1. 서 론
항공기가 설계되기 전, 다양한 임무수행 요건들이 먼저 설립된다. 착륙거리, 순항속도, 최대 비행거리, 스텔스 기능, 급선회 등 그 요구 조건들을 만족시키기 위해 항공기들은 다양한 형태로 설계된다. 민간 항공기부터 전투기, 무인항공기, 헬리콥터, 수송기 등 각기 다른 분야의 대표적인 항공기 형태들을 고려해 보기만 해도 날개의 세장비, 동체의 모양, 꼬리 날개의 유형 등 매우 다양하다. 항공기 구조 설계과정 중, 해석적 설계과정은 기초가 되는 과정 중 하나이다. 이러한 항공기 구조해석을 위해 다양한 해석적 접근방법이 존재하고 그 중 3차원 해석은 높은 정확도를 확보할 수 있지만 계산 비용과 시간이 크게 증가하게 된다. 따라서 간단한 1차원 보나 2차원 평면 구조물로 등가 모델링하여 계산시간 및 비용을 줄여 그 효율성을 확보할 수 있다. 예를 들어 큰 세장비를 갖는 날개를 필요로 하는 무인정찰기의 경우 가느다란 동체와 함께 구조 동역학적으로 등가하고 단순화된 보 모델로 전환되어 해석이 수행된다. 세장비가 작은 꼬리 날개나 주 날개 안에 장착되는 스파(spar)나 립(rib)은 등가 보가 아닌 등가의 평면 구조물로 간단히 모델링되어 해석된다. 하지만 1차원 보와 2차원 평면의 두 가지 해석이 어떠한 형태의 구조물에 적합한 해석인지에 대한 정확한 수치적인 기준이 존재하지 않는다. 따라서 1차원 보 해석과 2차원 평면해석에 적합한 구조물을 분류할 수 있는 기준과 척도를 찾는 것이 필요하다.
본 논문은 특정 항공기가 가지고 있는 날개의 세장비 수치에 따라 1차원 보 해석과 2차원 평면해석 중에서 어떤 해석 도구가 더 정확한 해를 구현해 낼 수 있는 지에 대하여, 그 선택 방향을 제시하는데 중점적인 의의를 두고 있다. 따라서 같은 형상에 대하여 1차원 보 해석과 2차원 평면해석을 동시에 수행하여 구조물의 형상과 해석도구의 정확도를 분석하였다. 이를 통해 대상 구조물의 형상에 따라 어느 해석도구가 더 정확한 결과를 얻어낼 수 있는지 판별하였다.
2. 본 론
구조해석에 적용되는 일반적인 1차원 보 이론과 2차원 평면 응력의 이론을 소개하였다.
2.1 1차원 보 이론
1차원 보의 처짐(deflection)을 계산하기 위해서 단순 보 이론을 적용하였다. 단순 보 이론을 적용하기 위해서는 몇 가지 가정이 필요하다. 보의 좌표계가 Fig. 1과 같을 때 모든 z축 방향의 하중은 0이다.
σxz=σyz=σzz=0 (1)
또한 x축 방향의 응력이 지배적으로서 다음과 같은 관계식이 성립한다(Lagace, 2008).
σxx,σxy>>σyy (2)
또한 Euler-Bernoulli 보 이론을 적용시켜 변형이 일어날 때 단면은 축에 대하여 항상 수직을 유지한다고 가정하였다.
이 때 처짐(deflection)을 ω, 변형이 일어날 때 보의 곡률(curvature)을 κ, 굽힘 모멘트(bending moment)를 M, z축에 대한 단면의 관성 모멘트(moment of inertia)를 I, 탄성계수(modulus of elasticity)를 E라고 할 때 기구학 관계식(kinematic equation)은 식 (3)과 같고 구성 관계식(constitutive equation) 식 (4)와 같다.
(3)
M=EIκ (4)
식 (3), (4)를 이용하여 평형 관계식(equilibrium equation)을 구성하면 식 (5)와 같다.
(5)
이 때 논문에서 보의 경계 조건은 식 (6)과 같다.
ω(x=0)=0,ω'(x=0)=0 (6)
식 (5), (6)을 이용하여 보의 끝단에 하중 가 작용할 때 끝단에서의 처짐을 계산하면 식 (7)과 같다.
(7)
2.2 2차원 평면 이론
항공기 날개와 같이 두께가 얇은 구조물에 대해서는 2차원 평면응력(plane stress) 조건을 이용하여 구조해석을 수행할 수 있다. 두께가 얇은 구조를 평판이라고 하고, 이 구조물의 좌표축을 설정할 때 xy평면을 두께 중간에 위치시킨다. Fig. 2와 같이 xy평면에 수직한 방향을 횡(transverse)방향이라고 하고 xy평면에 평행한 방향을 면 내(in-plane)방향이라고 한다. 이 때 xy평면에 응력이 작용할 때 평면응력(plane stress)이라고 한다.
평면응력 상태를 만족하기 위해서는 몇 가지 가정이 필요하다. 모든 응력은 xy평면 방향으로 작용하고 xy평면에 대하여 대칭이어야 한다. 경계 조건 또한 xy평면에 대칭이어야 한다. 면내 방향의 변형과 응력은 z축 방향에 대해 일정하다. 마지막으로 z축 방향의 변형과 응력은 무시할 수 있다. 이 상태를 만족하기 위해서는 구조가 가장 작은 면내 방향의 길이에 비해 두께가 10%보다 더 작아야 한다(Felippa, 2004).
이 때 다음 식 (8)을 만족한다.
τxz=τyz=σz=0 (8)
Poisson 비(Poisson’s ratio)를 ν라고 할 때 변형률과 응력 관계는 식 (9)와 같다.
{σ}=[D]{ε} (9)
where 
식 (9)를 변형률에 대하여 적용하면 식 (10)과 같다.
(10)
이를 평형 방정식(equilibrium equation)에 적용하면 구조거동을 예측할 수 있다.
3. 해석 결과
EDISON 해석 프로그램을 이용한 1차원 보 모델 해석과 2차원 평면 모델해석을 일반적인 해석적 정밀해와 MSC NASTRAN을 이용하여 검증 및 3차원 해석과 비교하였다.
3.1 해석 프로그램 검증
본 논문의 연구 대상으로서, Fig. 1과 같은 외팔형의 직사각형 판재를 선택했으며 Table 1에는 재료의 물성치가 표기되어 있다. 외팔형 판재의 끝단의 yz평면에 일정하고 균일한 전단 힘을 가하는, 같은 경계조건 하에 판재의 길이(L)에 대한 구조해석 값을 비교하였다. 전단 힘의 방향은 음의 y축 방향이며, 단면에 힘을 가하였다. 하중은 실제 날개에서 일어나는 하중이 아니며 해석 결과를 비교하기 위한 하중이다. y축 방향의 높이(h)와 z축 방향의 두께(t)를 일정하게 유지한 채 x축 방향의 길이의 값을 변화시켜 여러 가지 길이 비율을 갖는 구조물에 대해 보 이론과 평면응력 조건을 각각 적용하여 구조해석을 수행하였다. EDISON 해석 프로그램들 중 한국과학기술원(KAIST)에서 개발한 CASAD Solver와 본 논문을 통하여 개발된 plane-stress Q4 elements 소프트웨어를 활용하여 각각 보와 평판 이론에 기반한 정적 구조해석을 하여 Fig. 1의 x축에서의 끝단의 y축 방향의 처짐값을 도출하였고, 이 결과 값들을 검증된 구조해석 상용 프로그램인 MSC NASTRAN을 이용하여 얻은 결과 값들과 비교하여 해석 프로그램을 재검증하였다. Fig. 2에서 높이(h)를 1m, 두께(t)를 0.05m으로 하여 단면적을 일정하게 하고 길이(L)를 1m부터 25m까지 변화시키는 해석조건을 설정하였다.
Table 1
Material Properties of the structural analysis
| Material | Aluminum 6061-T4 |
|---|---|
| Modulus of elasticity | 68.90(GPa) |
| Poisson’s ratio | 0.33 |
| Density | 2700(kg/m3) |
| Load | 200000(N) |
Table 2
1D beam analysis for verification
먼저, CASAD Solver의 1차원 보 해석을 검증하였다. 해석 결과는 앞서 제시한 이론에 근거한 해석적 정밀해와 비교하였다. Table 2는 1차원 보 해석 결과와 해석적 정밀 해 결과를 비교한 결과이다. CASAD Solver 1차원 보 해석 결과가 해석적 정밀해와 잘 일치하는 것을 확인하였다.
다음으로 본 논문에서 개발된 plane-stress Q4 elements 소프트웨어를 이용한 2차원 평면응력 모델 구조해석을 MSC NASTRAN 프로그램의 2차원 해석 결과와 비교 검증하였다. Table 3에 의하면 2차원 평면해석 또한 MSC NASTRAN의 2차원 해석요소 해석 결과와 상대오차가 0.118(%)~0.133 (%) 정도로 잘 일치하는 것을 확인하였다.
Table 3
2D plane analysis for verification
3.2 3차원 MSC NASTRAN 구조해석과 비교
Section 2.3에서 해석한 결과를 이용하여 1차원 구조해석과 2차원 구조해석을 3차원 구조해석과 비교하였다. 3차원 solid 요소를 사용한 해석 결과를 정밀해로 고려하였다. 3차원 구조해석에는 상용 해석프로그램인 MCS NASTRAN의 3차원 선형 정적 해석도구를 사용하였다.
Table 4
1-D beam analysis compared with 3-D structural analysis using MSC NASTRAN
Table 5
2-D plane analysis compared with 3-D structural analysis using MSC NASTRAN

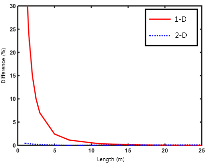
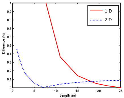
Figure 3
Difference between 1-D beam and 2-D plane analysis compared with 3-D structural analysis using MCS NASTRAN
Table 4에는 1차원 보 해석과 3차원 해석의 끝단에서 처짐 결과 비교를 나타내었다. 구조물의 길이가 2.5m 미만일 때에는 1차원 보 해석을 할 경우 10% 이상의 큰 오차가 발생하였고 그 이상으로 길이가 증가함에 따라 1차원 보 해석 값의 오차는 현저히 줄어들었다. 이는 1차원 해석의 경우 Euler-Bernoulli 보 이론을 적용하므로 전단 변형이 고려되지 않기 때문이다. Table 5에는 2차원 평면응력 해석과 3차원 해석의 끝단에서 처짐 결과 비교를 나타내었다. 2차원 평면 해석의 경우 전 영역의 길이(L)에서 모두 0.5% 미만의 작은 오차를 보였으며, 길이(L)가 7m일 때 오차의 절대값이 최저이다. 이는 모델의 두께(t)가 높이(h)의 10% 미만으로, 평면 구조물이라고 충분히 가정할 수 있기 때문에 이러한 결과가 도출되었다고 볼 수 있다. Fig. 3은 길이에 따른 3차원 해석 처짐 값에 대한 1차원 보와 2차원 평면해석 처짐 값의 오차의 절대값을 나타낸다. 실선은 1차원 보 해석이고 점선은 2차원 평면해석이다. Fig. 4는 Fig. 3의 그래프를 확대한 그래프이다. Fig. 3과 Fig. 4에 의하면, 길이(L)가 18m 이상일 경우, 연구 대상 모델의 1차원 보 해석 값이 2차원 평면해석 값보다 실제 해석 값에 가까운 결과를 보였다. 따라서, 아무리 얇은 판재라고 가정할 수 있는 모델이다 하더라도 길이 대 높이 비(L/h)가 18 이상일 경우에는, 1차원 보 해석이 2차원 평면해석보다 더 신뢰있는 구조해석 결과 값을 도출하는 것으로 판단된다.
3.3 기하학적 비선형 구조해석으로의 확장
앞 절에서 비교한 1차원 보, 2차원 평면, 3차원 구조해석은 모두 선형성을 가정한 구조해석 결과이다. 그런데 본 논문의 연구대상 구조 모델은 길이 대 높이 비(L/h)가 1부터 25까지의 범위를 가지고 있고, 높은 길이 대 높이 비를 가진 유연한 구조물에 대해서는 하중에 대한 구조 변형에 기하학적인 비선형성이 나타날 수 있다. 따라서 이번 절에서는 네 가지 길이 대 높이 비를 갖는 모델에 대하여 세 가지 하중을 적용하여 선형 구조해석한 결과를 비선형 구조해석 결과와 비교하였다. 높이 대 길이 비가 각각 3, 5, 11, 20인 이전 절과 같은 모델을 선택하였고, 3.2절의 결과에 근거하여 높이 대 길이 비(L/h)가 18 이하인 모델은 2차원 평면 해석, 18 이상인 모델은 1차원 보 해석을 적용하여 선형 구조해석을 수행하였다. 비선형 구조해석 도구는 MSC NASTRAN 프로그램으로, 3차원 비선형 정적 구조해석(solver 106)을 수행하였다. Table 6에 의하면, 전단 하중의 크기가 커질수록, 높이 대 길이 비(L/h)가 증가할수록 오차가 기하급수적으로 증가하는 경향을 보였다. 또한, 비선형 구조해석을 수행한 결과 Fig. 5와 같이 면 외 방향으로 구조 변형이 유발되는 현상이 나타났다. 이러한 면 외 굽힘 현상은 좌굴 현상으로 의심해 볼 수 있으며, 정확한 해석을 위해서는 MSC NASTRAN 프로그램의 비선형 정적 구조해석(sover 106)이 아닌, 좌굴 현상 해석(solver 105) 도구를 사용해야 한다.
Table 6
Results expressed in the tip deflection(×10-3m) of the linear and 3-D nonlinear static structural analysis
4. 결 론
본 논문에서는 구조해석에서 저차의 모델링에 대표적으로 많이 사용되는 1차원 보 해석과 2차원 평면해석을 고려하여 다양한 구조물의 기하학적 형상에 따라 나타나는 해석적 특성을 분석하였다. 동일한 해석 조건에서 1차원 보 해석과 2차원 평면해석을 수행하여 3차원 고체 요소를 적용한 구조 해석 값과 비교하였다. 이를 통해, 1차원 보 해석과 2차원 평면해석 중 어떤 해석도구가 실제와 유사한 값을 도출해 낼 수 있는지 판별하였다. 1차원 보 해석을 위해 CASAD Solver를 사용하고 2차원 평면해석 도구는 plane stress Q4 element 해석프로그램을 개발하여 활용하였다. 각각의 해석프로그램은 해석적 정밀해와 MSC NASTRAN을 사용하여 검증하였다. 그리고 사각단면을 갖는 구조물의 길이와 세로길이 비를 변경하여 해석조건을 설정하고 각각의 해석 프로그램으로 끝단 처짐 결과를 MSC NASTRAN 프로그램의 3차원 해석 값과 비교하였다. 구조물의 1차원 보 해석의 경우 길이(L)가 증가함에 따라 3차원 구조해석 결과 값과의 오차가 급격히 줄어들었고, 2차원 평면해석의 경우에는 길이(L)의 전 영역에서 3차원 구조해석 결과 값과 잘 일치하였다. 하지만 구조물의 높이에 대한 길이 비(L/h)가 대략 18이상일 때에는, 1차원 보 해석이 2차원 평면해석보다 정밀해와 작은 오차 값을 가지면서 조금 더 정확한 해를 도출하였다. 이 결과를 토대로 실제 연구에 적용하면, 사각 단면을 갖는 날개를 고려할 때, 세장비가 18 이상일 경우, 2차원 평면해석보다 1차원 보 해석을 적용하는 것이 정확한 해를 도출하는데 더 합리적이라고 판단할 수 있었다. 나아가 같은 구조해석 모델에 대해 비선형적 변형의 가능성 여부를 판단하기 위해 비선형 구조해석을 수행하였고, 선형 구조해석에서 볼 수 없었던 면 외 변형이 일어남을 확인하였다. 이 현상이 좌굴 현상인지 아닌지는 MSC NASTRAN 프로그램의 다른 솔버(Solver 105)를 선택하여 추가로 해석하고서 판단할 필요가 있다.
사용자는 더욱 정확한 구조해석 결과 값을 도출해 내기 위해서는, 본 논문에서 연구한 해석도구의 해석해 도출 정확도를 바탕으로 계산 용량을 함께 고려하여, 해석 모델 형상에 따라 적절한 해석도구를 선택해야 할 것이다. 선형 구조해석과 비선형 구조해석을 비교한 연구를 감안하면, 특정한 형상과 관련한 구조해석에서는 선형 구조해석이 물론 유효하지 않을 수 있다.









