1. 서 론
2. 에너지 저장 콘크리트의 미세구조 및 가상 시편 제작
2.1 에너지 저장 콘크리트 시편 제작
2.2 미세구조 관찰 및 3차원 미세구조 제작
3. 확률함수를 사용한 미세구조 특성 분석
3.1 미세구조 특성 분석을 위한 확률함수
3.2 에너지 저장 콘크리트의 미세구조 특성 분석
4. 에너지 저장 콘크리트의 열전도도 분석
4.1 Transient plane source 기법을 사용한 열전도도 측정
4.2 3차원 미세구조 시편을 활용한 열전도도 해석
4.3 실험 및 가상 해석 결과 비교 분석
5. 결 론
1. 서 론
최근 친환경 발전방식을 기반으로 하는 신재생 에너지에 관한 관심이 높아짐에 따라 에너지를 실시간으로 저장할 수 있는 새로운 형태의 경제적인 에너지 저장 장치(Energy Storage System, ESS)가 요구되고 있다. 태양광과 풍력 발전과 같은 대표적인 신재생 에너지 발전방식은 한정적인 시간 내 에너지 생산이 이루어지며, 생산된 에너지를 소비하기까지 여분의 에너지를 저장할 수 있는 저장장치를 요구한다. 다양한 에너지 발전방식에 따라 여러 가지 형태의 에너지 저장 장치가 연구되고 있으며(Kim and Kim, 2014; Lee et al., 2009), 본 연구에서는 열에너지 저장 장치(Thermal Energy Storage) 중에서도 콘크리트 블록을 에너지 저장 장치로 사용하는 에너지 저장 콘크리트(Concrete Thermal Energy Storage, CTES)를 대상으로 연구를 수행하였다(Yang et al., 2016). 에너지 저장 콘크리트는 기존에 사용하던 배터리와 같은 ESS보다 에너지 저장 밀도가 낮다는 단점을 지니고 있으나, 대용량의 에너지 저장이 가능하고 구동이 쉬우며, 비용이 매우 저렴하다는 장점이 있다. 이러한 장점 때문에 해외에서는 열-기반 발전소의 에너지 저장 장치로 CTES를 사용하고자 하는 연구가 수행되고 있다(Asadi et al., 2018; Lucio-Martin et al., 2021; Vigneshwaran et al., 2019).
CTES는 열에너지의 축열-방열 사이클을 효과적으로 수행하기 위해 높은 열전도도를 지닌 콘크리트로 제작되어야 한다. 본 연구에서는 그라파이트(graphite)를 사용하여 높은 열전도도를 지닌 콘크리트를 제작하였다. 그라파이트는 콘크리트의 열전도도를 높이기 위해 활용되는 혼화재로, 본 연구에서는 그라파이트에 의한 콘크리트의 열전도도 증가를 골재 영역을 제외한 시멘트 풀 영역을 마이크로 스케일 특성변화로 분석하였다. 그라파이트를 사용하여 콘크리트의 열전도도를 변화시키는 연구가 수행되었으나(Yang et al., 2016), 그라파이트 혼입량에 따른 열전도도의 변화를 확인하였을 뿐 열전도도 변화와 미세구조간 관계에 대해 연구되지 않았다. 콘크리트 내 시멘트 풀의 미세구조 분석은 다양한 연구에서 활용된 CT(computed tomography)를 사용하여 수행되었다(Kim and Han, 2016; Kim et al., 2021). 고해상도의 마이크로-CT 이미지로 얻어낸 미세구조 정보로부터 그라파이트가 시멘트 풀의 미세구조에 미치는 영향을 확인하였으며, 이미지처리 기법을 통해 3차원 미세구조를 재구성하여 이를 기반으로 열전도도 해석을 수행하였다. 열전도도의 해석 결과와 실제 실험을 통해 측정된 열전도도를 비교 분석하였으며, 이를 통해 그라파이트에 의한 에너지 저장 콘크리트의 열전도도 변화를 확인하였다.
2. 에너지 저장 콘크리트의 미세구조 및 가상 시편 제작
2.1 에너지 저장 콘크리트 시편 제작
그라파이트를 활용한 에너지 저장 콘크리트의 열전도도 특성을 확인하기 위해 Table 1에 제시한 배합설계를 토대로 공시체를 제작하였다. 물/바인더비(water/binder, W/B)는 36%를 유지하며 그라파이트를 보통 시멘트 질량의 10%, 15%씩 치환한 시편(G10, G15)과 보통 시멘트만 사용한 시편(ordinary portland cement, OPC)을 제작하였다. 배합에 사용된 그라파이트는 탄소 함량 96.3%, 회분(ash) 3.7%가 포함된 제품을 사용하였으며, 입자 크기는 90%가 13mm 이내이다. 콘크리트 타설 시 목표 슬럼프(150mm)를 만족하도록 하였으며, 같은 비율의 공기 연행제를 첨가하여 열 사이클 과정에서 콘크리트의 내구성 향상을 위해 공극 연결성을 향상시켰다. 시편 타설 후에는 수중에서 28일간 양생을 진행하였다. 제작된 시편을 마이크로-CT로 촬영하여 미세구조 분석을 진행하였으며 실험을 통해 열전도도의 특성을 파악하였다.
Table 1.
Mix design(W: Water, C: Cement, S: Fine aggregate, G: Graphite, PF: Polypropylene fiber)
| Sample |
W/B (%) | Amount of mixed materials | ||||||
| W(kg/m3) | C(kg/m3) | S(kg/m3) | G(kg/m3) | PF(%) | SP(%) | AE(%) | ||
| OPC | 36 | 288 | 800 | 1005 | 0 | 2 | 0.5 | 0.03 |
| G10 | 36 | 288 | 720 | 1005 | 80 | |||
| G15 | 36 | 288 | 680 | 1005 | 120 | |||
2.2 미세구조 관찰 및 3차원 미세구조 제작
Table 1의 배합비를 사용하여 제작한 OPC와 G10, G15 시편의 미세구조를 분석하기 위하여 포항 방사광 가속기 연구소(PAL, Fig. 1)에서 마이크로-CT 촬영을 수행하였다. 콘크리트 내 시멘트 풀 영역의 마이크로 스케일 공극 군집을 분석하기 위해 시편을 1mm 이하의 크기로 분쇄하였으며, 전압 25keV, 전류 250mA, 노출시간 150ms 조건으로 촬영하였다. 그리고 복셀(voxel) 사이즈가 0.33𝜇m인 마이크로-CT 이미지를 얻은 후 적절한 영역을 선정하여 3차원 미세구조를 제작하였다. 그라파이트 혼입에 따른 고체상의 미세구조 특성을 비교하기 위하여, X-선 에너지 수준과 성분의 구성 요소로부터 고유하게 결정되는 선형감쇠계수(linear attenuaton coefficient, LAC)의 히스토그램 분포를 비교하였다(Fig. 2). LAC 값은 마이크로-CT 이미지 회색조(grayscale) 값으로 치환되어 복셀마다 이미지 형식에 맞추어 저장되나, 시편 간의 자료 비교를 위하여 이미지마다 변화하는 회색조 값 대신 재료와 X-선 에너지 준위에 따라 절대적인 LAC 값으로(Kim et al., 2019b) 비교 분석을 실시하였다. OPC에 비해서 G10과 G15의 LAC 값이 작았으며, 이는 그라파이트의 밀도가 시멘트 풀의 밀도 보다 낮기 때문이다. 그라파이트 혼입에 따른 공극 분포를 비교하기 위하여 Kim 등(2019a)의 연구에서 제안한 CT 이미지 처리 방법으로 공극과 고체상을 분리하였다. 각 시편 별 공극 분포는 Fig. 3에 나타내었으며, 각 시편 별 공극률을 Table 2에 나타내었다. OPC의 공극률이 가장 낮게 나타났으며, 그라파이트가 혼입됨에 따라 공극률이 점차 증가하는 경향을 확인하였다.
3. 확률함수를 사용한 미세구조 특성 분석
3.1 미세구조 특성 분석을 위한 확률함수
본 연구에서는 마이크로-CT를 통해 촬영된 에너지 저장 콘크리트의 3차원 미세구조 특성을 분석하기 위해 확률함수를 사용하였다. 총 세 종류의 확률함수를 사용하였으며, 사용된 확률함수는 복잡한 형상을 지닌 불균질 미세구조를 분석하기 위해 다양한 연구에서 활용되어 왔다(Torquato and Haslach, 2002). 사용된 세 종류의 확률함수는 미세구조를 이루는 상의 분포로부터 서로 다른 특성을 정량화하여 나타낸다. 미세구조의 특성을 나타내는 확률함수와 열전도도 분석 결과를 비교하여 미세구조의 특성과 에너지 저장 콘크리트의 열전도도 간의 상관관계를 확인하였다.
에너지 저장 콘크리트 내부의 미세구조를 이루는 공극과 고체상이 얼마나 군집을 이루고 있는지 분석하기 위해 two-point correlation function, 을 사용하였다. 은 거리 만큼 떨어진 두 점이 영역 내의 임의의 지점에 위치할 때, 두 점이 각각 상 와 상 에 위치할 확률을 로 나타낸다. 예를 들어 Fig. 4에서 cases 1과 3은 두 점이 모두 공극(pore) 내부에 위치하므로 에 해당하는 경우이며, case 2는 두 점이 모두 고체(solid) 내부에 위치하기 때문에 에 해당한다. 이처럼 영역 내 임의의 두 점이 위치한 상의 정보를 통해서 미세구조를 이루는 군집의 정도를 수치화시켜서 나타낼 수 있다.
에너지 저장 콘크리트 내 군집이 얼마나 연속적으로 분포하는지 분석하기 위해 확률함수 중 lineal-path function, 을 사용하였다. 은 미세구조의 상의 연속성을 분석하기 위해 길이 을 지닌 선분을 영역에 임의로 위치시키고, 선분 전체가 상 에 포함되어 있을 확률을 로 나타낸다. Fig. 4의 case 2는 선분 전체가 고체상에 포함되어 있으므로 에 해당하며, 나머지 cases 1과 3은 선분이 공극과 고체상에 걸쳐서 위치하기 때문에 고체상의 에 해당하지 않는다. 선분 전체가 하나의 상 내부에 위치하기 위해서는 군집이 연속적으로 분포해야 하므로 을 통해 군집의 연속성을 평가할 수 있다.
마지막으로 에너지 저장 콘크리트의 미세구조 군집의 연결성을 확인하기 위해 two-point cluster function, 을 사용하였다. 은 과 마찬가지로 거리 만큼 떨어진 두 점이 위치한 상에 따라서 값이 결정되는 함수이나, 과 다르게 두 점이 위치한 상이 하나의 군집인 경우에만 에 해당한다. Fig. 4에서 cases 1과 3 모두 에 해당하는 경우이나, case 3은 두 점이 모두 공극 상에 위치하지만 두 점이 위치한 군집이 서로 다른 군집이기 때문에 에는 해당하지 않는다.
본 연구에서는 앞서 설명한 세 종류의 확률함수를 통해 마이크로-CT로부터 얻은 에너지 저장 콘크리트의 3차원 미세구조를 x, y, 및 z 축 방향에 따라서 분석하였다. 미세구조의 특성을 기반으로 공극 상의 군집 패턴에 따라서 에너지 저장 콘크리트의 열전도도에 미치는 영향을 확인하였다.
3.2 에너지 저장 콘크리트의 미세구조 특성 분석
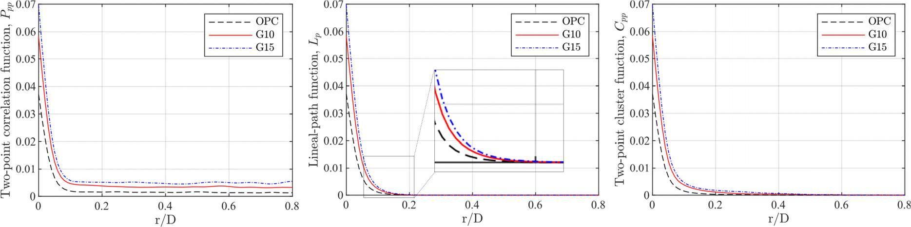
시멘트 풀 미세구조의 특성은 기본적으로 공극률에 큰 영향을 받는다. 공극률이 차이나는 경우 미세구조 특성을 나타내는 확률함수에서 명확하게 그 차이가 확인된다. OPC와 G10, G15에서 각각 3개의 가상 시편의 확률함수를 3개의 축으로 확인하여 그 평균을 Fig. 5에 나타내었다. 여기서, 는 미세구조 영역의 크기를 나타내기 때문에 는 확률함수의 두 점 사이의 거리, 과 영역 크기, 사이의 비율을 나타낸다. 가 0.8보다 큰 구간에서는 미세구조의 특성을 확인하기에 충분한 양의 데이터를 확보할 수 없으므로 나타내지 않았다.
시편 종류별 공극률(OPC=3.71%, G10=5.83%, G15=6.96%)에 따라 각 시편의 확률함수가 순서대로 나타난다. 세 종류의 확률함수 모두 =0인 경우 공극률과 동일한 값을 지니기 때문에 공극률에 의한 영향을 크게 받는 것을 확인할 수 있으며, 그중에서도 가 가장 큰 영향을 크게 받는다. 반면에 과 에서는 공극률에 의한 확률함수의 차이뿐 아니라 다른 미세구조 특성을 확인할 수 있다. 는 세종류의 시편 모두 =0.2 부근에서 =0으로 수렴하는데, 이는 세 종류의 시편이 모두 연속한 공극 군집의 크기가 유사하다는 것을 의미한다. 추가로, 의 경우 >0.1 구간에서 OPC보다 G10와 G15 시편이 상대적으로 큰 값을 보여 그라파이트의 혼입이 군집 간의 상 연결성에 미치는 영향이 크다는 것을 확인하였다.
미세구조 특성의 차이는 공극률이 같은 경우에도 발생하며, 이를 확인하기 위해 단일 시편의 X축과 Y축 방향에서 얻어진 확률함수 결과를 Fig. 6에 나타내었다. 이 결과는 그라파이트가 혼입된 G15 시편 중 축 방향에 따른 확률함수의 편차가 가장 크게 나타난 시편으로부터 얻었다. Fig. 6의 는 세 개의 시편의 평균 를 나타낸 Fig. 5보다 값이 크게 변동하는 형상이 확인되며 가 0.2 부근에서는 X축 방향의 값이 증가하고, 0.7 부근에서는 Y축 방향의 값이 증가한다. 그에 비해 는 축 방향에 따라서 차이가 확인되지 않으며, 는 에 비해 상대적으로 증가폭이 적지만, 0.2 부근에서 X축 방향의 값이 증가하는 양상을 보인다. 이를 통해 대상 시편의 미세구조에서 X축 방향의 공극이 Y축 방향에 비해 상대적으로 더 공극 군집 간 연결성이 높다는 것을 확인할 수 있다. 확률함수를 사용한 미세구조 분석 결과를 기반으로 미세구조의 특성이 열전도도에 미치는 영향을 확인하기 위해 실제 실험과 3차원 미세구조를 사용한 열전도도 해석을 수행하였다.
4. 에너지 저장 콘크리트의 열전도도 분석
4.1 Transient plane source 기법을 사용한 열전도도 측정
미세구조 분석을 통해 확인한 특성이 열전도도에 어떤 영향을 미치는지 확인하기 위해 열전도도 측정 실험을 진행하였다. 시편은 2.1절에 제시한 배합비로 제작한 콘크리트를 가공하였으며 실험에 사용되는 열전도율 측정 센서의 규격에 따른 최소크기(100mm×100mm×3mm)를 만족하도록 가공되었다. 그리고 비교 분석을 위해 일반 콘크리트와 그라파이트가 10%, 15% 치환된 콘크리트 시편을 이용하였다. 측정에는 transient plane source(TPS) 기법을 활용하였으며 ISO 규정(ISO 22007-2, 2008)을 준수하여 실험이 진행되었다. TPS 기법은 열전도도의 측정 범위가 넓으며 측정방법이 간편하다. 또한, 측정시간이 짧고 높은 정밀도(± 2~5%)를 나타내므로 TPS 기법을 활용하였으며 실험 방법은 도식화하여 Fig. 7에 나타내었다. 실험은 1회당 2개의 시편을 이용하여 열전도도를 측정하므로 시편 종류별로 10개씩 준비하여 5회 진행하였고, 시편에 온도를 전달시켜 일정거리에 떨어져있는 센서를 통해 열전도도를 측정하였다. 각 실험 결과값의 평균을 구하여 비교 분석하였다. 열전도도 측정 실험의 결과는 Table 3과 같다.
4.2 3차원 미세구조 시편을 활용한 열전도도 해석
본 연구에서는 미세구조의 특성이 열전도도에 미치는 영향을 확인하기 위해 3차원 가상 시편을 사용하여 열해석을 수행하였다. 열해석은 유한요소해석 프로그램 FEAP(Taylor, 2013)을 사용하여 수행되었으며, 열평판법(guarded hot plate method) 실험과 동일한 경계조건을 3차원 가상 시편에 적용하였다. 해석에서는 열에너지의 이동이 미세구조의 고체상의 열전도 현상에 의해서만 발생되는 것으로 가정하였다. 공극에의한 열에너지 이동은 고체상과 비교하면 상대적으로 영향이 적기 때문에 고려되지 않았으며, 해석에는 미세구조의 공극을 제외한 고체상만이 8-절점 요소로 모델링되었다. OPC, G10, G15 시편의 고체상의 열전도도는 공극률 및 미세구조에 의한 영향을 확인하기 위해 모두 1.8W/mK로 가정하였다(Chung et al., 2016). 해석에 사용된 경계조건은 Fig. 8에 나타내었다. 가상 시편의 양 끝단을 저온부(22°C)와 고온부(60°C)로 구분하여 온도 조건을 적용하고, 측면부에서 시편 외부로 열손실이 발생하지 않도록 경계조건을 적용하여 해석을 수행하였다.
세 종류의 시편(OPC, G10, G15)에 대한 해석 결과를 Fig. 9에 온도의 등가곡면(isosurface)의 형태로 나타내었다. Fig. 10은 가상 시편 모델의 고온부와 저온부 사이의 열에너지 이동이 정상상태(steady state)일 때 온도 분포를 나타낸 것이다. 공극에 의한 온도 분포 변화를 확인하기 위해 공극을 해석 결과와 함께 나타내었으며, 미세구조 내 공극이 많이 분포한 영역에서 더 큰 온도의 변동이 확인된다.
각 미세구조 시편의 열전도도를 분석하기 위해 가상 시편 내 열유속(heat flux), 를 확인하고 다음 식 (1)을 통해 미세구조의 열전도도()를 계산하였다:
여기서, 는 열유속(heat flux), 는 저온부와 고온부 온도, 그리고 은 저온부와 고온부 사이의 거리이다. 열해석으로 얻은 열유속을 식 (1)에 대입하여 열전도도를 계산한 결과가 Tables 4, 5와 같다. Table 4는 Fig. 6에서 x, y축에 따라 미세구조의 특성을 확률함수로 나타낸 G15 미세구조의 x, y축 방향 열전도도 해석 결과이고, Table 5는 OPC, G10, G15 시편을 각각 3개씩 사용하여 각 시편의 x, y, z축 각 방향으로 열해석을 수행한 결과이다.
Table 4.
Thermal conductivity of G15 sample
| Sample |
Porosity (%) | Thermal conductivity(W/mK) | |
| X-direction | Y-direction | ||
| G15 | 6.89 | 1.61 | 1.56 |
Table 5.
Thermal conductivity obtained by experiment and simulation
| Specimens |
Porosity (%) | Thermal conductivity(W/mK) | |
| Simulation* | Experiment | ||
| OPC | 3.71 | 1.70 | 1.36 |
| G10 | 5.83 | 1.64 | 2.32 |
| G15 | 6.96 | 1.60 | 2.54 |
4.3 실험 및 가상 해석 결과 비교 분석
모든 해석에는 고체상의 열전도도가 동일한 값(1.8W/mK)이 적용되었기 때문에 해석 결과는 공극률이 높을수록 미세구조의 열전도도가 낮게 확인되었다. 반면, Table 4에 나타낸 결과를 보면 공극률 외에도 미세구조의 상 분포 특성이 열전도도에 영향을 미치는 것을 확인할 수 있다. Fig. 6에서 두 확률함수 와 를 통해 G15 시편의 x축 방향에 따른 공극 상의 군집성 및 군집간 연결성이 y축 방향에 비해 크다는 것을 확인하였으며, 그 차이가 해석으로 얻은 열전도도에서 나타난다. G15 시편의 x축 방향의 열전도도(1.61W/mK)가 y축 방향의 열전도도(1.56W/mK)에 비해 크다. 즉, 공극률이 동일한 상황에서 공극 상의 군집성이 크고, 군집이 서로 잘 연결되어 있을수록 열전도도가 높아진다는 것을 의미한다.
공극률이 증가함에 따라 열전도도가 작아지는 Table 5의 해석 결과는 실제 실험 결과와는 반대된다. 실험에서는 그라파이트를 첨가할수록 열전도도가 급격하게 증가하는 현상을 보였으며, 이는 그라파이트 재료가 지닌 높은 열전도 성능이 해석에 반영되지 않았기 때문이다. 그러므로 공극률에 의한 영향이 고려된 해석 결과와 실험 결과를 기반으로 두 결과가 동일한 값이 나오도록 하는 고체상에 적용할 열전도도를 역으로 유추할 수 있으며, 그 결과를 Fig. 11에 나타내었다. 분석 결과를 통해 그라파이트 사용 여부가 열전도도 향상에 미치는 영향이 크다는 것과 G10 시편에 비해 G15 시편의 열전도도 증가폭이 줄어든 것을 확인하였다. 고체상과 가상 시편의 열전도도 차이가 그라파이트 양에 따라 점차 증가하는데, 이는 그라파이트 양이 증가함에 따라 미세구조의 공극률이 증가하여 나타나는 현상으로 판단된다.
5. 결 론
본 연구에서는 열에너지 저장 장치로 사용되는 콘크리트의 열전도도를 마이크로 스케일에서 분석하였다. 그라파이트를 혼입하여 에너지 저장 콘크리트의 시편을 제작하고, 마이크로-CT를 통해 시편의 미세구조를 확인하였다. CT 이미지 분석 결과 전체 시멘트 질량 중 그라파이트의 함유량이 증가할수록 선형감쇠계수(LAC) 분포의 최대 빈도를 가지는 LAC 값이 일반 콘크리트에 비해 낮은 값을 나타내는 것이 확인되었다. 또한, 그라파이트의 함유량이 많아짐에 따라 시편의 공극률이 증가하는 경향을 보였다. 이를 바탕으로, 미세구조의 특성을 분석하기 위해 세 종류의 확률함수, two-point correlation function, linear-path function, two-point cluster function을 사용하였으며, 그라파이트의 혼입에 따른 공극 군집의 비율 및 크기 차이와 공극 군집 간 연결성 변화를 확인하였다.
에너지 저장 콘크리트 시편을 사용하여 transient plane source 기법을 활용한 열전도도 측정 실험을 수행하였으며, 이를 통해 그라파이트를 사용한 시편이 일반 콘크리트보다 열전도도가 약 40% 향상된 것을 확인하였다. 미세구조 분석 결과와 열전도도 간의 상관관계를 확인하기 위해 CT 이미지를 기반으로 제작된 3차원 가상 시편을 활용한 열해석을 수행하였으며, 이를 실험결과와 비교하였다. 열전도도는 1차적으로 공극률에 큰 영향을 받아서 결정되나, 확률함수를 통해 분석한 미세구조의 특성이 열전도도에 영향을 미치는 것을 확인하였다.
열전도도 해석 결과가 실제 실험결과와 동일한 값을 나타내도록 시멘트 풀 미세구조의 고체상에 적용할 열전도도를 역으로 결정하였으며, 이를 통해 그라파이트에 의한시멘트 풀 고체상의 열전도도 향상을 확인하였다. 그러나 그라파이트 혼입은 에너지 저장 콘크리트의 공극비를 증가시키는 단점을 지닌다. 그라파이트 혼입량 증가와 열전도도 상승이 동일한 비율로 나타나지 않음을 본 논문을 통해 확인하였으며, 적절한 그라파이트 치환율을 결정하는 것이 효율적인 에너지 저장 콘크리트 제작에 주요한 요인임을 확인하였다.













