1. 서 론
대형 화재발생 시 원전구조물과 같은 중요 사회기반구조물의 건전성 유지 여부가 최근 세계적으로 큰 관심을 불러일으키고 있으며, 화재에 노출된 구조물의 거동에 대한 면밀한 분석은 생애주기를 고려한 구조물의 설계를 위해서도 매우 중요하다. 특히 원전 격납건물의 경우 화재로 인한 기계 및 제어계통의 손상이 발전 시스템 전체의 안전에 큰 영향을 미치므로 각 계통 별 격실 구조의 내화 및 방화 성능이 매우 중요하다. 최근 미국과 유럽에서는 원전구조물과 같은 중요 사회기반구조물에 대해 가연물의 종류와 양, 화재실 규모, 화재하중 등을 종합적 으로 고려해 구조물의 내화성능 시간을 설정하고 이에 적합한 부재를 선택하는 성능적 내화설계법을 적용하고 있다(Chung et al., 2010). 하지만 국내의 경우 구조물의 화재영향 평가를 체계적으로 수행하기보다는 구조물의 용도, 규모, 중요도 등에 따라 방화구역의 내화성능 시간을 설정하고 이를 부재에 적용 하는 관념적인 내화규정을 채택하고 있다. 이러한 방법으로는 원전구조물을 비롯한 사회기반구조물에 대형 화재가 발생할 경우 화재에 대한 대응전략을 수립하기 어렵고 구조물의 건전성 유지 여부를 확인하기 쉽지 않다. 따라서 화재 시 구조물의 형태와 특성, 화재의 규모, 구조 재료의 특성 등을 고려한 종합적인 구조거동 평가기법이 필요하다. 화재로 인한 구조물의 변형 및 손상을 실물 크기의 실험으로 평가하는 것은 현실적으로 쉽지 않다. 그러나 최근 컴퓨터 하드웨어와 전산 역학 기술의 비약적인 발전으로 인해 실제 상황과 유사하게 화재 유동을 계산하고 고온 조건에서 비교적 정확히 구조 거동을 예측하는 것이 가능해졌다. 따라서 구조 화재실험에 소요되는 비용을 절감하면서 다양한 구조 및 화재 조건에 대한 구조물의 내화성능을 평가하기 위해 전산해석 기법을 이용하는 것이 효과적이라고 할 수 있다.
이 논문에서는 화재 유동해석과 비선형 열응력해석을 통해 화재에 노출된 구조물의 거동을 평가하는 통합 프레임워크를 제안하였다. 이 절차를 대표체적(representative volume, RV)에 적용해 다양한 화재 조건에서 구조물의 비선형 거동을 보임으로써 제시한 통합 프레임워크의 타당성을 검증하였다.
2. 화재에 노출된 구조물의 비선형 구조해석 프레임워크
2.1 통합 프레임워크
실제 상황과 유사하게 화재에 대한 구조거동을 평가하기 위해서는 화원으로부터 구조물까지의 화재 유동해석, 구조물 내부로의 열전달해석, 구조물 내부의 온도 변화를 반영하는 구조해석이 함께 수행되어야 한다. 일반적으로 이러한 각각의 해석들은 상호간의 결과에 영향을 미치게 된다. 따라서 이전의 해석결과를 다음 해석과 연결하는 일련의 통합절차가 필요하다.
화재에 노출된 구조물의 거동 평가를 위해 Choi(2008)는 화재 유동해석 결과로 얻어지는 구조물 표면에서의 시간에 따른 온도 분포를 시공간에 대해 근사시켜 구조해석을 수행 하였다. I. Paya-Zaforteza 등(2014)은 화재 유동해석 결과를 직접 열응력해석에 적용하지 않고 Ulf Wickström 등(2004)이 제안한 단열표면온도(adiabatic surface temperature)라는 개념으로 바꾸어 적용하였다.
이 연구에서는 화재 유동해석으로부터 구한 구조물 표면 에서의 온도 시간이력을 시간에 대한 다항함수로 근사시켜 화재 후 뿐만 아니라 화재 중에도 구조물의 거동을 예측할 수 있는 해석절차를 제안하였다. Fig. 1은 화재 유동해석, 열전달, 열응력해석의 통합 프레임워크를 나타낸다. 먼저, 화원과 구조물의 기하형상을 생성하고 화원으로부터 구조물까지의 유동장 내에서 화재로 인한 유동장의 변화를 계산한다. 이 결과를 토대로 구조물 표면온도의 시간이력을 다항함수 형태로 표현하고 이를 경계조건으로 하여 3차원 유한요소해석을 수행 한다. 3차원 유한요소해석은 해석의 매 시간단계마다 열전달 해석과 구조해석으로 이루어지며, 이로부터 화재에 노출된 구조물의 동적 거동을 점진적으로 계산할 수 있다.
2.2 화원 모델링
실제 화재와 유사한 조건에서의 구조해석을 위해서는 먼저 화원을 적절히 모델링해야 한다. 이와 관련해 ISO 834, JIS(japanese industrial standard) A 1304, ASTM E119, KS F 2257과 같은 여러 기준들에서 표준 가열곡선을 제시하고 있다. 표준 가열곡선을 화원으로 사용할 경우에는 구조물의 표면온도가 위치에 관계없이 일정하다고 가정하게 된다. 그러나 대형 구조물의 경우 화재 시 공간에 대한 온도의 편차가 매우 크기 때문에 이러한 가정은 실제 화재 조건을 반영한다고 보기 어렵다. 따라서 이 연구에서와 같이 실제 화재와 유사한 조건에서 구조물의 거동을 평가하고자 할 경우에는 실제 화재의 조건을 최대한 반영할 수 있는 화원의 모델링이 필요하다.
일반적으로 화원을 모델링할 때는 시간에 따른 단위면적당 열방출율(heat release rate per unit area, HRRPUA) 곡선이 널리 사용된다. HRRPUA 곡선은 화재를 시간에 따라 성장, 지속, 소화 단계로 나누고 각 단계에서 화재의 특성에 맞게 단위면적당 열방출율을 결정해 얻을 수 있다.
특히 화재의 성장단계에서는 식 (1)과 같이 단위면적당 열방출율을 시간에 대한 2차함수의 형태로 표현할 수 있다. 이때 α는 화재 성장계수(kW/s2)로서 화재의 성장 속도에 따라 결정되는 상수이며 t는 시간을 의미한다.
2.3 화재 유동해석
화재 유동해석은 화재로 인해 발생하는 복잡한 유동현상을 모델링하고 유동장 내의 온도 및 유동률을 수치적으로 계산하는 과정이다. 미국 표준기술연구소(national institute of standards and technology, NIST)는 다양한 환경에서 일어날 수 있는 화재의 효과적인 전산모사를 위해 Fire Dynamics Simulator(FDS)라는 프로그램을 개발하였다. FDS는 Ma 0.3이하의 저속 유동장 내에서 Navier-Stokes 방정식의 해를 도출함으로써 화원으로 인한 열전달 및 연기의 이동을 수치해석적으로 계산하는 프로그램이다.
ρ : density
u : velocity vector
Yα : the mass fractions of the individual gaseous species
Dα : the diffusion coefficient
: mass production rate of -th species per unit volume
p : pressure
fb : the external force vector
τ : the viscous stress tensor
hs : the sensible enthalpy
: the heat release rate per unit volume
: the energy transferred to the evaporating droplets
: the conductive and radiative heat fluxes
일반적으로 화재는 매우 복잡한 물리화학적 현상을 보이므로 화재 유동해석의 수학적 모델은 물리적 또는 화학적 과정 상호간의 관계를 표현하기 위한 많은 수식들로 구성된다. 화재로 인한 유동장의 물리적인 변화는 식 (2)~(5)와 같이 질량보존, 종(Species), 에너지보존, 운동량보존 방정식으로 표현될 수 있다. FDS는 이러한 방정식 시스템의 해인 유동장을 직육면체 형태의 격자영역에서 유한차분법을 이용해 계산한다.
NIST에서는 실대형 실험과 축소모형 실험을 비롯한 다양한 연구를 통해 FDS의 화재 유동해석 알고리즘을 계속 발전 시키고 있으며, FDS는 현재까지 많은 연구들을 통해 다양한 종류의 화재 유동해석에서 결과의 타당성을 인정받고 있다 (Lee et al., 2011). 이 연구에서 제안하는 화재 구조해석 통합 프레임워크에서는 화재에 의한 유동장의 변화를 FDS를 이용해 계산하였다. 이로부터 구조물 표면의 각 절점에서 온도의 시간이력을 구하고 이를 열응력해석을 위한 경계조건 으로 사용하였다.
2.4 유동해석과 열응력해석 연동을 위한 인터페이스
일반적으로 FDS의 유동해석 모델과 구조거동 계산을 위한 열응력해석 모델의 격자망은 일치하지 않는다. 따라서 FDS를 이용한 유동해석의 결과를 열응력해석을 위한 유한요소모델의 경계조건으로 적용하기 위해서는 양 모델 경계면의 기하 정보를 공유하는 새로운 인터페이스 모델이 필요하다. 이 인터페이스 모델은 유동해석 모델의 각 절점 별 온도시간이력을 열응력 해석 모델의 절점 별 온도 시간이력으로 변환해주는 역할을 한다.
구조해석 모델 표면의 각 절점에 FDS 해석으로부터 구한 온도 시간이력을 직접 부여하는 것이 이상적이지만, 격자망이 조밀해질 경우 데이터의 양이 방대해지고 해석시간이 지나치게 길어진다. 따라서 이 연구에서는 효율적인 화재 구조해석을 위해 유동해석으로부터 얻어진 구조물 표면의 절점 별 온도 시간이력을 다항식 회귀법(polynomial regression)을 이용해 시간에 대한 6차 다항함수로 근사시켰다. 이러한 방법은 유동해석으로부터 구한 구조물 표면의 절점 별 온도 시간 이력을 ABAQUS의 사용자 정의 서브루틴(user-defined subroutine)을 이용해 열응력해석의 경계조건으로 적용할 수 있게 해준다.
2.5 비선형 열응력해석
화재 후 뿐만 아니라 화재 중에도 구조물의 거동을 평가 하고자 할 경우, 열전달해석과 구조해석 결과는 서로 밀접한 영향을 주고 받는다. 화재의 성장과 감소에 따라 구조물 표면의 온도가 달라지고 이에 따라 매 시간단계마다 구조물 내부의 온도 분포도 달라진다. 구조물의 강도 및 강성은 온도에 대한 의존성을 가지고 있으므로 내부 온도의 변화에 따라 구조물의 응답이 달라진다. 따라서 화재 중에 구조물의 응답을 구할 경우, 화재 유동해석 이후에 열전달해석과 구조해석을 매 시간단계마다 반복적으로 수행할 필요가 있다.
이 연구에서 제안하는 화재 구조해석 통합 프레임워크 에서는 화재 유동해석 결과로 얻어지는 구조물 표면온도의 시간이력을 유한요소모델의 경계조건으로 사용하고 매 시간 단계마다 열전달해석과 구조해석을 동시에 수행하여 화재 시 구조 응답을 계산한다.
3. 국부테스트(Local test)
Fig. 1에 제시된 화재 구조해석 통합 프레임워크를 강재와 콘크리트로 이루어진 대표체적에 적용하여 실제 화재 조건 에서의 구조거동을 평가하였다. Table 1은 이러한 화재 유동 해석과 열응력해석의 국부테스트에 사용한 강재와 콘크리트의 비열, 열전도율, 탄성계수, 푸아송비, 밀도를 나타낸다.
Table 1
Properties of steel and concrete at room temperature(20°C)
| Property | Steel | Concrete |
|---|---|---|
| Specific heat(J/g°C) | 0.46 | 0.88 |
| Conductivity(W/m°C) | 45.8 | 1.4 |
| Elastic modulus(GPa) | 210 | 22 |
| Poisson’s ratio | 0.3 | 0.17 |
| Density(kg/m3) | 7850 | 2300 |
이 연구에서는 2013년에 New York주의 Ed Koch Queensboro bridge에서 발생한 실제 화재를 참고하여(Xu Gong, et al, 2014) Fig. 2와 같은 그래프의 단위면적당 열방출율로 가상의 화원을 모델링하였다. 화재 성장계수는 0.0469kW/s2으로서 화재 발생 후 180초까지 비교적 빠른 속도로 화재가 성장하며, 이후 지속 단계에서는 열방출율이 시간에 대해 일정하다. 실제 화재에서는 소화 단계를 거쳐 화원의 열방출율이 0이 되지만, 이 연구에서는 화재가 구조물에 미치는 영향을 극한상태까지 파악하기 위해 화재가 소화되지 않고 지속되도록 모델링하였다.
Fig. 3과 같이 유동장의 중앙에 변의 길이가 500mm인 정육면체 형상의 대표체적을 생성하고, 이 대표체적의 바닥면 으로부터 아래쪽으로 500mm만큼 떨어진 곳에 한 변의 길이가 500mm인 정사각형 형태의 화원을 설치하였다. FDS를 이용해 Fig. 2에 나타낸 열방출율 곡선을 따라 화원 으로부터 열이 공급됨에 따른 유동장의 변화를 화재 발생 후 1800초까지 계산하고 구조물 표면에서 온도의 시간이력을 계산하였다. 이러한 온도의 시간이력은 개발한 인터페이스 모델을 통해 시간에 대한 다항함수로 근사되었고 유한요소모델 표면에 경계조건으로 적용되었다.

Figure 4
Regression of the time history of temperature computed at the center of the top surface of RV
Fig. 4와 5는 정육면체 대표체적에 대한 화재 유동해석으로 부터 계산된 윗면과 아래면 중앙점에서의 온도 시간이력을 6차의 다항함수로 회귀시킨 결과를 나타낸다. 이와 같은 방법으로 대표체적의 유한요소모델 표면상의 모든 절점에서 시간에 대한 온도 함수를 결정하였고, 이를 ABAQUS의 사용자 정의 서브루틴에 반영해 열응력해석의 경계조건으로 사용하였다. Fig. 6에 보인 바와 같이 대표체적의 유한요소모델에 대해 바닥면의 모든 자유도를 구속하고 윗면에 분포하중을 적용 하였다. 분포하중의 크기는 시간에 따라 선형으로 증가하며, Table 2 및 3에 제시된 바와 같이 분포하중의 최대값을 변화시키면서 강재와 콘크리트로 이루어진 대표체적의 거동을 유한요소법으로 계산하였다. 재료, 하중 조건, 해석에 사용한 소성모델이 동일할 때 화재가 구조물의 거동에 미치는 영향을 평가할 수 있도록 각 경우마다 온도의 조건을 고려하지 않는 대조군을 설정하였다. 상용 유한요소해석 프로그램인 ABAQUS를 이용해 온도에 따른 재료의 비선형성을 반영한 열응력해석을 수행하였다.

Figure 5
Regression of the time history of temperature computed at the center of the bottom surface of RV
Table 2
Local test cases for steel RV
Table 3
Local test cases for concrete RV
3.1 강재
Kaspar Willam 등(2009)은 철근콘크리트 구조물에 사용되는 강재의 탄성계수와 항복강도를 식 (6), (7)과 같이 제안하였고, Eurocode 3에서는 극한강도를 식 (8)과 같이 제시하였다. 식 (6)~(8)을 이용해 온도에 의존하는 강재의 응력-변형률 관계를 구성하였고 이를 이용해 강재로 이루어진 대표체적의 변형을 계산하였다. Fig. 7은 대표체적의 해석에 사용한 강재의 응력-변형률 관계를 나타낸 것으로서, 상온에서는 bi-linear elasto-plastic model 관계를 보이지만 400°C 이상의 고온에서는 완전탄소성 관계를 나타낸다. 이러한 응력-변형률 관계를 토대로 von Mises 항복조건을 이용해 대표체적의 소성변형을 계산하였다.
Fig. 8은 대표체적이 강재로 이루어진 경우에 대표체적 윗면에 작용하는 분포하중과 점 A에서 계산된 변위 사이의 관계를 나타낸다. 상온 조건의 해석(SiN, i=1, 2, 3, 4) 에서는 대표체적의 거동이 재료의 탄성한계를 벗어나지 않았다. 하지만 화재로 인한 온도 조건을 고려한 경우(SiY, i=1, 2, 3, 4)에는 동일한 하중이 작용했음에도 불구하고 대표체적이 소성거동을 보였다. Table 4는 동일한 하중 하에서 화재로 인한 온도 조건을 고려한 경우와 상온의 경우 점 A의 최대 변위를 나타낸다. 하중의 크기가 증가할수록 화재 시와 상온 조건에서 계산된 최대 변위 사이의 차이도 커지며, S4의 해석 경우에는 그 차이가 약 23배에 이름을 알 수 있다.
3.2 콘크리트
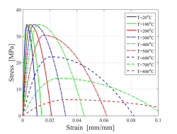
ASCE manual No. 78(1992)에서는 온도에 따라 변하는 보통강도 콘크리트의 응력-변형률 관계를 식 (9)~(11)과 같이 제시한다. 식 (11)은 응력(σc)과 변형률(ε)간의 관계식 이며, 식 (9)와 (10)은 식 (11)에 포함된 εmaxT, 의 온도에 따른 조건식이다. 식 (9)~(11)을 이용해 콘크리트의 응력-변형률 관계를 그리면 Fig. 10과 같다. 압축강도가 =35MPa인 콘크리트에 대해 상온에서 400°C까지는 압축강도가 35MPa로 유지되다가 400°C 이후에는 감소하는 경향을 보인다. 이에 비해 초기 탄성계수는 온도가 상승할수록 지속적으로 저하되는 경향을 보인다.
콘크리트의 비선형 구조해석에는 Lee와 Fenves(1998)가 제안한 소성손상 모형(Plastic-damage model)을 사용하였다. 이 소성손상 모형은 반복하중에 의한 콘크리트의 비선형 거동을 계산하기에 적합한 소성해석 이론으로서 재료의 강성도 저하와 파괴에너지에 의한 손상 개념을 적용한 모형이다.
Fig. 9은 대표체적이 콘크리트로 이루어진 경우에 대표체적 윗면에 작용하는 분포하중과 점 A에서의 변위사이의 관계를 나타낸다. 상온 조건의 해석(CiN, i=1, 2, 3, 4)에서는 대표체적의 거동이 재료의 탄성한계를 벗어나지 못했지만, 화재로 인한 온도 조건을 고려했을 경우(CiY, i=1, 2, 3, 4)에는 탄성한계를 벗어나 소성거동을 보였다. Table 5는 동일한 하중 하에서 화재로 인한 온도 조건을 고려했을 때와 상온 조건의 경우 점 A의 최대변위를 나타낸다.
4. 결 론
이 연구에서는 화재에 노출된 구조물의 역학적인 거동을 평가하기 위해 화재 유동해석으로부터 비선형 열응력해석에 이르는 통합 프레임워크를 제안하였고, 이 프레임워크의 타당성을 입증하기 위해 강재와 콘크리트로 이루어진 대표체적에 대한 국부 테스트를 수행하였다. 온도에 따라 변하는 강재와 콘크리트의 구성관계식을 이용해 화재 시 또는 화재 후 구조물의 거동을 평가하였다.
이 연구에서 다룬 수치예제에서는 강재와 콘크리트 모두 동일한 하중이 작용할 때 상온 조건에서는 대표체적이 탄성 영역 내에서 변형을 일으켰다. 하지만 화재로 인한 온도 조건을 고려한 경우에는 대표체적이 탄성범위를 벗어나 소성 영역에서 변형을 일으켰다. 즉, 고온에서는 강재와 콘크리트 모두 강성이 급격히 감소하고 이에 따라 구조물의 변형이 급격히 증가하는 경향을 보인다. 이는 구조물이 화재에 노출되는 경우 설계하중보다 훨씬 작은 하중에서도 구조물이 한계상태에 이를 수 있다는 것을 의미한다. 따라서 원전구조물 이나 교량과 같은 중요 사회기반시설물의 설계 시에는 화재에 대한 구조물의 거동 평가가 고려되어야 한다고 할 수 있다.
이 연구에서 제안한 통합 프레임워크를 통해 향후 화재 시 또는 화재 후 보다 복잡한 구조물의 변형을 실제 화재 조건을 반영하여 효과적으로 평가할 수 있을 것으로 기대된다.
















