문에서는 요소의 크기에 따라 콘크 리트의인장응력-변형률관계의변형연화영역(strain softening region)에 따른 파괴에너지를 토대로 요소크기에 따른 수치 해석 결과의 변화를 최소화할 수 있는 기준식을 구성하였다. 제안된 기준식을 LS-DYNA를 이용한 콘크리트 폭발수치해석에 적용하여 제안식이 요소크기에 대한 의존성 감소에 미치는 영향을 파악하였으며 폭발실험결과(Seabold et al., 1970)와의 직접적인 비교를 통해 제안된 기준식이 수치해석결과의 신뢰성 향상에 미치는 영향을 파악하였다.
2. 본 론
이 장에서는 요소의존성으로 인해 발생하는 고율변형수치해석 오차를 최소화하는 인장 기준식을 제안하고 폭발수치해석을 통해 제안된 기준식의 타당성 및 효율성을 검증하고자 한다.
2.1. 재료성질
2.1.1. 콘크리트
고변형률속도에서 콘크리트의 거동을 정량화하기 위해서는 응력-변형률관계의 정의가 선행되어야 한다. 정적인 상태와는 다른 거동을 보이는 고율변형콘크리트의 거동을 묘사하기 위해 다양한 기준식이 제안되었다. 그 가운데 이 논문에서는 단순성과 효율성을 갖춘 Scott의 응력-변형률 관계(Scott et al., 1982)를사용하였다. Fig. 1(a), (b)에서볼수있는것과같이 압축최대강도 이전까지는 포물선으로 가정하였고 인장최대 강도의 경우 선형증가함수를 사용하였다. 변형률연화영역에 대해서는 선형감소함수를 통해 묘사하였다. 압축 및 인장 최대강도는 HJC 모델(Holmquist et al., 1993)과 CEB 규준(CEB, 1993)을 통해 산정하였으며 그 식은 식 (1), (2)와 같다(Gang, 2017). 식 (1), (2)로부터 계산된 dyn과 이 Fig. 1(a), (b)의 fc와 ft를 대체하게 된다.
여기서, A , B , N , C는 100/s~800/s 범위의 변형률속도에 서의 SHPB(split hopkins pressure bar) 실험과 정적 3축 실험에의해결정된재료상수이다(Gang, 2017). 과 은 동적강도(MPa)이고 fc와 ft는 정적강도(MPa)를 나타내며 , , , 과 는 변형률속도를 의미한다. 더 나아가 폭발하중을 받는 콘크리트 구조물의 수치해석에서의 요소 의존성을 최소화하기 위해 파괴에너지 이론에 근거하여 파괴변형률 єcu와 єtu를 결정하였다. 압축파괴변형률 єcu은 기존의 연구(Kwak et al., 2015)의 기준식을 사용하였고 인장파괴변형률 єtu는 본 논문 에서 제안한 기준식을 통해 산정하여 사용하였다.
2.1.2. 강재
폭발해석시 RC 보 구조물의 철근 모델링에 사용되는 강재는 변형경화특성을 갖는 연성재료로 Fig. 2(Limet al., 2013)와 같이 변형률속도가 증가함에 따라 최대강도, 임계변형률, 항복 응력 등의 값들이 증가하는 특성을 보인다. 따라서 본 연구 에서는 강재의 변형률속도에 따른 응력-변형률관계를 묘사하기 위해 Fig. 2의 Lim-Huh 제안식을 통해 강재를 정의하였다 (Lim et al., 2013) 관계식에서 재료상수 q(є)와 m은 다음 의 식 q(є) =0.0746(є +0.00285)-0.662, m (є) =0.184(є + 0.0015)0.0755을 통해 산정되며 fr (є)은 준정적변형률속도의 응력상태를 의미하며 0.003/s에 해당된다.
2.2. 수치해석 오차 최소화를 위한 제안식
콘크리트는 내부의 미세균열 생성과 전파로 파괴되는 취성 재료로써 요소의 크기에 따라 내부 미세균열의 발생분포 형태가 다르게 나타나게 된다. 즉 시편의 크기가 작은 경우 미세균열은 시편 내에서 균일한 분포를 나타내는 반면 시편의 크기가 증가 함에 따라 발생하는 미세균열은 시편의 특정 부분에 집중되는 현상을 나타내게 된다. 따라서 이러한 미세균열의 분포에 따른 특성을 고려하여 요소 크기에 따른 수치해석 결과의 차이를 최소화할 수 있는 기준식을 제안하고자 한다.
먼저 콘크리트에서 정의되는 파괴에너지는 Fig. 3(b)에 정의된 바와 같이 연속체파괴에너지(continuum damage energy)부분과 국부파괴에너지(local fracture energy) 부분으로 구분할 수 있다. 연속체파괴에너지는 시편의 크기에 따라 변하는 변형률 경화 영역을 나타내고, 국부파괴에너지는 미세균열의 발달로 인한 파괴거동에 중요한 영향을 미치지는 변형률연화 영역을 나타낸다. 따라서 시편의 크기에 따른 파괴 거동의차이를파괴변형률의차이로변환하기위해시편의크기와 무관하게 일정한 값을 갖으며 변형률연화영역에 해당하는 국부 파괴에너지(local fracture energy)를 토대로 아래의 잘 알려진 파괴에너지와 균열과의 관계식을 정의할 수 있다(Kwak et al., 1990).(3)
여기서, 파괴에너지 Gf는 단위면적 안에 단위길이의 균열을 발생시키는데 필요한 에너지로 정의된다. 나아가 균열길이와 변형률 사이에는 의 관계식을 도출할 수 있다. 여기서 b는 요소의 폭을 나타내며 한 요소내의 미세균열이 균일하게 분포할 경우 요소의 균열 길이는 w = bєnn로 정의 할 수 있으며 파괴에너지는 Gf = gfb로 정의된다. 그러나 요소의 크기가 커짐에 따라 미세균열은 균일하게 분포하지 않게 되고 유한요소의 크기에 비해 상대적으로 작은 영역에 집중되어 있다는 것을 설명하기 위해 본 논문에서는 요소의 크기에 따른 미세균열의 분포 함수 f(x)를 필요로 하게 된다. 따라서 분포함수 f(x)가 고려된 균열길이-변형률 관계를 토대로 파괴에너지 Gf와 응력-변형률관계의 변형률연화영역 면적에 해당하는 gf사이의 관계는 식 (4)로 표현된다(Kwak et al., 1990).
응력 변형률 곡선 아래의 면적 gf를 Fig. 3(a)의 삼각형의 면적으로 근사화할 때 식 (4)는 식 (5)로 표현할 수 있으며 єt0와 єtu는 각각 인장임계변형률과 파괴변형률을 의미한다.
유한요소 크기에 따른 미세균열 분포함수 f(x)는 Fig. 4와 같이 단위 높이와 너비 b를 갖는 요소내부에서 일반적인 지수 함수 f(x) = αeβx로 가정할 수 있다(Kwak et al., 1990). 경계조건 f(0)=1과 f(b/2) = (b/b0) γ 로 부터 분포함수 f(x) = αeβx는 식 (6)으로 나타내어진다. 여기서 b0는 균일한 미세 균열의 분포를 가정할 수 있는 요소의 최대 폭을 의미하는 기준 값으로써 이 논문에서는 실험을 통해 결정된 b0=3mm (Vonk, 1993)의 값을 사용하였고 γ는 콘크리트의 파괴물성 실험을 통해 산출되는 재료상수이다.
위의 식을 식 (5)에 대입하고 요소의 너비 b에 대해 적분한 뒤 인장파괴변형률 єtu에 관한 식으로 정리하면 아래와 같은 인장파괴기준식이 도출되게 된다.(7)
실험상수 γ를 구하기 위해 콘크리트 시편에 대한 인장파괴 실험데이터(Wittmann et al., 1988; Carpinteri et al., 1994)를 통한 회귀분석을 진행하였다. 인장파괴실험의 시편 형상과 하중-변위 곡선은 Fig. 5와 6에 각각 도시되어 있다. 시편의 크기에 따른 인장 파괴변형률값을 찾기 위해 Fig. 6의 하중-변위 곡선을 응력-변형률 곡선으로 변환한 후 b=5cm의 강도로 정규화시켰으며 그 결과는 Table 1과 같다. Table 1을 기반으로 시편의 크기에 따른 인장 파괴변형률 u의 기준식을 회귀분석을 통해 구성할 수 있으며 표준화된 실험결과는 시편의 크기에 상관없이 동일한 f/ft 값을 갖기 때문에 구성된 기준 식은 콘크리트의 종류에 상관없이 적용 가능한 범용식이다 (Wittmann et al., 1988). Fig. 7은 회귀분석을 통해 구성된 인장파괴기준식 єtu를 보여주며 실험데이터가 b=5cm의 시편에 대해서 정규화되었기 때문에 임계변형률 єt0=0.00018, 인장 파괴강도 ft=4.25MPa, 파괴에너지Gf=0.083N/mm의값이 회귀분석과정에서 사용되었다. 회귀분석결과 실험상수 γ=2로 결정되었으며 최종적인 인장파괴기준식은 식 (8)과 같다.
Table 1
Measured failure strains of specimens
| Specimen width | Tensile strength | Failure strain |
|---|---|---|
| 21(Mm) | 4.15(Mpa) | 0.001398 |
| 0.001398 | 4.25(Mpa) | 0.000415 |
| 100(Mm) | 3.78(Mpa) | 0.00029 |
| 200(Mm) | 3.64(Mpa) | 0.000187 |
만약 요소의 너비가 b=3mm보다 작아지면 요소 내부의 미세균열은 균일하게 분포한다고 가정되며 식 (8)은 로 단순화된다. 제안된 파괴기준식을 폭발수치해석에 적용하기 위해서는 변형률속도에 대한 효과를 추가적으로 고려해야 한다. 이전 연구에서 밝혀졌듯이 변형률속도의 증가는 콘크 리트의 인장강도 ft의 증가뿐만 아니라 파괴에너지Gf의 증가로 이어진다(Bara et al., 2007). 이러한 변형률속도효과를 반영 하기 위해서 고율변형실험으로부터 구해진 Gf/ft값에 대한 동적강도증가계수(Zhang et al., 2009)를 기준식에 포함 하였고 아래의 식과 같다.
식 (9), (10), (11)의 동적강도증가계수를 식 (8)에 곱해 줌으로써 변형률속도를 반영하는 인장 파괴기준식을 아래의 식과 같이 제안하였다.(12)(13)
제안된 기준식을 통해 응력-변형률 관계의 파괴변형률 값을 보정해 줌으로써 요소 크기에 따른 내부 변형률에너지를 보다 정확히 평가할 수 있음은 물론 요소크기에 따른 수치해석 오차를 최소화할 수 있게 된다. 더 나아가 변형률속도의 영향을 고려 함으로써 충격 및 폭발하중과 같은 고율변형을 받는 수치해석에 적용되어 수치해석의 정확성을 향상시킬 수 있을 것이다.
2.3. 수치해석과정
본 연구에서는 기준식의 타당성 및 효율성을 검증하기 위해 폭발하중에 대한 선행연구가 존재하는 고율변형 Orthotropic 모델(Gang, 2017)에 제안된 기준식을 적용시킨 후 LSDYNA를 이용한 폭발수치해석을 진행하였다. WE5 보에 대한 폭발실험결과(Seabold et al., 1970)와 Holmquist Johnson Cook(HJC)(Holmquist et al., 1993), Continuous Surface Cap(CSC)(Murray, 2007), Orthotrpic모델의 수치해석결 과를 비교하였으며 순간적인 변형에 따른 구조물의 동적거동을 해석하기 위해 외연적시간적분(explicit time integration) 기법과 폭발로 인한 접촉조건을 묘사하기 위해 면대면접촉 알고리즘(surface to surface contact algorithm)(Hallquist, 2007)을 적용하였다. 수치해석상의 요소는 변형률로 인한 파 괴조건을 적용하였으며 파괴변형률에 도달했을 때 요소가 완전히 파괴되도록 하기 위해서 8절점 고체요소(constant stress solid element)(Hallquist, 2007)를 사용하였다. 폭발하중의 경우 충격관으로 인해 충격파가 보에 균일하게 전파되기 때문에 등분포하중으로 환산하여 적용하였다. 폭발수치해석의 형상 및 하중이력은 Fig. 8, 9와 같고 RC 보의 주요물성은 Table 2와 같이 설정되었다.
2.4. 폭발수치해석을 통한 제안된 기준식의 검증
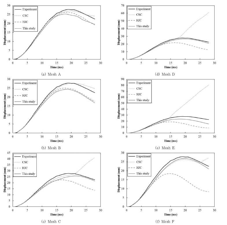
Seabold의 폭발실험(Seabold et al., 1970)과 폭발수치 해석결과의 시간에 따른 중앙보의 처짐값을 비교함으로써 기준식의 신뢰성을 검증하였다. 기존의 콘크리트 파괴모델인 HJC, CSC모델의 경우 일반적인 파괴변형률을 적용하였고 Orthotropic모델에 대해서는 본 연구에서 제안한 인장파괴 기준식을 통해 산정된 파괴변형률을 적용하여 수치해석을 진행하였다. 더나아가기준식이요소의존성감소에미치는영향을 파악하기 위해 6가지 다른 크기의 요소, Mesh A(10mm), Mesh B(20mm), Mesh C(30mm), Mesh D(40mm), Mesh E(50mm), Mesh F(60mm)에 대해 동일한 폭발수치 해석을 진행하여 결과를 비교하였다. 그 결과는 Fig. 10(a)~ (f)와 같고 HJC모델과 CSC모델의 경우 파괴기준식이 적용되 지 않았으며 회색실선으로 나타낸 결과는 본 연구에서 제안된 파괴기준식이 적용된 Orthotropic 모델의 수치해석 결과이다.
결과에서 볼 수 있듯이 상대적으로 작은 요소크기에서는 파괴기준식을 적용하지 않은 CSC모델이 좋은 결과를 보여주 지만 요소크기가 증가함에 따라 그 정확성이 감소하는 것을 알 수 있다. 전체적으로 파괴기준식이 적용된 수치해석 결과가 요소크기에 상관없이 실험결과와 잘 일치한다는 것을 파악할 수 있었다.
3. 결 론
본 논문에서는 콘크리트의 인장 측 변형연화영역 파괴에너 지를 토대로 요소크기에 따른 수치해석 결과의 변화를 최소화 할 수 있는 기준식을 구성하였다. 제안된 기준식의 효율성 및 수치해석의 신뢰성 향상에 미치는 영향을 파악하기 위해 폭발 수치해석을 진행하였고 그 결과 제안한 기준식을 통해 파괴변 형률을 보정해준 수치해석결과가 전체적으로 실험결과와 잘 일치하는 것은 물론 요소크기에 따른 민감성 또한 크게 감소 한다는 것을 파악할 수 있었다. 따라서 제안된 기준식을 적용 하여 폭발하중에 대한 수치해석을 수행할 경우 해석결과의 개선을 위해 효과적으로 사용될 수 있을 것으로 판단된다.












