1. 서 론
근자에 들어 빈번이 발생하고 있는 폭발사고와 더불어 폭탄 테러에 대한 위험으로부터 구조물의 안전성을 확보하기 위한 필요성이 증대됨에 따라 관련분야에 대한 다양한 연구가 활발히 이루어져 오고 있다. 구조물에 가해지는 폭발 및 충돌하중은 짧은 시간에 큰 하중이 가해지기 때문에 구조물에 큰 변형을 유발함은 물론 정적 하중이 작용하는 경우와는 다른 구조물의 동적 거동을 유발하게 된다. 따라서 구조물의 거동을 정확히 모사하기 위해서는 변형률의 크기에 따른 재료의 비선형성을 고려함은 물론 짧은 시간 동안 높은 변형률이 발생하는 고율변형(high strain rate)에 대한 영향을 고려할 필요가 있다. 그러나 대부분의 고율변형 연구가 강재를 포함한 금속재료를 기반으로 이루어진 반면 콘크리트를 포함한 취성재료에 대한 연구에는 상대적으로 부족한 측면이 있는 것 또한 사실이며, 근자에 들어 취성재료에 대한 연구가 점차 확대되고 있다(Lee et al., 2012). 콘크리트 구조물의 고율변형에 따른 거동을 예측하기 위해서는 고율변형 실험을 통해 얻은 콘크리트의 고율변형 물성들을 기반으로 고율변형모델을 확립하고 충격 및 폭발하중과 같은 고율변형 상태에 대한 수치해석이 진행되어야 한다. 이때 콘크리트 구조물의 비선형 거동은 구조물 내에 발생하는 미세균열(microcrack)에 의해 유발되는데, 발생하는 균열을 모사하기 위해 면내균열(smeared cracks) 모델을 사용하게 된다. 면내균열모델은 균열로 인해 발생하는 구조물의 강성저하를 사용하는 요소내의 강성을 감소시킴으로써 그 영향을 반영하기 위한 방법으로써 구조물 전체 비선형 거동을 모사하는데 널리 사용되고 있으나 사용하는 요소의 크기에 따라 그 결과가 각기 다르게 나타나는 단점을 가지고 있는 것 또한 사실이다. 이러한 특성은 정적인 거동에서 뿐만 아니라 고율변형 상태의 거동에 있어서도 동일하게 발생하고 있다(Georgin et al., 2003). 즉 고율변형을 동반한 콘크리트 구조물의 비선형 해석에 있어서도 요소(element)의 크기에 따라 같은 조건의 수치해석에 있어서도 그 결과가 큰 차이를 보이게 되고, 이로 인해 수치해석 결과의 신뢰성을 담보할 수 없게 된다. 특히 포탄 등에 의해 구조물에서 관통이 진행되는 경우 유발되는 콘크리트의 압축파괴에 있어서도 요소의 크기에 따른 수치해석의 차이가 현격히 나타나고 있음을 알 수 있다(MEN, et al., 2005). 그럼에도 불구하고 기존 연구들의 경우 연구자의 경험적인 선택에 의해 요소크기(element size)가 결정되고 있는 실정이다.
이를 해결하기 위해 이 논문에서는 요소의 크기에 따라 콘크리트의 압축측 응력-변형률 관계의 변형연화영역(strain softening region)을 결정하기 위한 기준식(criterion)을 콘크리트의 파괴에너지(fracture energy)관계식을 토대로 제안하고자 한다. 콘크리트는 인장거동과 마찬가지로 압축파괴가 진행되는 동안에도 미세균열(micro-cracks)의 발달로 인한 변형연화(strain softening) 거동을 동반하게 되는데, 이때 발생하는 압축 측 변형연화영역에 따른 파괴에너지를 토대로 요소크기에 따른 수치해석 결과의 변화를 최소화할 수 있는 기준식을 구성하였다. 제안된 기준식을 LS-DYNA를 이용한 콘크리트 관통수치해석에 적용하여 제안식이 요소크기에 대한 의존성 감소에 미치는 영향을 파악하였으며 관통실험결과(Hanchak et al., 1992)와의 직접적인 비교를 통해 제안된 기준식이 수치해석결과의 신뢰성 향상에 미치는 영향을 고찰하였다. 나아가 다양한 콘크리트 모델에 대한 적용을 통해 그 효율성을 검증하였다.
내진설계편은 최근개정에서 철근콘크리트 교각기둥을 하부구조로 하는 일반교량에 관한 새 규정 및 설계방식을 제시하였다. 새 규정으로는 철근콘크리트 교각기둥의 항복범위를 산정할 수 있는 규정과 연결부분의 설계지진력 결정에 관한 부분이다. 부록 I에 제시한 새로운 설계방식인 연성도 내진설계는 내진설계편에 제시된 응답수정계수(response modification factor : R)를 적용하는 기존 설계방식과 달리 설계자가 응답수정계수를 결정하여 적용할 수 있는 설계방식으로 교각기둥의 연성도를 조정(한정연성도)할 수 있는 설계방식이다(Lee et al., 2002). 철근콘크리트 교각기둥의 항복범위를 산정할 수 있는 규정(내진설계편 6.8.2.4 & 5)은 철근콘크리트 교각기둥 항복강도의 해석적/실험적 연구결과(Lee et al., 2005)로부터 제시한 초과강도overstrength) 결정조항으로 파괴메카니즘 검토에 반드시 필요하다. 연결부분의 설계지진력 결정에 대한 규정(내진설계편 6.4.7.1)은 초과강도 규정의 도입으로 산정 가능한 교각기둥의 휨초과강도로 구한 전단력을 검토하는 것을 제시하고 있다. 한정연성도에 관한 연구로는 주철근 겹침이음의 영향에 대한 연구(Kim et al., 2003; Chung et al., 2003)와 심부구속철근량에 관한 연구(Park et al., 2005; Sun et al., 2009) 등이 있다. 연성도와 관련된 최근의 연구로는 결합원형띠철근의 내진성능평가(Kim et al., 2011) 및 축방향철근 겹침이음길이에 의한 거동특성(Kim et al., 2012)이 있다. 결합원형띠철근의 내진성능평가 연구에서는 결합원형띠철근을 설계한 교각기둥의 경우 내진상세를 적용하면 충분한 변위연성도가 확보되는 반면 내진상세를 적용하지 않아도 다소의 변위연성도가 확보된다는 것을 제시하였으며 축방향철근 겹침이음길이의 연구에서는 겹침이음길이/기둥단면직경의 비에 의해 변위연성도가 달라지며 기둥단면직경이 작아지면 변위연성도가 증가한다는 것을 제시하고 있다.
일반교량의 붕괴방지설계를 수행하는 설계자는 기존 설계방식 또는 연성도 내진설계를 선택할 수 있으며 설계결과로 결정되는 기능수행수준(탄성거동 한계) 및 파괴메카니즘은 물론 다르다. 그러나 이러한 기능수행수준 또는 연성/취성 파괴메카니즘과 관계없이 내진설계의 목적인 낙교방지는 확보되어야 한다. 이 연구에서는 철근콘크리트 교각기둥을 하부구조로 하는 일반교량을 대상으로 기존 설계방식과 연성도 내진설계를 모두 적용한 설계결과로부터 두 설계방식의 차이점과 문제점을 도출하고 설계자가 내진설계를 수행하는 과정에서 고려해야 하는 설계절차를 제시하고자 한다.
2. 본 론
이 장에서는 요소의존성으로 인해 발생하는 고율변형수치해석 오차를 최소화하는 기준식을 제안하고 관통수치해석을 통해 제안된 기준식의 타당성 및 효율성을 검증하고자 한다.
2.1 재료성질
2.1.1 콘크리트
해석대상교량으로 선정한 일반교량은 Fig. 2에 제시한(a) 종단면도 및 교각위치에서의 (b) 횡단면도와 같다. 상부구조는 2연 강상자형이고 연결부분은 강재받침이며 하부구조는 T형 콘크리트 교각기둥(원형) 4기로 구성된 총연장 265m(50+3@55+50)의 5경간교이다. 강상자형의 내부 폭은 2.3m, 높이는 평균 2.8m의 변단면이고 사용강재는 SM490이며 콘크리트와 철근의 설계강도는 각각 27MPa, SD400(상판) 및 24MPa, SD300(하부구조)이다.
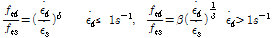
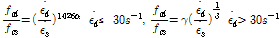
고변형률속도에서 콘크리트의 거동은 Fig. 1(a), (b) (Cusatis, 2011)에서 볼 수 있는 바와 같이 변형률이 증가함에 따라 압축 및 인장 강도, 임계변형률과 할선탄성계수와 같은 물성값(engineering material properties)이 증가하는 등 정적 상태와는 다른 거동을 나타내게 된다(Shkolnik, 2008). 그 이유는 첫째로 관성저항효과(Inertia resistance effect)를 들 수 있다(Georgin et al., 2008). 고변형률 속도에서 콘크리트는 정적인 상태와 비교하였을 때 하중으로 인한 변형발생시간이 상대적으로 짧게 소요된다. 따라서 고변형률 속도에서 콘크리트는 내부에 미세균열이 전파되고 생성될 시간 또한 상대적으로 짧아지기 때문에 정적 하중을 받는 콘크리트와 비교하였을 때 같은 하중상태에서 상대적으로 적은 미세균열이 콘크리트 내부에 존재하게 된다. 내부 미세균열의 감소는 하중방향으로의 적은 강성 감소를 의미하게 되므로 하중에 대한 저항력인 강성의 증가가 동반된다. 둘째는 측면구속관성효과(Lateral inertia confinement effect)를 들 수 있다(Georgin et al., 2003). 고변형률속도에서 콘크리트는 포아송비효과(Poisson’s ratio effect)로 인해 측면으로 팽창할 충분한 시간을 갖지 못하게 되는데, 이러한 측면 팽창의 감소는 마치 측면 구속압력과 같은 효과를 가져와 콘크리트 물성에 영향을 미치게 되고 콘크리트의 강도를 증가 시키게 된다. 나아가 이러한 콘크리트의 거동특성은 압축측은 물론 인장측에서도 동일한 형태로 나타난다. 따라서 이와 같은 두 가지 이유로 인해 콘크리트는 고변형률 속도에서 정적인 상태와는 다른 거동을 나타내게 되는데, 이를 묘사하기 위해 다양한 기준식이 제안되어 오고 있다. 그 가운데 이 논문에서는 수치해석 시 널리 사용되고 있는 CEB 규준(CEB, 1993)에서 제시하고 있는 콘크리트의 압축강도(Eq. (1)참조)와 인장강도(Eq. (2)참조) 제안식을 토대로 변형률속도에 따른 동적강도증가 효과를 반영하여 응력−변형률 관계를 정의하였다.
(1)
(2)
여기서,
는 동적압축강도(MPa)이고,
는 정적압축강도(MPa)를 나타내며
6.156
2,
(5+9
10)-1,
30×10-6/s를 각각 의미한다. 한편 인장강도의 경우는 압축 측에서 거동특성의 경계로 제시되었던 30/s의 시간축을 인장강도의 동적 특성에 맞게 1/s로 수정하여 제시한 Modified CEB code(Malvar et al., 1998)를 토대로 그 거동을 정의하였다. Eq. (2)의 관계식에서
는 동적인장강도(MPa)를
는 정적인장강도(MPa)값을 의미하며,
은 콘크리트의 초기 압축강도를 의미한다. 나아가 logβ=6δ-2, δ=(1+8
10)-1,
10-6/s를 각각 의미한다. 임계변형률을 포함한 그 밖의 물성값은 CEB 규준(CEB, 1993)을 통해 살펴볼 수 있으며, 이 관계식에서 볼 수 있는 바와 같이 두 강도사이의 비를 통해 변형률속도에 따른 강도 증가량이 산정된다.
2.1.2 강재
투사체와 하판 내에 위치하는 철근의 모델링에 사용되는 강재의 경우 경화특성을 갖는 균질재료로써, 그 성질이 잘 정의 되며, Fig. 2(Lim, 2013)에서 보는 바와 같이 콘크리트와 마찬가지로 변형률속도가 증가함에 따라 최대강도, 임계변형률, 항복응력 등의 값들이 증가하는 특성을 나타내게 된다(Lin et al., 2008). 특히 강재는 상대적으로 큰 열전도율로 인해 콘크리트와 달리 변형률속도 뿐만 아니라 온도에도 큰 영향을 받는 특성을 보이게 된다. 그러나 대상으로 하는 해석이 극히 짧은 시간에 이루어지는 것과 특히 철근콘크리트(RC) 구조물의 관통해석의 경우 하판 내에 위치하는 철근은 열전도율이 극히 작은 콘크리트에 둘러싸여 있는 관계로 온도에 의한 영향이 극히 적을 것으로 판단되어 온도에 대한 영향은 고려하지 않았다. 따라서 강재의 온도에 대한 영향보다는 변형률속도에 따른 강재의 응력-변형률관계를 정밀하게 묘사할 수 있는 Fig. 2의 Lim-Huh 제안식을 통해 강재를 정의하였다(Lim, 2005). Fig. 2의 관계식에서
와 재료상수
은
0.0746(
+0.00285)-0.662,
0.184(
+0.0015)0.0755의 관계식을 통해 산정되며,
은 준정적 변형률속도인 0.003/s의 값을 나타내며,
은 준정적 변형률속도시의 응력 상태를 각각 의미한다. 이 식에서 볼 수 있듯이 강재의 경우도
의 값을 통해 변형률 속도변화에 따른 강재의 강도증가를 정의할 수 있게 된다.
2.2 수치해석 오차 최소화를 위한 제안식
콘크리트는 내부의 미세균열 생성과 전파로 파괴되는 취성재료로써 Fig. 3(Vonk, 1993)에서 볼 수 있는 바와 같이 시편 또는 요소의 크기에 따라 내부 미세균열의 발생분포 형태가 다르게 나타나게 된다. 즉 시편의 크기가 작은 경우 미세균열은 시편 내에서 균일한 분포를 나타내는 반면 시편의 크기가 증가함에 따라 발생하는 미세균열은 시편의 특정 부분에 집중되는 현상을 나타내게 된다.
이러한 내부 미세균열의 형태 차이는 시편의 길이가 길어짐에 따라 전단력이 시편 전체에 균등하게 분포하지 못하기 때문이며, Fig. 4(Vonk, 1993)에 나타난 바와 같이 파괴강도의 차이는 물론 변형연화영역(strain softening region)에서의 현격한 차이를 유발하게 된다. 따라서 동일한 콘크리트라 할지라도 시편의 크기에 따라 다른 형태의 파괴거동을 보이게 되는데 이러한 시편의 크기에 따른 영향은 균열해석 시 발생하는 균열의 영향을 요소내의 평균 강성변화를 통해 표현하는 면내균열모델(smeared crack model)을 사용할 경우 유한요소해석 상의 요소(element) 크기에 대해서도 동일하게 나타나게 된다. 따라서 이러한 미세균열의 분포에 따른 특성을 고려하여 요소 크기에 따른 수치해석 결과의 차이를 최소화 할 수 있는 기준식을 제안하고자 한다.
먼저 콘크리트에서 정의되는 파괴에너지는 Fig. 5에 정의된 바와 같이 연속체파괴에너지(continuum damage energy)부분과 국부파괴에너지(local fracture energy) 부분으로 구분할 수 있는데 이때 연속체파괴에너지는 시편의 크기에 따라 변하는 변형률 경화 영역을 나타내고, 국부파괴에너지는 미세균열의 발달로 인해 파괴거동에 중요한 영향을 미치지만 시편의 크기에 상관없이 일정한 값을 갖는 변형률 연화 영역을 각각 나타내게 된다(Vonk, 1993). 따라서 시편의 크기와 무관하게 일정한 값을 갖는 변형률연화영역에 해당하는 국부파괴에너지(local fracture energy)를 토대로 다음의 잘 알려진 파괴에너지와 균열과의 관계식을 정의할 수 있다(Kwak et al., 1990).
(3)
여기서, 파괴에너지
는 단위면적 안에 단위길이의 균열을 발생시키는데 필요한 에너지로 정의된다. 나아가 균열길이와 변형률 사이에는
의 관계식을 도출할 수 있다(Kwak et al., 1990). 여기서,
는 요소의 폭을 나타내며 한 요소내의 미세균열이 균일하게 분포할 경우 요소의 균열 길이는
로 정의할 수 있다. 또한 Eq. (3)과 균열길이−변형률 관계를 토대로 응력−균열길이 관계에 따른 파괴에너지
와 응력-변형률관계의 변형률연화영역 면적에 해당하는
(Fig. 6참조) 사이의 관계를 정의할 수 있게 된다. 여기서, 사용된 함수
는 요소의 크기에 따른 미세균열의 분포 영향을 반영하는 함수로 길이(mm) 단위를 가지며 고려된 요소 너비(
)에 대한 영향뿐만 아니라 요소 높이(
)에 대한 영향도 동시에 고려하게 된다. 특히 국부파괴에너지(local fracture energy)계산 시 응력 변형률 곡선 아래의 면적
는 Fig. 6의 삼각형의 면적으로 근사화시킬 때
의 관계식은 아래의 식으로 표현할 수 있으며 이 관계식에서
와
는 파괴변형률과 임계변형률을 각각 의미한다.
(4)
요소의 크기에 따른 미세균열의 분포를 반영하는 함수
는 요소의 폭에 따른 영향을 반영한 함수
와 높이의 영향을 반영한 함수
의 조합
로 구성할 수 있는데 함수
는 Fig. 7과 같이 단위 높이와 길이
를 갖는 요소내부에서 요소길이에 따른 미세균열의 분포를 일반적인 지수 함수
로 가정하여 정의할 수 있다(Kwak et al., 1990). 즉 요소의 너비가
로 정의되는 임의의 한 요소 내에서 요소의 중앙 지점(
0)에서
(0)=1의 값과 요소의 끝단(
2)에서
2
의 일반화된 값을 갖는 미세균열의 분포를 정의함으로써 두 가지 경계조건을 이용하여 α=1과 β=-(2
의 값을 얻게 된다.
여기서,
는 균일한 미세균열의 분포를 가정할 수 있는 요소의 최대 폭을 의미하는 기준 값으로써 이 논문에서는 실험을 통해 결정된 6mm(Vonk, 1993)의 값을 사용하였고 는 재료의 파괴물성실험을 통해 산출되는 실험상수를 의미한다. 따라서 구해진 , 값과 함께 를 요소의 너비 에 대해 적분 하면 요소의 폭에 따른 정규화된 미세균열의 분포함수 를 Eq. (5)과 같이 나타낼 수 있게 된다. 산정된 는 요소내 균열의 분포 영향을 반영하는 무차원 함수로써 길이방향으로 요소의 크기가 6mm이하인 경우에는 미세균열이 요소내에 균일하게 분포하는 것으로 가정할 수 있으며, 1의 값을 갖게 되고 요소의 크기가 증가함에 따라 그 분포는 요소의 중앙부에 집중하는 것으로 표현할 수 있게 된다.
(5)
한편, 시편의 높이에 따른 비세균열의 분포함수
는 기존의 파괴변형률 실험결과를 토대로 산정할 수 있다. 먼저 Table 1의 대표적인 직육면체 콘크리트 시험체의 실험결과값(Van Mier, 1986; Vonk, 1993)에서 보는 바와 같이 시편의 폭이 상대적으로 크지 않을 경우 시편의 폭에 대한 영향을 거의 받지 않는 반면 작은 폭의 시편에 있어서도 높이에 따른 영향이 지배적으로 나타나는 것을 알 수 있다. 따라서 요소크기에 따른 미세균열 분포를 반영하는 함수
를 결정함에 있어 Table 1에 나타난 실험결과를 반영하기 위해
는 위 식에서 실험 시편의 제약으로 인해 유도된 관계식의
(50)을 기준으로 하였으며 이때
로부터 나타나는 높이에 대한 보정함수를
으로 표시할 수 있다. 나아가 이 관계식을 적용함에 있어 기준이 되는
는 일반적인 48Mpa 콘크리트의 압축 측 임계변형률 값(
=0.00135)을 사용하였고, 파괴에너지는 압축실험결과로부터 산정된
=8.5Nmm/mm2의 값을 사용하였다(Vonk, 1993). 나아가 실험결과가 시편의 폭에 따른 민감도가 없는 관계로 계산의 편의를 위해 함수
를 정의함에 있어 요구되는 재료상수 γ는 γ=1의 값을 기반으로 하였다. 따라서 실험을 통해 얻어진 Table 1의 시편의 높이에 따른 파괴변형률을 토대로 Eq. (4)를 정의함에 있어 요구되는 보정함수
와
사이 산점도를 얻을 수 있으며, 선형회귀분석을 통해
의 함수식을 Fig. 8의 관계식과 같이 결정할 수 있다. 나아가 결정된 식을
에 대입한 후 파괴변형률
에 대한 관계식으로 표현하면 Eq. (6)과 같다.
Table 1
Failure strains with respect to size of specimens
| Height of specimen | Width of specimen | Failure strain |
|---|---|---|
| 50(mm) | 50(mm) | 0.0103 |
| 50(mm) | 100(mm) | 0.01 |
| 100(mm) | 50(mm) | 0.0071 |
| 100(mm) | 100(mm) | 0.0069 |
| 200(mm) | 50(mm) | 0.0052 |
| 200(mm) | 100(mm) | 0.005 |
(6)
즉, 시편의 높이로부터 구해진 길이단위의 함수
와 요소의 너비로부터 구해진 무차원 함수식
를 조합하여 요소의 크기에 따라 압축응력−변형률 관계의 파괴변형률 값을 보정해 줌으로써 요소 크기에 따른 내부 변형률에너지를 보다 정확히 평가할 수 있음은 물론 요소크기에 따른 수치해석 오차를 최소화할 수 있게 된다.
2.3 수치해석 과정
본 연구에서는 기준식의 타당성 및 효율성을 검토하기 위해 관통수치해석에 관한 선행연구가 존재하는 Holmquist Johnson Cook(HJC; Holmquist, 1993)모델에 대해 LS- DYNA_971(Hallquist, 2007)을 이용한 관통수치해석을 진행하였다. 순간적인 변형에 따른 구조물의 동적거동을 해석하기 위해 외연적시간적분(explicit time integration)기법을 바탕으로 수치해석을 진행하였으며 충돌로 인한 파괴를 묘사하기 위해 면대면접촉알고리즘(surface to surface contact algorithm; Hallquist, 2007)을 채택하여 적용하였다. 수치해석상의 요소는 변형률로 인한 파괴조건을 적용하였으며 파괴변형률에 도달했을 때 단위 요소가 완전히 파괴되도록 하기 위해서 8절점 고체요소(constant stress solid element; Hallquist, 2007)를 사용하였다. 충돌하중의 경우 투사체에 관통진행방향으로의 초기속도를 주어 묘사하였으며 시간의 절약을 위해 구조물과 작용하중의 대칭성을 고려하여 1/2 모델링을 사용하였다.
2.4 수치해석을 통한 제안된 모델의 검증
제안된 기준식의 효율성 및 수치해석의 신뢰성 향상에 미치는 영향을 파악하기 위해 Hanchak의 관통 실험결과(Hanchak et al., 1992)와 본 연구의 수치해석결과를 비교하였다. 수치해석에 사용된 투사체 및 하판의 형상 및 치수는 다음의 Fig. 9, 10과 같다. 하판의 경우 실험에서 사용한 48Mpa의 강도를 갖는 일반적인 콘크리트 물성(Holmquist, 1993)으로 모델링하였으며, 투사체(포탄)의 경우 탄소성모델(plastic kinematic)을 기반으로 한 강재로 모델링하였다. 해석에 사용된 각 재료의 재료물성은 실험에서 산출된 Table 2의 값을 사용하였다. 이 논문의 수치해석에서 사용된 하판의 요소크기는 높이 1.78mm, 너비 6.1mm의 육면체로써 사용된 요소의 개수는 하판과 투사체에 대해 각각 500,000개와 2,262개에 달하며 실험을 통해 산출된 초기속도에 대한 잔류속도의 크기를 비교함으로써 제안된 관계식의 효율성을 검증하였다.
수치해석을 통해 산정된 해석결과는 다음의 Fig. 11과 같고 이 그림에서 점선은 콘크리트 파괴모델을 적용함에 있어 동일한 요소모델링 하에서 요소의 크기에 따른 파괴변형률을 보정하기 전의 수치해석 결과를 나타내며 실선은 이 논문에서 제안된 해석모델을 통해 사용한 요소의 크기에 따라 파괴변형률을 보정한 해석결과를 나타내고 있다. 특히 기존의 콘크리트 파괴 모델은 요소크기에 무관한 파괴변형률 값을 정의하고 있으며 그 값은 일반적으로
0.01의 값이 실험결과를 토대로 사용되고 있는 관계로(Holmquist, 1993; Polanco-Loria et al., 2008) 이 논문에서도 해석결과의 비교를 위해 각 파괴모델의 보정 전 파괴변형률의 경우 0.01의 값을 사용하였다. 수치해석결과에서 볼 수 있는 바와 같이 이 논문에서 제안한 기준식을 통해 파괴변형률을 보정해준 수치해석결과가 전체적으로 실험결과와 잘 일치하는 것은 물론 제안된 기준식이 기존 콘크리트 파괴모델을 사용하여 수치해석을 수행할 경우 해석결과의 개선을 위해 효과적으로 사용될 수 있을 것으로 판단된다.
Table 2
Material properties
| Material Properties | Projectile | Plate |
|---|---|---|
| Density (kg/m3) | 8300 | 2440 |
| Modulus of Elasticity (GPa) | 200 | 35.7 |
| Tangent Modulus (GPa) | 15 | - |
| Yield Stress (GPa) | 1.72 | - |
| Compressive Strength (MPa) | - | 48 |
| Failure Strain | - | 0.01 |
2.5 제안된 모델의 효율성
나아가 이 논문에서는 관통해석 시 요소의 크기에 따른 해석결과의 민감성을 살펴보기 위해 앞에서와 동일한 예제 구조물에 대해 요소크기에 따른 관통수치해석을 수행하였다. 해석은 포탄의 초기속도를 400m/s로 고정한 후 하판의 요소크기를 변화시키면서 관통 후 잔류속도를 측정하여 제안된 기준식이 고율변형 수치해석상의 요소의존성 감소에 미치는 영향을 파악하였다.
앞에서와 마찬가지로 Holmquist Johnson Cook(HJC) 모델을 사용하였으며 높이방향으로 3가지의 변화와 너비방향으로 6가지의 변화에 따른 총 18가지의 경우에 대해서 초기속도에 대한 잔류속도를 각각 측정하였다. 수치해석 결과는 파괴변형률을 보정하기 전과 후로 나누었으며 보정전 파괴변형률은 0.01로 일반적인 48MPa 콘크리트의 파괴변형률 값(Holmquist, 1993; Polanco-Loria et al., 2008)을 사용하였고 보정후 파괴변형률은 이 논문에서 제안한 기준식을 통해 산정된 값으로 Table 3과 같이 요소크기에 따라 산정된 값을 적용하였다. 하판의 높이방향을 5개의 요소로 분할한 경우를 Mesh A, 10개로 분할한 경우를 Mesh B, 25개로 분할한 경우를 Mesh C로 각각 명명하였다.
해석결과를 나타내는 Fig. 12에서 실선은
0.01의 콘크리트의 파괴변형률을 고정한 경우를 각각 의미하며 점선은 이 논문에서 제안한 관계식에 의해 파괴변형률을 보정한 경우를 의미한다. 이 결과들에서 볼 수 있듯이 기준식 적용을 통해 요소크기에 따른 잔류속도의 변화폭이 상당부분 감소하고 있다는 것을 알 수 있다. 이를 수치적으로 계산해 보면 기준식을 통해 파괴변형률을 보정한 결과 평균적인 잔류속도의 변화폭이 206m/s에서 117m/s로 감소하였다. 뿐만 아니라 기준식을 통해 잔류속도의 분포가 실험결과 값인 190m/s에 가깝게 분포되는 것을 파악할 수 있다. 이로부터 기준식을 적용해 줌으로써 요소의존성이 감소하고 수치해석결과의 신뢰성이 향상된다고 볼 수 있다. 그 외에 하판의 높이방향 요소의 크기를 더 작게 할수록 실험결과 값인 190m/s의 잔류속도 근처에서 수치해석결과가 수렴되는 특징을 파악할 수 있었다.
3. 결 론
Table 3
Failure strain calculated by a criterion
이 논문에서는 콘크리트의 압축 측 변형연화영역 파괴에너지를 토대로 요소크기에 따른 수치해석 결과의 변화를 최소화할 수 있는 기준식을 구성하였다. 제안된 기준식의 효율성 및 수치해석의 신뢰성 향상에 미치는 영향을 파악하기 위해 관통 수치해석을 진행하였고, 그 결과 제안한 기준식을 통해 파괴변형률을 보정해 준 수치해석결과가 전체적으로 실험결과와 잘 일치하는 것은 물론 요소크기에 따른 민감성 또한 크게 감소한다는 것을 파악할 수 있었다. 따라서 제안된 기준식이 기존 콘크리트 고율변형모델을 사용하여 충격 및 폭발 하중에 대한 수치해석을 수행할 경우 해석결과의 개선을 위해 효과적으로 사용될 수 있을 것으로 판단된다.













