1. 서 론
액화된 천연가스는 기체 상태에 비해 부피가 1/600까지 줄어든다는 특징이 있어 해외에서 생산된 천연가스는 액화되어 LNG선박 등을 통해 수송된다. LNG 운반선의 설계에 있어서 가장 핵심적인 것은 유체 슬로싱 하중에 견딜 수 있는 단열창의 강도와 BOG(boil off gas)/BOR(boil off rate) 값을 최소로 하는 단열성능을 갖춘 화물창 구조에 있으며, 화물창의 단열 구조는 독립형 구조 및 멤브레인(membrane) 구조 등으로 나눌 수 있다(Lee et al., 2014).
본 연구는 멤브레인 구조의 일종인 GTT사에서 개발한 NO96 화물창을 대상으로 삼고 단열성능에 대해서 연구하였다. LNG 화물창의 단열성능은 BOG양과 BOR에 가장 큰 영향을 미치며, 이는 LNG 선박의 경제성을 결정하는 중요한 설계 목표 값의 하나이다. 이러한 중요성 때문에 BOR/BOG 값을 낮추기 위한 다양한 시도가 이루어지고 있으며, 특히 멤브레인 형 LNG 화물창인 GTT NO96의 단열층을 변형함으로써 화물창 용적을 보장하고, 단열성능을 높이기 위한 노력이 시도되고 있다(Gaztransport and Technigaz, 2014; Roh and Son, 2012).
2. NO96 화물창
2.1 NO96 화물창의 특징
기존의 GTT NO96 화물창은 Fig. 1과 같이 1차 방벽과 2차 방벽의 두 개의 단열층으로 구성되어 있으며, 주요 단열 재료로써 펄라이트(perlite) 재료를 이용하고 있다. 최근에는 이러한 단열구조 및 단열재의 소재를 변경한 GW(glass wool) 모델과 NO96 L3(three layer) 모델이 소개되고 있다. NO96 GW는 기존 펄라이트를 유리섬유(glass wool)로 대체한 것이며, NO96 L3는 두 개의 단열층을 3개로 분리함과 동시에 glass wool을 추가하여 단열성능을 변화한 모델이다. Fig. 2는 NO96 L3 모델의 형상을 보여주고 있다.
2.2 NO96 화물창의 모델
GTT NO96 화물창은 Fig. 3(a)에 보인 바와 같이 펄라이트 재료를 주요 단열재료로써 이용하고 있으며, 플라이우드(plywood) 재료를 경계로 두 개의 단열적층 구조를 가지고 있다. 각 적층은 LNG 화물의 유출을 방지하기 위한 Invar 판이 부착되어 있다. NO96 GW는 NO96형의 상자 단열재를 펄라이트를 유리섬유로 교체한 것으로 치수의 변화는 없고 Fig. 3(b)에서와 같이 NO96 모델에서 단열재료의 변화만 있다. NO96 L03는 Fig. 3(c)에 보인 바와 같이 3개의 단열층을 구성하고 두 개의 유리섬유 적층과 1개의 R-PUF (reinforced-poly urethane foam) 적층을 이용한 변형된 형태이며 전체 단열상자의 두께는 변함이 없는 것을 확인할 수 있다.
3. 화물창의 열전달 특징
3.1 화물창의 열전달 지배방정식
화물창의 온도 분포는 식 (1)에 보인 바와 같이 체적 열에너지 생성이 고려되지 않은 열확산 방정식을 지배방정식 으로 표현할 수 있다. 또한 주변 공기, 화물창 내 LNG에 의한 대류 열전달은 식 (2)에 보인 바와 같은 대류의 열유속 경계조건으로 정의할 수 있다.
여기서, k, ρ, Cp는 각각 열전도 계수, 밀도, 정압 비열이다. q''는 열유속(Heat flux)이며, T∞는 대류 유체의 온도를 의미한다.
3.2 열전달 재료 특성
각 화물창에 사용된 재료의 열전달 특성은 Table 1과 같이 정리하였다. 방열판을 구성하는 재료의 물성치는 Choi 등 (2012)의 실험 결과를 참조하여 사용하였으며, Fig. 4에 그 값을 도시하였다. Fig. 4에 도시된 값은 Table 2에서와 같다. 화물창의 재료들 중 유리섬유와 펄라이트 재료는 단열성을 유지하기 위해 내부에 질소를 포함하게 된다. 따라서 열전달 해석 시 전체 체적에서 질소가 차지하는 부피를 고려하여 열전도 계수를 계산하여야 한다. 이 부피는 기공율(porosity)로 주어지며, 다음의 식 (3)은 질소가 차지하는 기공율(α)를 고려하여 산정한 유리섬유 및 펄라이트 상자의 등가 열전도 계수이다.
식 (3)에서 k는 등가 열전도 계수, k1는 질소 가스의 열전도 계수, k2는 유리섬유 또는 펄라이트 재료의 열전도 계수를 의미한다. 본 연구에서는 유리섬유의 기공율은 0.7, 펄라이트는 0.42로 가정하였다(Majouli et al., 2011).
등가 열전도 계수를 계산하기 위해서 고려된 질소의 열전도 계수는 Table 3과 Fig. 5에서와 같으며, 기공율을 고려하여 계산된 각 재료의 등가 열전도 계수는 Table 4에서와 같고 이를 도시하면 Fig. 6에서와 같다.
Table 1
Material property of insulation components
| Material | Thermal conductivity(W/m K) | Density(kg/m3) | Specific heat(J/kg K) |
|---|---|---|---|
| Invar | 13.8 | 8,130 | 480 |
| Plywood | Temperature dependant (Table 2, Fig. 4) | 680 | 1,210 |
| Glass wool | 24 | 700 | |
| Perlite | 105 | 387 | |
| R-PUF | 125 | 1,382 |
Table 2
Thermal conductivity of insulation material
| Temp.(℃) | Thermal Conductivity(W/m K) | |||
|---|---|---|---|---|
| Glasswool | Perlite | Plywood | R-PUF | |
| -163 | 0.032 | 0.018 | 0.02 | 0.062 |
| -133 | 0.033 | 0.024 | 0.024 | 0.074 |
| -72 | 0.034 | 0.036 | 0.029 | 0.095 |
| -30 | 0.035 | 0.044 | 0.035 | 0.108 |
| 10 | 0.036 | 0.052 | 0.04 | 0.118 |
Table 3
Thermal conductivity of nitrogen
| Temp.(℃) | Thermal Conductivity(W/m K) |
|---|---|
| -163 | 0.011 |
| -133 | 0.013 |
| -72 | 0.018 |
| -30 | 0.021 |
| 10 | 0.024 |
4. 열전달 해석을 통한 BOR/BOG 계산
4.1 열전달 해석모델
BOR/BOG 계산을 위한 열전달 해석모델은 Fig. 7에서와 같이 화물창과 선체의 일부를 선택하여 모델을 작성하였다. NO96, L03, GW 모델은 Fig. 3에서 제시된 화물창의 수치에 따라 각각 화물창 부위를 다르게 하여 모델을 작성하였다. 열전달 해석모델에 적용된 대류조건은 LNG와 접하는 면은 선체 내부에서 유체에 의한 강제대류조건을 부여하였으며 선체 외부에서는 선체가 해수 또는 공기와 접하는 부위마다 대류 조건을 계산하여 계산된 대류계수 값을 반영하여 계산하였다. 열전달 해석은 화물창의 각 재료들을 전도(Conduction) 문제로 가정하여 계산하였으며, 선체 내부에 포함된 공기 또한 전도체로 가정하여 식 (1)에서 제시된 열확산 방정식을 계산하였다. 열전달 계산은 상용 유한요소해석 프로그램인 ANSYS를 사용하여 계산하였다.
4.2 열전달 대류 계수 계산
등가 열전도 계수를 산정하기 위해서는 앞 절에서 제시한 방법에 따라 열전도 계수를 이용하지만, 재료의 물성치가 온도에 의존하기 때문에 우선 각 적층 재료의 온도 분포를 계산하여야 한다. 온도 분포 계산을 위해서 세 가지 화물창 구조에 대하여 정적(static) 상태를 가정하여 열전달 해석을 실시하고 각 부재의 중심 온도를 대표 온도로 이용하여 열전도 계수의 대표값을 산정하였다. 선체 외부에서의 대류조건은 해수면 아래 및 해수면 위로 나누어지며, 각각 해수 또는 대기와 수평 및 수직한 대류 열전달이 발생한다. 따라서, 해수면 상하, 수직 및 수평면 4가지 경우에 대하여 대류 계수를 산정하고 이를 반영하여 열전달 해석을 수행하였다.
4.2.1 선체 외부의 대류 계수
LNG 운반선의 경우에는 선박이 일정한 속도로 운항하기 때문에, 선체 외부에서 공기와 접하는 면과 해수와 접하는 면에서 일정한 강제대류가 발생한다. 그리고 선체 내부에서 공기가 채워져 있는 Compartment에서 공기에 의한 자연 대류가 발생하고, LNG와 접하는 화물창 내부에서는 강제 대류가 발생한다. 이러한 선체의 온도분포를 계산하기 위해서 공기 물, LNG 화물과 접하는 각각의 면에 대한 대류조건을 가정하기 위한 대류 계수(h) 값을 계산하여 반영하였다. 공기 및 해수에 의해 강제대류가 일어나는 선체 외판에 대하여는 Whitaker 식(Öziʂik, 1985)을 적용하여 무차원 Nusselt 수(Nu)를 구한 후 대류 계수를 산정하였다. Re수는 선속 V를 대표속도로 적용하고 선체길이 L을 대표 길이로 하여 식 (5)과 같이 나타낼 수 있다. 따라서 대류 열전달계수 (h)는 식 (6)와 같이 계산할 수 있다.
여기서, ν는 동점성계수(m²/sec)이며, 식 (4)에서의 Nu은 Nusselt 수를 의미한다. Pr은 Prandtl 수를 의미하며, 이는 물리적으로 동점성 계수와 열확산특성과의 비율을 나타내는 물리량이다(Heo et al., 2003).
4.2.2 선체 내부의 대류 계수
선저 및 선측 내부에 존재하는 공기 층 내부에서는 공기에 의한 자연대류(natural convection)이 작용한다. 선저 수평부의 선체 부재의 자연 대류 계수는 McAdam식(Öziʂik, 1985)을 사용하고, 선측 수직 평판에 대해서는 Warner식을 각각 사용 하여 계산하였다.
▪수평 평판의 대류 열전달 계수
수평 평판의 대류 열전달 계수는 식 (7)~(8)를 이용하여 계산하였다. Gr는 무차원 계수로서 Grashof 수를 의미하며, 이는 부력과 점성 간의 상대적인 비율을 의미한다.
▪수직 평판의 대류 열전달 계수
수직 평판은 식 (10), (11)을 이용하여 계산하였다.
여기서, g는 중력 가속도, β는 체적팽창계수를 나타낸다. 위의 식들을 사용하여 산정한 대류 계수는 각 부위별로 Table 5에 정리하였다(Heo et al., 2003; Zakaria et al., 2012).
4.3 열전달 해석 결과
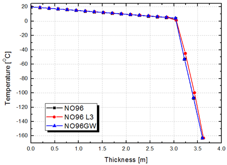
LNG 화물창에 대해서 각각 열전달 해석을 수행하여 Fig. 8에서와 같이 각각의 화물창에 대해서 정적인 상태에서의 온도분포결과를 계산하였다. NO96 화물창의 최저 분포는 4.34oC이며, GW 화물창에서는 4.55oC, L03 화물창에서는 4.49oC로서 NO96 화물창보다 GW 및 L03 화물창의 단열 성능이 더 우수하게 평가된 것을 확인할 수 있다. 또한 Fig. 9에서와 같이 열유속의 분포를 확인하였을 때도 최대 열 유속이 NO96 모델에서 가장 높게 발생하는 것을 확인할 수 있다.
그리고 Fig. 10과 Fig. 11은 각각의 화물창 모델에 대해서 선체를 포함하는 화물창에서의 온도분포와 열유속 분포를 나타낸 것이다. 해석결과를 살펴보면 각각의 화물창에서의 온도 분포는 유사하지만, 부재 내부에서 발생하는 열 유속 분포가 일부 차이가 있음을 확인할 수 있고, Fig. 11에서와 같이 열 유속의 분포는 NO96, L03, GW 화물창 순으로 열유속이 다르게 분포함을 확인할 수 있다.
4.4 단열구조의 등가 열전도 계수 산정
화물창 전체를 대상으로 BOR 및 BOG를 계산하기 위해서는 3차원 열전달 해석이 필요하다. 그러나 각 적층의 형상을 모두 반영하면 계산시간이 많이 소요되는 단점이 있으며, 이를 해결하기 위해서는 단열층의 여러 적층 재료를 단일한 적층 구조로 가정하여 해석을 수행하는 것이 효율적이다(Han et al., 2011). 따라서 본 연구에서는 각 적층 재료의 대표 열전도 계수를 이용하여 방열구조를 단일한 적층의 열전도 부재로 치환하였다. 다층구조를 가진 열전도체가 대류 및 전도체로 구성되었을 경우에는 식 (12)~(14)를 이용하여 등가 열전도 도를 계산할 수 있다.
여기서, q는 열량, ∆Toverall은 온도 차이를 의미하며, A는 열전달 표면면적, Rtotal은 총열저항을 의미한다.
여기서, U는 heat transfer rate를 의미하며, h1는 주위 열대류 계수, h2는 LNG 열대류 계수, k는 방열판 열전도 계수, x는 방열판 두께를 의미한다(Heo et al., 2003; Zakaria et al. 2012).
Table 6은 선체에서 발생한 온도 및 열 유속의 결과를 비교하여 정리한 결과이다. 선체에서의 온도 분포는 선형적 으로 변하므로 부재의 중간 지점의 온도를 대표 온도로 가정하였으며, 각 화물창에 대해서는 Table 7~9에 보인 바와 같이 각 단열 구조별로 단열층의 대표 열전도 계수를 합산하여 가정하였다.
Table 6
Temperature and heat flux at steel plate
| Type | Temperature | Ratio | Heat flux | Ratio |
|---|---|---|---|---|
| NO96 | 4.3387 | 100% | 12.258 | 100% |
| NO96 GW | 4.551 | 104.9% | 8.5419 | 69.7% |
| NO96 L3 | 4.4851 | 103.4% | 9.5739 | 78.1% |
Table 7
Heat convection coefficients of NO96
Table 8
Heat convection coefficients of NO96GW GW
Table 9
Heat convection coefficients of NO96 L03
4.5 등가모델을 이용한 열전달 해석
앞 절에서 얻은 등가 열전도 계수 및 등가적층 구조를 이용하여 단일 화물창에 대하여 열전달 해석을 수행하였다. 열전달 해석모델은 1개의 화물창을 대상으로 각 화물창 단열 구조별로 동일한 선체 구조로 가정하여 해석을 수행하였다. Fig. 13은 각각의 화물창의 등가 열전도 계수를 사용하여 계산된 화물창에서의 열유속 분포이다. 정적상태의 온도분포는 Fig. 12에서와 같이 각각의 모델에서 동일하게 계산되었으며, 열유속 분포는 Fig. 13에서와 같이 분포함을 확인하였다. BOG/BOR계산을 위해서 본 해석에서 계산된 열유속을 이용 하였다.
4.6 BOG/BOR 계산
BOG은 화물창 외부로부터의 열 입력에 의하여 발생하며, 화물창 각 부위의 온도 및 열유속을 예측함으로써 구할 수 있는 값이다. BOG 및 BOR은 식 (15), 식 (16)과 같은 간략화된 방법을 이용하여 계산할 수 있다(Heo et al., 2003).
여기서, QT(J/sec)는 침입한 열량, ρ(kg/m³)는 밀도를 의미 하며, V0(m³)는 LNG 화물창의 체적이며, Lt는 기화 잠열 (J/Kg)을 의미한다.
Table 10은 식 (15), (16)을 이용하여 구한 BOG/BOR 값이다. 세 화물창 구조의 정확한 BOG/BOR 값보다는 상대 적인 변화량만을 유의하게 활용한다면, NO96 GW, NO96 L3가 기존 형태보다 약 16%, 7%의 BOR 감소되는 것으로 계산 되었다.
5. 결 론
본 연구는 LNG 화물창의 일종인 GTT NO96의 변형된 단열구조를 대상으로 단열성능과 BOR의 상대적인 변화를 파악하기 위한 계산과정 및 그 값을 제시하였다. 이 결과 각 단열구조 별 단열성능의 상대적인 크기가 변함을 수치적으로 확인하고 그 수준을 정성적으로 파악할 수 있었으며 NO96 모델에서 개선된 GW 및 L03 모델의 단열성능이 우수한 것을 확인할 수 있었다.
향후 본 연구에서 제시한 BOR/BOG 값을 좀 더 엄밀하고 정확하게 파악하기 위해서는 선체 구조의 반영 및 단열창 내의 커플러, 측면과 선저, 갑판 등의 연결부의 상세한 단열구조를 반영할 필요가 있다고 사료된다. 또한, 대류열전달 계수와 선체 온도의 상호 연성관계를 반영하여야 할 필요가 있다고 생각 되며, 이는 추후의 연구에서 반영할 계획이다.





















