1. 서 론
도시화와 산업화가 급속히 진행된 우리나라와 같은 사회에서의 지진발생은 그 피해가 광범위하고 장기간에 걸쳐 직·간접적으로 국가경제에 심각한 영향을 줄 수 있다. 강진이 자주 발생하는 미국, 일본 등 여러 나라에서는 현재까지 많은 연구자들이 수행한 연구 결과들을 바탕으로 각 국의 현황에 적합한 구조물별로 지진취약도 함수를 개발하여 활용하고 있으며 우리나라도 강진이 발생할 경우 신속히 그 피해를 추정하기 위한 기술의 확보와 이를 유지하기 위한 대책을 마련이 필요한 실정이다. 하지만 국내의 경우 지진취약도 함수를 개발하기 위한 기초 자료들이 부족한 실정이고, 자료가 축적되고 적용되기 가지 상당한 시일과 인력이 필요하다.
기존의 응답이력해석(response history analysis, 기존의 시간이력해석)을 이용한 지진취약도 해석은 실제적인 지진응답을 비교적 정확하게 평가하는 장점이 있지만, 복잡한 구조물에 대한 비선형 동적해석 시 소요되는 시간이 긴 것이 단점으로 알려져 있다.
역량스펙트럼 방법(capacity spectrum method)은 비탄성 정적해석(pushover analysis)에 의하여 구조물의 비탄성 변형능력을 나타내는 역량곡선(capacity curve)과 설계지진하중에 대응하는 응답스펙트럼인 요구도 곡선을 하나의 그래프로 나타내어, 설계지진하중에 대해 구조물에 부과되는 최대응답을 역량곡선과 요구도 곡선의 교차점인 성능점으로부터 구하는 방법으로 성능-기반 방법에서 가장 많이 이용하는 방법이다(Song, 2004; Song et al., 2009). 역량스펙트럼 방법은 구조물의 비선형 응답특성을 하나의 역량곡선으로 표현하고 지진하중의 효과도 하나의 요구도 곡선으로 표현하기 때문에 많은 수의 지진해석을 요구하는 지진취약도 해석을 수행하기 위해서는 간단하면서 적합한 방법이라고 할 수 있다. 그러나 역량스펙트럼 방법은 응답이력해석과 비교할 때 정확성이 떨어진다는 것이 많은 단점이다(Song, 2004). 본 연구에서는 요구도곡선에 비탄성응답스펙트럼을 적용하는 개념을 사용하여 정확성이 향상된 역량스펙트럼 방법을 지진취약도해석에 적용하고 역량스펙트럼 방법에 의한 지진취약도해석의 정확성을 분석하고자 한다.
본 연구는 송·배전 설비 중 대표설비인 피뢰기를 대상으로 기존 응답이력해석에 의한 지진취약도 해석과 역량스펙트럼 방법을 이용한 지진취약도 해석을 수행하였으며 두 방법에 따른 지진취약도 곡선을 비교하고 연구하였다.
2. 역량스펙트럼 방법을 적용한 피뢰기 구조물의 지진응답 산정
2.1 등가단자유도 방법을 이용한 개선된 역량스펙트럼 방법
역량스펙트럼 방법은 구조물에 대한 비선형 정적해석을 통하여 구조부재들에 대한 역량곡선을 구한 후 이를 등가단자유도 방법(Song et al., 2006)에 의해 구조시스템을 대표하는 하나의 역량곡선으로 치환하여 지진하중의 크기를 나타내는 요구도 곡선과의 적절한 교차점 혹은 성능점을 평가하는 방법이며 이 성능점에 대응되는 응답이 구조물의 비탄성 거동시의 최대응답을 나타낸다. 비탄성 정적해석에 의해 계산된 다자유도응답의 힘-변위관계는 하나의 대표응답인 역량곡선으로 전환하는 과정이 필요하며 이러한 과정을 등가단자유도계 유도과정에 의해 가능하며 등가단자유도계의 힘은 식 (1)에 의해 변위응답은 식 (2)에 의해 구할 수 있다.
(1)
여기서, r(u)는 등가 저항력, X는 지반에 대한 상대변위벡터, M은 질량행렬, R(X)는 저항력 벡터,
는 구조물의 변형형상을 나타내는 형상벡터이고 이것은 상수 벡터이다.
역량곡선의 변위응답은 다음과 같이 구할 수 있다.
(2)
여기서, u는 등가단자유도 변위, 1은 구조물이 자유도에 대하여 입력지반가속도에 연관된 단위벡터이다.
2.2 피뢰기의 수치해석 모델링
예제 교량의 모델링은 OpenSEES 프로그램(PEERC, 2007)을 사용하였으며, 강재골조의 강종은 SS400이며 주 부재는 L 75×75×6 앵글, 가새 부재는 L 50×50×4 앵글이다. 피뢰기의 지지는 직경 10mm의 4개의 육각머리 볼트로 지지되며 후 설치앵커로 설치되었다. 부싱(bushing)은 외경 21cm, 내경 5.3cm, 높이 70cm로 3단으로 강재골조 구조물 상부에 수직 연결되어 있다. 피뢰기의 형상은 Fig. 1에 나타낸바와 같이 총 높이 4.4m로 2.3m의 강재 골조와 2.1m의 부싱 부분으로 구성되어 있다.
2.3 피뢰기에 대한 역량스펙트럼 방법의 적용
비탄성 정적해석은 구조물의 상부에 구조물의 극한상태에 도달할 때까지 점진적으로 하중을 증가시키면서 구조물이 하중에 저항하는 역량을 평가하는 해석으로 기존의 선형 탄성해석이 항복 이후의 특성이나 항복이 진행되는 동안의 붕괴 메커니즘에 대한 예측을 고려할 수가 없었다는 단점이 있었다면 비탄성 정적해석은 항복 이후의 특성까지 보다 정확한 변형 능력을 산정이 가능하다는 장점이 있다.
피뢰기에 대하여 비선형 정적해석을 수행하여 구조시스템을 대표하는 하나의 힘-변위관계 곡선을 구하여 Fig. 3에 나타내었다. Fig. 2의 힘-변위관계에서 힘을 등가단자유도계의 질량(
)으로 나누어 가속도로 전환하여 가속도-변위(A-D 곡선)의 역량곡선으로 Fig. 3에 나타내었다. Fig. 3에서 피뢰기는 가속도 58.50g에서 항복이 발생하는 것을 확인하였으며 이러한 결과는 자연적으로 발생하는 지진하중에서 피뢰기는 선형적 거동을 하는 것을 의미한다. 이는 피뢰기 구조물이 고진동수를 가지는 구조물로 강성에 비하여 질량이 작기 때문에 강재골조 부분이 자연적인 지진하중에 의해서는 항복이 발생하지 않음을 의미한다.
3. 피뢰기 구조물의 지진에 대한 손상상태 정의
손상상태는 구조물이 지진하중에 대한 손상정도를 나타내는 척도로 지진하중에 대한 구조물의 손상정도를 정량적으로 표현한 것이다. 지진취약도 해석을 위해서는 손상상태의 정의가 필수적이며 실제상황을 적절히 나타내는 손상상태 정의가 지진취약도 해석의 결과인 취약도곡선에 직접적인 영향을 주게 되므로 중요하다. 손상상태의 정의는 많은 연구자들에 의해 연구되고 있으며 변위연성도, 회전연성도, 곡률연성도, 분산된 에너지 등을 사용하는 것이 대표적이다(Barbat et al., 2008, Jin et al., 2010).
3.1 강재 골조의 손상상태 정의
본 연구에서 강재골조의 손상상태의 정의는 Barbat 등(Barbat et al., 2008)이 제안한 손상상태 정의법을 사용하였으며 항복변위(Dy)와 극한변위(Du) 값을 사용하므로 적용이 쉽다는 장점이 있다. 손상상태 정의는 총 5단계로 손상없음(None, Ds1), 미소손상(Slight Damage, Ds2), 보통손상(Moderate Damage, Ds3), 심각손상(Extensive Damage, Ds4), 완전 붕괴(Complete Damage, Ds5)로 총 5단계로 정의되며 Table 1에 나타내었다. 피뢰기의 비선형 정적해석으로 구한 항복변위(Dy=3.71cm)와 극한변위(Du=22.97cm)를 사용하여 각각의 5단계의 손상상태에 해당하는 변위를 Table 1에 손상상태의 정의에 해당하는 값으로 전환하여 나타내었다.
Table 1
Damage states proposed by Alkex H. Barbat
3.2 부싱의 손상상태 정의
일본 원자력학회가 발간한 “원자력 발전소의 지진에 기인한 확률론적 안전성 평가 실시기준”에서는 변압기의 주된 파괴모드를 변압기의 부싱의 절연애자의 손상에 의한 절연유 유출로 규정하고 있으며 경험과 여러 실험결과들을 종합하여 절연애자의 연결부에서의 최대응답 가속도가 0.6g인 경우를 파괴기준으로 제시하고 있다(Kim and Choun, 2008). 이러한 파괴기준은 국내에 적용이 가능한 사항이라고 판단되며 변압기와 동일한 파괴기준을 적용하여 부싱부분의 최대응답가속도가 0.6g가 될 때 부싱의 파괴가 일어난다고 정의하였다.
3.3 앵커의 손상상태 정의
앵커의 손상상태는 피뢰기 하부에 설치된 4개의 앵커 중 2개의 앵커에 작용하는 힘이 계산된 설계 강도를 초과하면 파괴가 된다고 가정하여 단일상태 손상상태로 정의하였다.
Table 2
Deign tensile strength of anchor
| Steel Strength | =0.75×110200N=82650N |
| Concrete Breakout Strength | 0.75 =0.75×0.7×241365.494N=126716.884N |
| Pullout Strength | 0.75 =0.75×0.7×115584N=60681.6N |
Table 3
Deign shear strength of anchor
| Steel Strength | N=0.65×66120=42978N |
| Concrete Breakout Strength | 0.75 =0.75×0.7×2031922.811N=1066759.5N |
| Concrete Pryout Strength | 0.75 =0.75×0.7×482730.988N=253433.768N |
콘크리트 설계기준의 앵커 부분을 참고하여 앵커의 설계 강도를 계산하였다. 앵커는 콘크리트 기초의 가장자리로부터 충분한 거리에 위치하고, 유효묻힘 깊이가 180mm인 직경 10mm 육각머리 언더컷앵커이다. 콘크리트의 설계기준강도는 ƒck=21MPa로 가정하였고, 앵커의 강도를 증가시키기 위한 보조철근은 설치되지 않았다. 사용하중 하에서 콘크리트 균열이 발생하는 것으로 가정하였다. 앵커는 취성파괴를 일으키는 것으로 가정하여 응답수정계수 R을 적용하지 않으므로 초과강도계수 Ω0도 적용하지 않았다. 보수적인 설계를 고려해 피뢰기 강재골조 바닥과 콘크리트 사이의 마찰력은 무시하였다. 이와 같은 조건을 이용하여 구한 앵커의 설계인장강도를 Table 2에 설계 전단강도를 Table 3에 나타내었다. 설계 인장강도는 앵커의 뽐힘 강도가 지배하며, 설계 전단강도는 앵커 강재 강도가 지배함을 알 수 있다.
4. 역량스펙트럼 방법과 응답이력해석을 이용한 피뢰기의 지진취약도의 비교
4.1 입력지진
피뢰기에 대한 지진취약도 해석을 위한 입력지진으로는 USGS 분류법을 따라 30m 깊이의 지반의 전단파 속도의 평균에 따라 분류하여 Site A, B, C, D로 구분한 지진을 15개씩 선정하여 사용하였으며 각 Site의 구분을 위해 사용된 전단파 속도는 Table 4에 나타내었다(PEER Strong Motion Database). 각 지진그룹별로 15개의 지진을 각각 15개의 최대지반가속도가(0.05g, 0.1g, 0.2g, 0.3g, 0.4g, 0.5g, 0.6g, 0.7g, 0.8g, 0.9g, 1.0g, 1.25g, 1.5g, 1.75g, 2.0g) 되도록 스케일 조정하여 총 900개의 지진을 생성하여 지진취약도 해석을 수행하였다. 사용한 각각의 Site 별 지진의 특성은 Table 5, 6, 7, 8에 나타내었다.
Table 4
USGS Site Classification
| Site Classification | Average Shear Wave Velocity to a Depth of 30m(m/sec) |
| Site A | ≥ 750 |
| Site B | 360~750 |
| Site C | 180~360 |
| Site D | ≤ 180 |
Table 5
Site Class A earthquakes used in this study
Table 6
Site Class B earthquakes used in this study
Table 7
Site Class C earthquakes used in this study
Table 8
Site Class D earthquakes used in this study
4.2 최우도 함수를 적용한 지진취약도 해석방법
본 연구에서 사용한 지진취약도 해석방법은 Shinozuka 등(Shinozuka et al., 2001)이 제안한 방법으로 지진취약도 곡선을 대수정규분포함수로 표현하고 대수정규분포함수의 중앙값과 표준편차를 최우도추정법에 의하여 추정하는 방법이다.
N개의 지진하중에 대한 구조물의 응답을 평가하여 지진취약도를 평가과정은 다음과 같다. 최대지반가속도(PGA)가 ai인 번째 지진응답에 대한 손상이 발생한 경우와 손상이 발생하지 않는 경우로 구분한다면, 손상이 발생한 경우에는 손상발생확률을 증가시키고 손상이 발생하지 않는 경우에는 손상발생확률을 감소시킬 수 있도록 하는 최우도 함수를 식 (3)과 같이 정의할 수 있다.
(3)
여기서,
는 지진취약도 함수를 의미하고 ai는 i번째 지진의 최대지반가속도를 의미한다. xi는 랜덤변수 Xi의 값으로써 구조물의 지진응답에 손상이 발생하는 경우 xi=1, 손상이 발생하지 않는 경우에는 x0=0이다. 이때 지진취약도 곡선의 함수는 식 (4)와 같이 정의할 수 있다.
(4)
여기서,
는 정규분포함수이고, c와
는 각각 대수정규분포함수의 중앙값과 대수표준편차이다.
4.3 역량스펙트럼 방법을 이용한 피뢰기 강재골조 구조물의 손상상태 평가
피뢰기 구조물에 대한 비선형 정적해석 결과로부터 작성한 Fig. 3의 역량곡선의 항복점에 대응하는 가속도가 58.50g 임을 알 수 있다. 이는 피뢰기 구조물의 고유진동수가 24.22 Hz로서 구조물의 강성은 크고 질량은 작기 때문에 항복점에 대응하는 가속도가 큰 값을 나타내는 것으로 판단된다. 그러므로 피뢰기 강재골조 구조물은 연구에 사용한 모든 지진에 대하여 탄성거동을 함으로 손상이 발생하지 않는다.
4.4 응답이력해석을 이용한 피뢰기 구조물의 손상상태 평가
응답이력해석을 통한 피뢰기 구조물의 손상상태를 평가하기 위하여 응답이력을 구한 예를 Fig. 4에 나타내었다. PGA=1.0g로 스케일 조정한 Site C, PET000 지진하중이 가해졌을 때 부싱의 가속도응답과 앵커에 작용하는 전단력응답, 피뢰기의 변위응답을 나타내었으며 이로부터 최대값을 구하여 손상상태를 판별하였다. 응답이력해석에 의한 부싱의 손상상태 판정 예를 Table 9에 나타내었다. 판정결과의 양이 많기 때문에 특정 최대지반가속도에 대하여 부분적인 판정결과만 나타내었다. Ab는 부싱의 최대가속도이며 Ds가 0이면 손상이 없음을 1은 손상이 발생함을 나타낸다.
Table 9
Damage state evaluation of bushing using response history analysis
5. 피뢰기의 지진취약도 해석
5.1 강재골조의 지진취약도 해석
역량스펙트럼 방법을 적용한 피뢰기의 강재골조에 대한 최대변위응답을 구하는 과정의 예를 Fig. 5에 나타내었다. 연구에서 사용한 모든 지진하중에 대하여 탄성 범위내에서 거동하며 변위는 1cm 전후로 작게 발생하여 손상이 발생하지 않는 것으로 판정되었다. 이는 강재골조의 고유진동수가 24.22Hz로 고진동수를 나타내며 강성에 비하여 질량이 작아 지진하중에 의한 관성력이 작게 작용하였기 때문으로 판단된다.


Figure 5
Performance point of steel frame part of lightning arrester calculated by capacity spectrum method
5.2 부싱의 지진취약도 해석
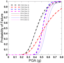
부싱의 손상상태 정의는 손상에 의한 절연유 유출여부를 단일기준으로 적용하였으며 역량스펙트럼 방법과 응답이력해석 방법을 이용하여 900개의 지진에 대한 부싱부에서 가속도응답을 계산하여 0.6g를 초과하면 파괴된 것으로 간주하였다. 900개 지진에 대한 부싱의 손상상태 판별 결과를 식 (3)과 식 (4)에 적용하여 지진취약도 곡선의 중앙값과 표준편차를 구하였으며, 이를 응답이력해석과 역량스펙트럼 방법으로 구분하여 각각 Table 10과 11에 나타내었다. 두 방법에 의한 지진취약도 곡선의 중앙값과 표준편차가 유사함을 알 수 있다. 지진취약도 곡선의 중앙값과 표준편차를 이용하여 지진취약도 곡선을 작성하여 Fig. 6에 비교하여 나타내었다. 두 방법에 의한 지진취약도 곡선이 유사하며 특히 Site A와 Site B 지진의 경우는 거의 일치하는 결과를 나타낸다. Site C와 D의 경우는 역량스펙트럼 방법의 지진취약도가 동일한 PGA에서 응답이력해석 보다 크게 평가하는 경향이 있지만 전반적으로 유사한 결과를 나타낸다.
최대지반가속도(PGA)가 0.5g 이하의 지진에서 Site A와 B의 지진의 경우가 Site C와 D의 지진 보다 파괴확률이 크게 나타나는데 이것은 피뢰기가 고진동수의 구조물이므로 지반의 견고할수록 고진동수의 지진성분을 더 많이 내포하기 때문에 이에 대한 영향으로 견고한 지반의 지진에 의한 파괴확률이 증가된다고 판단된다.
Table 10
Median(c) and standard deviation(
) of seismic fragility curves of bushing calculated by response history analysis(RHA)
| Site Class | Median(c) and standard deviation( ) of seismic fragility curves | ||
|---|---|---|---|
| Response History Analysis | Site A | c | 0.4286 |
![]() | 0.285 | ||
| Site B | c | 0.5449 | |
![]() | 0.353 | ||
| Site C | c | 0.5704 | |
![]() | 0.121 | ||
| Site D | c | 0.5459 | |
![]() | 0.117 | ||
Table 11
Median(c) and standard deviation(
) of seismic fragility curves of bushing calculated by capacity spectrum method(CSM)
| Site Class | Median(c) and standard deviation( ) of seismic fragility curves | ||
|---|---|---|---|
| Capacity Spectrum Method | Site A | c | 0.4235 |
![]() | 0.262 | ||
| Site B | c | 0.5367 | |
![]() | 0.360 | ||
| Site C | c | 0.5143 | |
![]() | 0.110 | ||
| Site D | c | 0.5153 | |
![]() | 0.126 | ||
5.3 앵커의 지진취약도 해석
응답이력해석 방법을 이용한 구조물의 지진응답은 Fig. 4에 나타낸 것처럼 구조물의 가속도응답과 변위응답 뿐만 아니라 각 부재에 작용하는 부재력까지 얻을 수 있다. 역량스펙트럼 방법을 이용한 경우에는 성능점에 대응하는 구조물의 최대가속도와 최대변위 값만 직접적으로 구하기 때문에 구조부재나 앵커에 가해지는 부재력을 구하기 위해서 Fig. 7에서처럼 역량스펙트럼 방법을 이용하여 얻은 구조물의 최대 응답가속도에 구조물의 유효질량을 곱해준 힘(F)을 부싱 하부에 가하는 정적해석을 수행하여 앵커에 작용하는 부재력을 구하였다.
Table 12
Median(c) and standard deviation(
) of seismic fragility curves of anchor calculated by response history analysis(RHA)
| Site Class | Median(c) and standard deviation( ) of seismic fragility curves | ||
|---|---|---|---|
| Capacity Spectrum Method | Site A | c | 0.9888 |
![]() | 0.312 | ||
| Site B | c | 1.2867 | |
![]() | 0.197 | ||
| Site C | c | 1.2867 | |
![]() | 0.110 | ||
| Site D | c | 1.1959 | |
![]() | 0.125 | ||
앵커에 작용하는 힘이 Table 2와 3에서 구한 설계강도를 초과하게 되면 앵커는 파괴상태에 도달한다고 가정하였으며 4개의 앵커 중 2개의 앵커가 파괴되면 붕괴되는 것으로 가정하였다. 900개의 지진에 대하여 앵커부에 작용하는 힘을 구하여 손상발생여부를 판별하였으며, 이를 식 (3)과 식 (4)을 적용하여 지진취약도 곡선의 중앙값과 표준편차를 Table 12와 13에 나타내었다. Fig. 8에 역량스펙트럼 방법과 응답이력해석 방법을 이용한 지진취약도 곡선을 비교하여 나타내었다. 앵커에 대한 지진취약도 해석결과 Site A 지진에 대한 파괴확률이 다른 지진에 비해 크게 나타남을 알 수 있으며 Site B, C, D의 경우는 파괴확률이 비슷하게 나타남을 알 수 있다. 이는 부싱의 취약도 곡선의 결과와 마찬가지로 앵커부의 지진취약도 곡선도 견고한 지반의 지진에 대해 더 취약함을 의미한다고 할 수 있다. 앵커부에 대한 응답이력해석과 역량스펙트럼 방법을 이용한 지진취약도 곡선을 서로 비교해 본 결과 두 방법을 이용한 지진취약도 곡선은 거의 일치하는 것으로 나타났다.
Table 13
Median(c) and standard deviation(
) of seismic fragility curves of anchor calculated by capacity spectrum method(CSM)
| Site Class | Median(c) and standard deviation( ) of seismic fragility curves | ||
|---|---|---|---|
| Capacity Spectrum Method | Site A | c | 0.9969 |
![]() | 0.286 | ||
| Site B | c | 1.2735 | |
![]() | 0.198 | ||
| Site C | c | 1.2071 | |
![]() | 0.140 | ||
| Site D | c | 1.1765 | |
![]() | 0.166 | ||
피뢰기의 파괴모드를 분석하기 위하여 부싱과 앵커의 지진취약도 곡선을 Fig. 9에 비교하여 나타내었다. 이를 통하여 피뢰기는 부싱의 파괴확률이 앵커의 파괴확률 보다 크게 나타남으로 피뢰기의 주된 파괴모드는 부싱의 파괴이며, 이는 실제적인 피뢰기의 지진하중에 의한 파괴 유형과도 일치하는 결과를 나타낸다.
6. 결 론
지진응답을 정확하게 구할 수 있지만 해석시간이 오래 걸리는 단점을 가진 응답이력해석과 간단하지만 응답의 정확성이 떨어지는 역량스펙트럼 방법을 이용하여 피뢰기에 대한 지진취약도 해석을 수행하여 다음과 같은 결론을 얻었다.
1)본 연구에서는 역량스펙트럼을 적용하여 전력구조물 중 피뢰기 구조물에 대한 지진취약도를 평가하는 방법을 제시하였고, 이 과정에서 등가단자유도 전환방법, 역량스펙트럼 방법에 의한 간략화된 앵커부의 부재력 평가방법 등을 제시하고 평가하였다.
2)지진하중에 대한 피뢰기 구조물의 파괴확률은 Site A 지진에서 가장 크게 나타났으며, 이는 피뢰기가 고진동수의 구조물이므로 지반의 견고할수록 고진동수의 지진성분을 더 많이 내포하기 때문에 이에 대한 영향으로 견고한 지반의 지진에 의한 파괴확률이 증가된다고 판단된다.
3)피뢰기의 주된 파괴모드는 부싱의 파괴이며 이는 실제적인 피뢰기의 지진하중에 의한 파괴 유형과도 일치하는 결과를 나타낸다.
4)역량스펙트럼 방법에 의한 피뢰기의 지진취약도 곡선이 응답이력해석에 의한 지지취약도 결과와 상당히 유사함을 알 수 있었다. 이는 본 연구에 사용한 역량스펙트럼 방법의 정확성을 향상시키고자 등가단자유도응답 전환과정이 반영되었고, 역량스펙트럼 방법을 이용한 지진응답의 평가과정의 정확성이 향상되도록 개선되었기 때문으로 판단된다.





=0.75×110200N=82650N
=0.75×0.7×241365.494N
=0.75×0.7×115584N
N=0.65×66120=42978N
=0.75×0.7×2031922.811N
=0.75×0.7×482730.988N







