1. 서 론
해양에는 아직 발견하지 못한 석유나 가스 등의 많은 에너지 자원이 존재하며 이를 발굴하는 기술은 세계적으로 중요한 가치로 주목받고 있다. 따라서 바다 깊숙이 묻혀 있는 자원을 탐사, 발굴하기 위해 해양플랜트 설비가 적극적으로 개발되어 지고 있으며, 채취할 자원의 위치와 주변 환경에 따라 각각의 다른 형태로 설계된다. 최근 많은 지진의 위험으로 언제 어디 서든, 지진의 위험이 존재하기 때문에 해양플랜트 설비에 있어 서도, 내진성능이 필수로 요구되고 있다.
내진해석에 대해서는 많은 연구가 진행되어 왔다. 전통적 으로 건축구조물 및 트러스트교 등 다리 구조물에 대한 지진 해 석이 주로 응답스펙트럼 해석법(RSA, response spectrum analysis)을 중심으로 연구되어 왔으며 최근에는 지상의 구조 물을 벗어나서 지하공동구에 대한 연구도 활발하다(Kim and Lee, 2009). 하지만 해양 플랜트의 경우 주로 단순한 형태인 풍력발전기의 보 형상 프레임에 대해 한정적인 연구가 진행되 었다(Lee et al., 2012;Choi and Nam, 1998).
기존에 내진해석이 주로 이루어지던 건물, 다리 및 지하터 널 등 구조물은 복잡한 기계 부품을 포함하는 기계구조물보다 상대적으로 단순하고 일정한 형상이 대칭으로 길게 뻗으며 단순 재료로 구성되는 구조물이다. 이런 구조의 모델은 보요소 모델 이나 단면 모델만으로 내진해석이 가능하다(Kim et al., 2009).
반면 복잡한 구조물에 대한 인공지진 데이터를 활용한 시간 이력 해석법(THA, time history analysis)은 컴퓨터의 성능에 크게 의존하고 긴 해석 시간으로 인해 응답스펙트럼 해석법에 대한 의존성이 클 수밖에 없으나 최근 컴퓨터의 성능이 비약적으로 향상됨에 따라 시간이력 해석법의 수행도 많아지는 추세이다.
본 연구의 대상인 해양플랜트용 매니폴드의 구조는 Fig. 1과 같이 추출한 자원을 이송하는 배관, 이를 제어하는 밸브, 액추 에이터, 제어기(SCM)로 구성되며, 내부 구조물들을 보호하기 위한 외부 프레임 구조가 둘러싸여 하나의 모듈형식을 이룬다. 또한 매니폴드의 하단 부에는 자원을 추출하기 위해 지반에 고정된 석션파이프가 위치하게 된다. 이렇게 다양한 부속장치를 가진 복잡한 구조물에 대한 시간이력 해석은 여전히 일반적인 컴퓨터의 성능으로는 해석에 어려움이 존재한다. 따라서 구조 물에 대한 시간이력에 따른 거동보다는 간단히 최대 응답결과 만을 확인할 수 있는 응답스펙트럼 해석법에 대한 의존성이 높기 때문에 응답스펙트럼 해석 결과에 대한 검증이 필요하다.
본 논문은 다양한 물성과 형상을 갖는 부품으로 구성된 해양 플랜트 매니폴드 구조물에 대한 다양한 내진해석 방법을 수행 하여 해석 방법에 따른 해석 결과의 차이를 검토하였다. 이를 위해 간단한 단진자 보요소 모델과 실제 매니폴드 제품에 대한 단순화 모델을 구성하였고, 응답스펙트럼 해석법과 시간이력 해석법을 적용하여 결과를 비교 · 검토하였다. 특히 시간이력 해석은 Explicit 및 Implicit 방법을, 지진입력하중은 인공지 진가속도 및 변위하중을 각각 적용하여 다양한 내진해석 방법 으로 해석을 수행하였다. 최종적으로 실제 복잡한 매니폴드 모델에 대해서는 응답스펙트럼 해석을 수행하고 상기 내진해석 에서 얻은 결과를 이용하여 시간이력 해석 결과를 예측하였다.
2. 내진해석방법
2.1 응답스펙트럼 해석법(RSA)
내진설계를 위해선 특정 지역의 지진이력에 따른 구조물의 응답을 정확히 파악하여야 한다. 지진이력에 대한 응답의 전체 시간이력을 계산하는 것이 직관적이지만, 대부분의 내진설계 에서는 응답의 최댓값만 필요로 하는 경우가 많다. 응답스펙트 럼은 Fig. 2와 같이 특정 지진구역에서 다양한 고유 진동수를 갖는 여러 단자유도 모델의 최대응답만을 모아 평균하여 만든 자료이며, 이를 이용하는 응답스펙트럼 해석법은 구조물의 최대 응답을 간편히 구할 수 있다는 장점이 있다.
2.2 시간이력 해석법(THA)
시간이력 해석법은 시간에 대한 하중이력을 입력하여 시간 전체의 응답을 도출하는 직접적인 해석 방법이다. 시간에 흐름에 따른 응답의 이력을 알 수 있지만, 모든 시간에 대해 계산하기 때문에 컴퓨터에 가해지는 부담이 크고, 해석시간이 오래 걸린 다는 단점이 존재한다. 실제로는 해당 지역에서 측정된 지진이 력을 사용하여야 하지만, 본 연구에서는 내진설계 절차를 통해 결정한 응답스펙트럼에 대해 인공지진 변환프로그램을 사용하여 생성한 인공지진파를 시간이력 해석에 사용하였다.
시간이력 해석법은 크게 Explicit와 Implicit 방법으로 나 누어질 수 있다. Explicit 방법은 요소크기와 물성치에 의존하는 수렴가능한 안정화 시간을 구하고 이 시간에 따라 점점 진행하는 방법으로 수렴의 안정성이 뛰어나다. 하지만 안정화 시간이 10-7sec 이하로 떨어지면 현실적으로 20~30초의 시간을 갖는 지진해석을 진행하는 것은 매우 어렵다. 이런 현상은 특히 댐핑 처리에서 강성연계계수인 β의 값이 존재 시 더 열악해진다. 그러므로 많은 Explicit 해석에서 β의 값을 ‘0’으로 설정하여 해석을 수행하기도 한다(Chen et al., 2014).
Implicit 방법은 사용자가 지정한 시간을 반복하면서 수렴 시키는 방법이므로 해석시간이 단축될 수 있으나 수렴을 못 하는 경우가 많아 복잡한 시스템이 큰 동적거동을 보이는 충돌과 같은 해석에서는 잘 적용되지 않는다.
또한 지진하중의 입력은 지진가속도 및 이와 동등한 변위를 입력할 수 있다. 지진가속도는 실제 지진에서 측정되는 변수이 므로 실제 지진을 모사하는데 더 적합하나 빠르게 변하는 하중 으로 수렴이 어려워지면 긴 해석시간이 요구된다. 지진가속도를 적분하여 구한 변위하중은 안정된 해석을 보장하나 해석결과 의 정확도를 검토할 필요가 있다.
2.3 적용 내진 해석 방법
상기 절에서 기술한 바와 같이 내진해석 방법은 여러 가지가 존재하며 이런 다양한 해석법에 따른 해석 결과의 차이를 아는 것은 매우 중요하다. 본 연구에서 적용한 다양한 내진해석 방법 을 Fig. 3에 정리하였고, 상용 해석 프로그램인 Abaqus를 사용 하여 해석을 진행하였다.
3. 해석용 입력지진의 결정
3.1 ISO 기반 응답스펙트럼 결정
해저지진에 대한 규격 규정은 ISO 규격(ISO19901-2, 2004)에 자세히 서술되어 있으며 API RP 2EQ와 KS 규격 (KS B ISO 19902-2)도 상기 규격을 그대로 준용하고 있다. 본 연구에서는 ISO 19901-2를 준용한 KS 규격을 참조하였다.
Fig. 4는 응답스펙트럼을 작성하기 위한 절차와 각 계수값을 보여주고 있다. 현재 개발 제품의 대상 지역은 GoM(gulf of maxico) 지역으로 GoM 지역의 0.2초와 1초 진동주기를 구하였다(KS B ISO 19902-2). 다음으로 GoM의 대표적 토질을 활용하여 Jacket 구조물을 해석한 DNV 보고서의 토질데이터를 기반으로 지반의 사이트 클래스를 E로 결정하였다 (DNV Technical Report, 2011). 마지막으로 Ca, Cv 값을 결정하고 Fig. 5와 같은 지진응답스펙트럼 선도를 작성하였다.
3.2 QuakeSim 인공지진파 생성
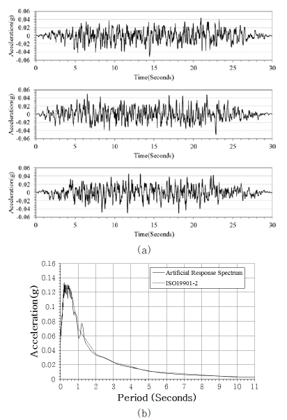
시간이력 해석에 필요한 지진입력을 결정하기 위해 상기 3.1절에서 결정한 응답스펙트럼에 대해 변환 프로그램인 QuakeSim(Website of Kim D.K)을 사용하여 입력인공지 진파를 생성하였다. 일반적으로 시간이력 해석은 2009년 제정 된 건축구조 설계기준 KBC2009에 따라 7개의 인공지진데이 터의 평균응답을 사용하게 된다. 따라서, 지진 지속시간은 30초, 강진 지속시간은 15초인 총 7개의 인공지진 데이터를 생성하였 으며, 대표로 3개의 인공지진을 Fig. 6에 나타내었다. 인공지 진의 가속도 범위는 최대지반가속도(PGA) 0.05g를 넘지 않으며, 데이터는 0.02초 간격으로 샘플링되었다. 지진이력의 형태는 상승시간 6초, 하강시간 21초 인 사다리꼴 형태의 포락곡선을 따라가도록 설정하였다. 또한, 인공지진 데이터의 유효성을 보기 위해 첫 번째 인공지진에 대한 역변환 응답스펙 트럼을 Fig. 6(b)에 나타내었다.
보통 시간이력 해석은 지진의 가속도에 대한 입력을 사용하 지만 본 연구에서는 Fig. 7과 같이 가속도를 적분하여 구한 변 위이력에 대한 응답도 같이 검토하였다.
4. 단자유도 모델을 통한 해석방법 검증
4.1 단자유도 보요소 모델과 해석 조건
실제 해석에 앞서 다양한 해석기법의 문제점을 발견하고 각 해석기법의 특성을 파악하기 위해 Fig. 8과 같은 간단한 단진자 보 요소(single degree of freedom beam model)모델에 대해 내진해석을 수행하였다.
요소크기는 200mm로 설정하였으며, 응답스펙트럼 해석법 에서는 모델 하단부분을 완전 구속하여 경계조건을 부여하였고, 시간이력 해석에서는 같은 하단부위에 인공지진 이력을 가하 였다.
4.2 단자유도 보요소 모델 해석결과
1) 모드해석결과
단진자 보 모델의 경우 w2=K/m(고유진동수 w, 횡강성 k, 전체질량 m)을 이용하여 구한 고유 진동수는 5.1319Hz 였으 며 해석에서는 5.1383Hz 로 잘 일치하였다.
2) 구조진동학적 정해
Fig. 8과 같은 단진자는 구조진동학적인 식을 이용하여 정 해를 계산하는 것이 가능하다. Fig. 5의 응답스펙트럼에서 고 유진동수 5.13Hz(0.2sec 주기)에 해당하는 가속도(Ag)는 0.125g 임을 알 수 있다. 이 가속도를 단진자의 하단에 가했 을 때 식 (1)~(3)을 활용하여 상단변위(D), 하단반력(F) 및 하단응력을 구하였다.
3) 다양한 내진해석기법의 결과
본 해석에서는 레일리 감쇠를 사용하였으며 1차 고유진동수 에서 0.05의 감쇠비를 갖도록 감쇠계수 α=3.22, β=5.3× 10-6를 사용하였다. 하지만 Explicit의 경우는 2.2 절에서 언 급한 바와 같이 수렴성의 문제로 β=0을 적용하는 경우도 많 으므로 β=3.54×10-4와 β=0인 경우 모두에 대해 해석을 수 행하여 결과를 비교하였다.
Fig. 5 응답스펙트럼과 Fig. 6(a)의 첫 번째 인공지진데이 터를 이용하여 다양한 해석기법에 적용한 결과는 맨 하단 Table 1에 정리하였다. 실제 매니폴드에서는 응력에 대한 안 전성 검토를 우선시하기 때문에 단진자 모델의 경우도 응력에 대해 각 해석방법에 따른 차이를 비교 · 검토하였다. 단진자 모델의 경우 1차 모드만 존재하므로 RSA의 ABS 또는 CQC 어떤 합산 방법이든 유사하였고 THA 해석의 경우 -15%~ 18%의 차이를 보였다.
5. 해양플랜트용 매니폴드 단순모델 내진해석 검증
5.1 해양플랜트 구조물의 해석 모델
해양플랜트용 매니폴드 구조물은 Fig. 9처럼 가로 10m, 세로 8m, 높이 4.3m의 직육면체 형태를 띠며, 직경 5m, 높이 7.5m의 석션파이프가 제품 하단부에 위치해 있다. 매니폴드 구조물의 무게는 프레임 30.51ton, 내부파이프 31.12ton, 석션파이프 17ton이고 각 재질 물성치는 Table 2에 나타내 었다.
실제 매니폴드는 그 복잡성으로 인하여 시간이력 해석법의 적용이 어려우므로 Fig. 10과 같이 최대한 단순화하여 여러 내진 해석 방법에 대한 검증에 사용하였다. 외부 프레임, 배관, 지지대 및 석션파이프는 일정한 단면을 가진 구조로서 와이어 모델링하여 2절점 빔요소를 적용하였고, 밸브와 엑츄에이터는 해당 부위와 같은 질량을 가진 육면체 형상으로 단순화 모델링 하여 8절점 감차적분 육면체 솔리드 요소를 적용하였다. 유한 요소 해석을 위한 요소의 크기는 최소 200mm, 최대240mm 이며, 총 2732개의 요소를 사용하였다.
Fig. 11과 같이 석션파이프가 약 6.4m 깊이로 해저지반에 고정되어 있다고 가정하여 구속조건을 부여하였다. 실제 지진은 모든 방향으로 발생하지만 해당 구조물의 해석은 상대적으로 취약한 Z-방향으로 진행하였다.
5.2 모드해석 및 응답스펙트럼해석
매니폴드 구조물의 응답스펙트럼 해석과 레일리 감쇠계수의 결정을 위해선 모드해석이 선행되어야 한다. 전체 모드의 질량 참여율이 90% 이상이 되도록, 총 250개의 모드를 계산하였으 며, 주요 모드의 고유진동수와 질량참여율은 Table 3에, 모드 의 형상은 Fig. 12에 나타내었다.
응답스펙트럼 해석은 모드해석 결과를 기반으로 계산되며, 상기 3.1절에서 정한 응답스펙트럼을 통해 모드해석에서 얻은 총 250개의 모드 주파수의 응답을 합하는 방법으로 계산한다. 따라서 경계조건 또한 모드해석과 같으며, 결과 값의 합산 방법은 ABS방법과 CQC방법을 이용하여 비교 · 검토하였다.
5.3 시간이력 해석
감쇠비가 적용된 응답스펙트럼을 이용하는 응답스펙트럼 해석과는 다르게 시간이력 해석에서는 감쇠계수를 직접 입력해 주어야 한다. 본 연구에서는 두 주파수를 선택해 감쇠비를 결정하는 레일리 감쇠를 사용하였다. Fig. 13의 그래프처럼, 주요 모드 주파수 범위에서 0.05의 감쇠비를 갖도록 5Hz와 40Hz를 레일리 댐핑 공식에 적용하여 얻은 감쇠계수 α =2.793, β =3.54e-4를 사용하였다.
시간이력 해석에서 경계 조건은 모드해석에서 가정한 석션 파이프 묻힘 깊이인 6.4m만큼 선택하여 구속시키고 z방향으로 각각 가속도와 변위에 대한 인공지진이력을 가하여 Abaqus/ standard 솔버인 Implicit와 Abaqus/Explicit 솔버로 각각 해석하여 결과를 비교 · 검토하였다.
5.4 해석결과 비교
응답스펙트럼 및 시간이력 해석법을 통하여 Fig. 14에 표시한 주요 부위에 대한 응력(von-mises)결과를 Table 4에 정리하 였다. 시간이력 해석법의 결과는 7개의 지진시간이력 입력에 대한 결과를 평균내어 나타내었다.
대표적으로 RSA-CQC의 해석결과를 Fig. 15에 나타내 었다. 단순모델 해석은 정해가 존재하지 않으므로 RSA의 CQC와의 차이를 Table 5에 비교하였다. ABS방법은 다른 해석법에 비해 최소 1.5배에서 크게는 2배이상 차이가 발생 하였다. CQC방법과 시간이력 해석결과의 편차는 4번 위치에서 가속도 입력결과에 대해 최대 25%, 변위입력에 대해 최대 24% 차이를 보였다. 이 결과는 한 가지 모델의 해석 경우이므로 일반화는 힘들지만 현재 매니폴드와 같은 모델에서 변위 입력 에서는 Implicit가 가속도 입력에서는 Explicit가 더 CQC와 유사한 결과를 나타내었다. 다음 절에서는 모델의 복잡성으로 인하여 시간이력 해석을 수행하지 못하는 실제 제품에 대해 상기 단순모델 해석결과의 차이를 고려하여 시간이력 해석결과를 예측하였다.
6. 실제 해양플랜트 매니폴드 모델 해석
6.1 해석 모델 및 조건
이 절에서는 앞에서 나타낸 Fig. 9와 Fig. 14와 같은 매니 폴드의 실제 모델에 대해 응답스펙트럼 해석을 통해 구조물의 안전성을 검토하였다.
Fig. 16과 같이 구조물을 이루는 빔과 파이프는 얇고 긴 부재이므로 4절점 감차적분 쉘 요소를 사용하였고, 내부 부품 들은 형상을 그대로 가져와 10절점 2차 사면체 요소를 사용 하였다. 또한 상대적으로 단순한 지지대 및 석션파이프는 2절 점 빔 요소를 사용하였다. 유한요소해석을 위한 요소의 크기는 최소 50mm, 최대200mm이며, 총 163914개의 요소를 사용 하여 계산하였다.
질량 기여도가 90% 이상이 되도록 해당 모델에서는 150개의 모드를 계산하였으며, Fig. 17처럼, 상기 5절의 경계조건과 같이 석션파이프의 6.4m 만큼 구속조건을 부여하였다.
Explicit에서 시간증분은 요소의 크기에 비례하여 자동으로 계산된다. 해당 모델의 Explicit 해석에선 최소 요소의 크기로 인해 안정적 시간증분이 10-8~10-9으로 매우 작아 30초의 지속시간을 가진 지진파를 해석하기에는 아주 오랜 시간이 걸리게 된다. Implicit는 시간 증분을 직접 설정할 수 있지만 많은 양의 요소의 수 때문에 정해진 증분에 대한 해석을 진행 하는데 많은 시간이 소요된다. 해당 모델에서의 해석은 0.01초 진행하는데 약 5분이 소요되므로 Explicit 방법과 마찬가지로 현실적으로 반복적인 설계변경을 하면서 해석을 진행하기는 불가능하였다. 복잡한 구조물에서는 요소크기가 작아지고 그 수가 많아질 수 밖에 없기 때문에, 시간이력 해석은 현실적으로 어려움이 존재하므로 본 매니폴드 실제 모델은 응답스펙트럼 해석법으로만 내진해석을 수행하였다.
6.2 해석결과
상기 Fig. 14에서 정한 주요 부위에 대해 RSA-CQC, ABS의 해석 결과를 Table 6에 정리하였다. 단순화 모델에서 응답스펙트럼과 시간이력 해석의 결과를 비교하였을 때 응답 스펙트럼 해석법의 CQC결과와 가속도입력에 의한 시간이력 해석법에 대한 결과는 최대 25%의 편차를 갖는다. 이러한 사실로, 실제 제품 모델에서 시간이력해석이 진행했다고 하면, 그 결과값은 RSA-CQC 결과값의 최대 25% 상한내에 값을 가진다고 예측하였다.
단순모델에서 나온 가장 큰 차이인 25%를 적용하여 복잡한 실제 모델의 시간이력 해석값을 예측해서 Table 6에 나타 내었다. CQC 최대값은 117.46MPa이고 시간이력 해석은 146.83MPa로 예상이 되고 이 응력값은 Table 3의 허용응력 230MPa 보다 작으므로 안전하다고 판단하였다.
7. 수중 구조물과 유체 유동의 상호작용 효과
7.1 모리슨방정식
수중에 위치하는 구조물은 유체, 또는 구조물의 운동에 따라 유체와 상호 영향을 받게 된다. 식 (4)은 유체에 의해 원통형 상에 단위길이 당 작용하는 모리슨방정식을 나타내며 식 (5), (6)은 모리슨방정식을 구성하는 관성력과 항력에 관한 식을 나타낸다.
여기서, ρ는 유체의 밀도, D 는 형상 단면의 길이, A 는 구조물에 의해 배제된 유체의 면적이고 u와 은 각각 유체의 속도와 가속도를 나타낸다. 부가질량에 의한 효과는 구조물의 형상에 따라 정해지는 부가질량계수 Ca에 의해 결정되어진다. 항력 또한 물체가 유체에 의해 받는 저항력으로, 구조물의 형상에 의해 영향을 받으며, 항력계수 Cd에 의해 결정된다.
매니폴드 구조물의 경우, 해저 유체의 속도가 작기 때문에 유체의 운동에 의한 영향보다, 지진에 의한 구조물의 운동과 유체사이에 생기는 영향을 더 많이 받게 된다. 이로 인해 지진 시의 구조물의 속도와 가속도를 고려하여, 식 (5)~(6)을 다 음과 같은 식 (7)~(8)로 수정하여 매니폴드 구조물의 주요 부위에 대한 유체 상호 효과를 검토하였다.
7.2 유체 부가질량에 의한 강도 평가
해저유동에 의한 매니폴드 구조물에서 취약한 부위는 최대 비지지 길이를 갖는 빔과 파이프로 예상할 수 있다. 최대 비지지 길이란 보강구조물로 고정되지 않는 부분을 뜻하며, 파이프 및 프레임의 경우 보수적인 설계를 위해 매니폴드 최대길이인 10m까지 비지지 길이로 가정하였다.
비지지 영역의 대표적 단면 형상은 파이프는 원형, 프레임은 사각형상으로 가정할 수 있다. 해당 형상에 따른 부가질량계수, 항력계수 및 단면 물성치는 Table 7에 정리하였다. 여기서 t 는 두께, A 는 단면형상에 의해 배제된 유체의 면적, I는 단면 2차 모멘트이다.
해저 깊이 2699m Anderaa RCM8 구역의 평균유속과 표준편차를 이용하여, 대표유속의 절댓값은 0.135m/s로 선정하였다(OCS Study BOEMRE 2010-041). 유속은 등 속도 운동으로 가정하였으며, 구조물의 최대 가속도의 절댓값은 최고지반가속도(PGA)인 0.5m/s2로 산정하였다. 구조물의 속도의 절댓값은 7개의 변위이력을 미분하여 속도이력을 얻은 뒤, 최대값의 평균인 0.83m/s를 사용하였다.
파이프와 프레임의 위험부위를 Fig. 18과 같이 단순지지보 모델로 가정하여 최고응력을 결정하였다. 관성력과 항력을 합한 식 (9)에서 유체의 상호작용에 의한 분포하중(w)을 구하고 이를 이용하여 식 (10)~(11)과 같이 최고응력을 계산하였다. 프레 임에서도 식 (12)~(14)을 이용하여 동일하게 최대응력을 구 할 수 있다.
- 파이프의 최고응력
- 프레임의 최고응력
프레임에서의 최대응력은 4.84MPa, 파이프에서는 최대응 력이 2.21MPa로 비슷한 단면모멘트를 가졌음에도, 사각형상 을 갖는 프레임에서 더 큰 항력계수와, 부가질량효과로 인해 응력이 더 크게 발생하였다. 하지만 보수적인 평가임에도 불구 하고 두 영역에서 발생한 최대 응력값은 각각 프레임의 허용응 력인 230MPa의 2%, 파이프의 허용응력인 366MPa의 0.6%로 유체에 의한 영향은 미미하였다.
8. 결 론
본 연구에서는 시간이력 해석이 불가능한 복잡한 모델에 대해 응답스펙트럼해석을 적용하였을 때 시간이력해석에 대한 결과 를 추정하였으며 발생 가능 응력의 범위를 파악하여 구조물의 안정성을 판단하였다. 해양플랜트용 매니폴드의 단순화 모델에 응답스펙트럼해석법과 시간이력해석법 해석을 수행하고 결과를 비교하여 복잡한 실제 구조물에 대한 응답스펙트럼 방법의 활 용법을 제시하였다. 응답스펙트럼 해석은 ABS와 CQC합산방 법을 사용하였고, 시간이력 해석은 Explicit와 Implicit 솔버에 각각 가속도 및 변위 인공지진이력을 입력하여 해석을 진행 하였다.
1) 매니폴드 단순화모델에서 응답스펙트럼법의 ABS방법 결과값은 CQC 해석결과 보다 약 1.5배에서 2배까지 (58%~120%) 크며 CQC방법은 ABS방법에 비해 시간이력 해석결과와 더 유사하였다.
2) 매니폴드 단순화모델에서 여러 가지 시간이력해석법의 결과는 응답스펙트럼법의 CQC값과 비교하였을 때, 최대 25%의 차이가 나타나며, 실제 복잡한 형상의 해양 플랜트 매니폴드의 RSA-CQC결과값 117.46MPa에 25%를 더하여 시간이력 해석결과를 예측해 보면 최대 146.83MPa로 평가할 수 있다. 이는 최대응력이 발생 한 프레임 재질의 허용응력범위 230MPa 안에 들어가 므로 안전하다고 판단할 수 있었다.
3) 이렇게 예측된 시간이력 해석 응력값(146.83MPa)은 결과적으로 응답스펙트럼법의 ABS방법의 최대결과값 (157.16MPa)과 유사함을 알 수 있으며 ABS 방법을 적용하면 여러 가지 해석조건에서 나올 수 있는 불확실 성을 고려한 보수적이고 안정적인 설계가 될 수 있다.
4) 수중에 설치되는 구조물로써 주변의 유체의 부가질량에 대한 효과를 검토하였을 때, 발생한 응력의 값은 대체로 항복응력의 2% 미만으로, 그 효과를 무시할 만큼 매우 미약하다고 판단 할 수 있었다.



























