1. 서 론
최근 유한요소해석 기법이 발전하고 컴퓨터 하드웨어 시스템이 급속히 발달함에 따라 철근콘크리트 구조물의 지진응답 계산 및 예측기술에도 큰 발전이 이루어졌다. 그러나 재료의 물성치, 재료 비선형성, 감쇠계수, 수치해석 방법 등에 따라 해석 결과에 큰 차이가 발생하는 것이 일반적인 현실이다. 따라서 실제 실험결과와 유사하게 구조물의 지진응답을 계산하기 위해 비선형 재료모델 개발(Kwak et al., 2000; 2003; Lee et al., 2007), 시공간의 멀티스케일 모델링(Chung et al., 2012), 시간적분 알고리즘의 개선(Yoon et al., 2012) 등 다양한 노력이 이루어지고 있다.
지난 10년간 서유럽의 여러 연구기관에서는 다양한 내진특성을 가진 철근콘크리트 구조물에 대한 내진성능을 테스트 하고 동해석의 정확도 및 신뢰도를 평가하는 연구를 진행해 왔다. CASSBA(Comportement et Analyse Sismique des Structures en Bêton Armê, 1992~1994) 벤치마크 프로그램에서 수행한 벽과 바닥판 철근콘크리트 구조물의 내진성능 실험(Bisch et al., 1994)이나 SAFE(Structure Armêes Faiblement Elancêes, 1997~1998) 프로그램의 단순콘크리트 벽에 대한 동적 실험(Kotronis et al., 1999) 등은 이러한 연구의 대표적인 사례라고 할 수 있다.
이러한 철근콘크리트 구조물의 지진거동을 실험결과와 유사하게 해석하기 위하여 SMART-2013(Seismic design and best-estimate Methods Assessment for Reinforced concrete buildings subjected to Torsion and non- linear effects) 프로젝트가 추진되었다(Richard et al., 2012; 2013). 이 프로젝트는 실험 연구에 이은 벤치마크 해석 프로그램으로 구성되어 있다. 실험 부분에서는 전형적인 원자력발전 설비 구조물의 절반부를 1/4로 축소하여 설계 및 시공하고 진동대 실험을 통해 지진하중에 대한 구조물의 저항력과 구조물 내부의 장비에 미치는 지진력의 영향을 평가한다. 벤치마크 해석 프로그램에서는 지진하중 하에서 구조물의 3차원 비선형 응답과 층별 응답스펙트럼을 계산하는 다양한 방법을 평가하고, 구조물 내부의 장비에 발생하는 지진하중을 산정하며, 참가자의 다양한 모델링 및 시뮬레이션 결과를 비교·평가한다.
이 논문에서는 SMART-2013 벤치마크 프로젝트의 비대칭 철근콘크리트 구조물에 대해 재료 비선형성과 3차원 비틀림 하중을 고려한 지진응답의 계산방법과 수치해석결과를 소개한다. 먼저 콘크리트와 철근의 비선형 재료모델을 구성하고 인장, 압축, 휨, 전단하중 등에 대한 응력-변형도 해석을 통해 비선형 재료모델의 성능을 평가한다. 그리고 3차원 철근콘크리트 구조물의 유한요소모델을 개발하고 모드해석, 선형 및 비선형 시간이력해석을 수행하여 지진하중에 대한 3차원 동적 거동을 계산한다.
2. 재료모델의 국부요소 테스트(local test)
SMART-2013 프로젝트에서는 콘크리트와 철근의 물성치를 Table 1과 같이 제시하고 있다. 프로젝트 참가자들은 이러한 재료의 물성치를 이용하여 재료의 비선형모델을 독립적으로 선정한다. 본 논문에서는 Table 1의 물성치를 기본으로 하여 콘크리트는 다중선형 등방성 변형경화 모델(multi- linear isotropic hardening model)을 사용하고 철근은 완전탄소성 모델(elastic-perfectly plastic model)을 사용하였다(Kachlakev et al., 2001). Fig. 1은 재료모델의 응력-변형률 곡선을 나타낸다.
Table 1
Material properties of concrete and steel
| Material properties | Concrete | Steel |
|---|---|---|
| Young’s modulus(MPa) | 32,000 | 210,000 |
| Poisson ratio | 0.2 | 0.3 |
| Compressive strength(MPa) | 30 | 500 |
| Tensile strength(MPa) | 2.4 | 500 |
| Density(kg/m3) | 2,300 | 7,800 |
선정한 비선형 재료모델의 역학적 거동을 검증하고 그 적합성을 확인하기 위해 대표부피요소(Representative Volume Element; 이하 RVE)에 대해 Table 2에 나타낸 6가지의 국부요소 테스트를 상용유한요소해석 프로그램인 ANSYS를 사용하여 수행하였다. 콘크리트의 RVE는 한 변이 1m인 정육면체이고 철근콘크리트 RVE는 Fig. 2와 같은 직육면체이다. 모든 RVE는 1개의 요소로 이루어지며 콘크리트는 ANSYS의 SOLID65(8절점 고체요소) 요소를 사용하였고 철근은 BEAM 188(2절점 보요소) 요소를 사용하였다.
국부요소테스트 C.1과 C.2에서 콘크리트 RVE의 이축(biaxial)압축 및 인장응답으로부터 항복면(yield surface)과 파괴면(failure surface)을 구한 결과를 Fig. 3(a)에 나타내었고, 철근콘크리트 RVE의 인장, 압축, 전단 및 휨에 대한 재료거동 특성을 평가하기 위하여 수행된 RC.1~RC.4의 결과를 Fig. 3(b)~3(e)에 나타내었다. RC.2와 RC.3의 경우 변형률이 초기변형률(=0.00028)을 초과하지 않아서 선형구간에서 반복 거동을 하였고, RC.1과 RC.4의 경우 변형률이 초기변형률을 초과하여 비선형거동을 보였다. Fig. 3(b)의 응력-변형률 해석결과로부터 RVE가 본 연구에서 사용한 콘크리트 재료모델의 응력-변형률 곡선을 반영하는 것을 확인할 수 있고, 철근의 효과로 인하여 최대압축응력이 증가한 것을 알 수 있다.
Table 2
Configuration of local tests
3. SMART-2013 철근콘크리트 구조물의 수치모델링
SMART-2013 벤치마크 테스트에서 실험대상으로 하는 철근콘크리트 구조물은 Fig. 4(a)와 같다. 이 구조물은 전형적인 원자력발전 설비구조물의 절반을 1/4규모로 제작한 3층 높이의 비대칭 구조물이다. 구조물의 높이는 3.65m이고 슬래브의 비대칭 단면은 Fig. 4(b)에서 보듯이 사다리꼴 모양으로서 윗변과 아랫변의 길이는 각각 1.05m, 2.55m이고, 높이는 3.10m이다. Table 1에 제시한 재료 물성치와 구조물의 제원을 이용하여 Fig. 4(c)와 같이 3차원 유한요소해석 모델을 생성하였다. 이 모델은 기초, 벽체, 슬래브, 보, 기둥, 철근, 진동대의 일곱 부분으로 구성된다. 기초, 벽체, 슬래브, 보, 기둥, 진동대는 SOLID65 요소로 모델링하였으며, 철근은 BEAM188요소로 모델링하였다. 콘크리트와 철근 요소는 절점을 공유하는 완전 부착상태로 설정하였다. Fig. 4(d)는 철근의 유한요소 모델을 나타낸다.
4. 모드해석
SMART-2013 철근콘크리트 구조물의 고유진동수와 모드형상을 결정하기 위하여 Block-Lanczos법에 기반한 모드해석을 수행하였다. 구조물의 질량(11.5ton), 슬래브 위의 추가질량(34.4ton), 진동대의 질량(25.0ton)을 고려하였으며, 경계조건으로서 진동대의 하중 재하 지점을 고정단으로 설정하였다.
구조물의 모드해석을 수행하여 얻은 초기 3개 모드의 고유진동수를 SMART-2013의 실험결과로부터 얻은 고유진동수와 비교하여 Table 3에 나타내었고 각 모드별 형상을 Fig. 5에 나타내었다. 모드해석결과 고유진동수는 실험결과로부터 얻은 진동수와 유사하였으며 모드형상은 모든 모드에서 비틀림을 동반하는 형태로 나타났다.
5. 시간이력해석
5.1 시간이력해석의 개요
본 논문의 철근콘크리트 구조물에 대하여 진동대의 액츄에이터(actuator) 위치에 변위의 시간이력으로 구성된 지진하중을 적용하여 구조물의 변위 및 가속도 응답과 응답 스펙트럼을 산출하였다. 액츄에이터는 Fig. 6과 같이 진동대의 측면과 밑면에 배치되어 있으며 수평방향 액츄에이터(X1, X4, Y2, Y3) 4개, 수직방향 액츄에이터(Z1, Z2, Z3, Z4)로 구성되어 있다. 이 8개의 액츄에이터에 변위제어 방식으로 지진하중의 시간이력을 입력하였다. 응답 계산 지점은 SMART-2013에서 계측장비를 설치한 지점과 같은 위치로서 Fig. 6에 표시된 각 층 슬래브의 A~E지점에서 변위 및 가속도 시간이력응답을 계산하였다.
5.2 감쇠행렬 결정
본 논문에서는 철근콘크리트 구조물의 동적 응답 감쇠효과를 반영하기 위해 다음과 같이 강성행렬(
)과 질량행렬(
)의 선형조합으로 표현되는 Rayleigh 감쇠를 사용하였다.
여기서, α와 β는 다음과 같이 임의의 두 개 모드의 고유진동수와 감쇠비를 이용한 연립방정식의 해로 나타내어 진다.
위 식에서
과
은 각각 n차 모드와 m차 모드의 진동수(rad/s)를 나타내고,
과
은 각 모드의 감쇠비를 나타낸다. Table 4에 나타낸 1차 모드와 2차 모드의 고유진동수 값들을 이용하여 식 (2)로부터 Rayleigh 감쇠 파라미터 α=-1.65, β=0.002를 계산하였고, 이를 ANSYS에 적용하여 감쇠효과를 반영하였다.
5.3 선형 시간이력해석
본 논문의 철근콘크리트 구조물에 대해 SMART-2013에서 제공한 저강도 지진하중을 사용하여 선형 시간이력해석을 수행하였다. 이 저강도 지진하중은 각 액츄에이터 위치에서 PGA(Peak Ground Acceleration)가 0.1g인 변위의 시간이력으로 구성되어 있다. Fig. 7은 이 지진하중의 변위 시간이력과 주파수 스펙트럼을 나타낸다.




Figure 7
Low-intensity seismic loads; displacement time histories( and ) and their frequency spectrum
진동대에 배치된 8개의 액츄에이터에 변위제어 방식을 통해 저강도 지진하중을 적용하여 시간이력해석을 수행한 결과, 각 층 슬래브의 A~E지점에서 x와 y축 방향에 대해 SMART-2013의 실험결과와 유사한 변위 및 가속도 응답을 얻을 수 있었다. Fig. 8~10은 각 층 슬래브 A지점에서의 변위와 가속도 응답을 나타낸다.
5.4 구조물의 준정적 테스트
요소 단위에서 비선형 거동이 확인된 콘크리트와 철근의 재료모델을 사용할 때 철근콘크리트 구조물 전체의 비선형 거동이 나타나는지 확인하기 위해 준정적 테스트를 수행하였다. 진동대의 하중 재하 지점을 고정단으로 설정하고 시간에 따라 단계적으로 증가하는 변위이력을 구조물의 3층 슬래브 옆면에 적용하였다. Fig. 11(a)는 준정적 테스트에 사용된 변위이력을 나타내고 Fig. 11(b)는 변위가 적용되는 위치를 나타낸다. 준정적 테스트 결과 Fig. 11(c)와 같은 하중-변위 이력을 얻을 수 있었는데, 하중 재하 방향으로 놓인 전단벽으로 인해 큰 연성도가 나타나지 않지만 구조물 전체의 비선형 거동을 확인할 수 있다.
5.5 비선형 시간이력해석
본 논문의 철근콘크리트 구조물에 대해 Northridge 지진 데이터를 적용하여 비선형 시간이력해석을 수행하였다. PGA가 1.78g인 Northridge 지진하중을 선형 시간이력해석과 마찬가지로 액츄에이터 위치에 변위의 시간이력으로 적용하였다. Fig. 12는 이 지진하중의 변위 시간이력과 주파수 스펙트럼을 나타낸다.
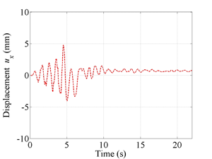
진동대에 배치된 8개의 액츄에이터 위치에 변위제어 방식을 통해 Northridge 지진하중을 적용하여 Fig. 13~15와 같이 각 층 슬래브의 A지점에서 x와 y축 방향의 변위 및 가속도 응답을 계산하였다. 해석결과, 각 층 슬래브 A지점에서 최대 5mm의 변위가 발생하였고 구조물의 손상으로 인해 잔류변형이 생기는 것을 확인할 수 있다. Fig. 16~18은 각 층 슬래브의 A~E지점에서 구조물의 1차 모드 고유진동수 변화에 따른 x와 y축 방향 층간상대변위의 절대최대값 스펙트럼을 나타낸다.
층간상대변위 스펙트럼으로부터 x방향 상대변위는 각 층의 D 지점에서 최대이고 y방향 상대변위는 각 층 C 지점에서 최대임을 확인할 수 있다. 그리고 진동수가 약 5Hz일 때 3층의 최대상대변위가 10mm를 초과하는 등 각 층별 상대변위 값이 가장 크게 나타났다. 이 철근콘크리트 구조물의 1차 모드 고유진동수인 6.51Hz에서는 층간상대변위 스펙트럼 값이 최대값의 약 50%에 달하여 10Hz이상의 고유진동수를 갖는 경우보다 상대적으로 큰 값을 가짐을 알 수 있다. 따라서 본 연구에 사용된 SMART-2013 철근콘크리트 구조물은 Northridge 지진에 대해 취약함을 간접적으로 평가할 수 있다.
6. 결 론
이 논문에서는 SMART-2013 국제 벤치마크 해석 프로그램의 3층 철근콘크리트 건물에 대한 비선형 유한요소해석 모델을 개발하고 국부요소 테스트, 모드해석, 실제 지진파에 대한 시간이력해석을 수행하였다. 콘크리트와 철근의 비선형 재료모델을 구성하고 인장, 압축, 휨, 전단하중 등에 대한 국부요소 테스트를 통해 해석 시 비선형 재료모델의 성능을 입증하였다. 구조물의 모드해석 결과, 초기 3개 모드의 고유진동수가 6.26Hz, 7.77Hz, 13.15Hz로 나타났으며 이 값들은 SMART-2013에서 제시한 고유진동수 실험결과와 유사하였다. PGA가 0.1g인 저강도 지진하중 데이터를 이용하여 선형 시간이력해석을 수행한 결과, 철근콘크리트 건물 각 층의 계측점에서 변위 및 가속도 시간이력이 SMART-2013의 실험결과와 유사하였다. 또한 Northridge 지진파를 이용하여 비선형 시간이력해석을 수행하였으며 그에 따른 변위와 가속도의 시간이력을 계산하였고 구조물의 1차 모드 고유진동수에 대한 최대 층간상대변위 스펙트럼을 구성하였다. 분석 결과 진동수가 약 5Hz일 때 3층에서 10mm를 초과하는 최대상대변위가 발생하였고 약 10Hz이상의 고유진동수에 대해서는 상대변위의 크기가 감소함을 알 수 있었다. 본 연구는 재료 비선형성을 고려한 3차원 철근콘크리트 구조물의 정밀지진해석에 대한 대표연구결과를 제시하는 의의가 있으며 이러한 연구결과는 철근콘크리트 구조물의 내진성능평가 및 지진손상평가에 유용하게 활용될 수 있을 것으로 기대된다.






































and
) and their frequency spectrum

















