1. 서 론
지진, 충격 및 폭발 등 동적하중이 작용하는 지중 구조물의 거동을 수치해석적으로 평가하기 위해서는 지반-구조물 상호 작용을 고려해야 하나 해석상의 편의를 위하여 이를 고려 하지 않거나 간략하게 고려하는 경우가 발생된다. 또한 지반 부분을 모델링하여 고려하여도 지반 외부영역의 경계조건 설정은 편의상 고정조건을 적용하는 경우가 대부분이다. 하지만 지중 구조물의 거동을 보다 정확하게 평가하기 위해서는 지반 외부영역에 적절한 경계조건을 설정하여 지반-구조물 상호 작용을 고려한 수치해석을 수행하는 것이 필요하다.
이러한 지반-구조물 상호작용에 대한 연구는 폭발하중에 대한 분야보다는 지진하중에 대한 내진설계 분야에서 지난 수십 년간 국내외로 많은 연구자들에 의해 연구가 진행되어 왔다. 지반- 구조물 상호작용 연구의 핵심 주제는 크게 지반-구조물 상호 작용 해석 및 지반의 무한영역에 대한 모형화로 나눌 수 있다. 일반적인 지반-구조물 상호작용 해석은 주파수 영역과 시간 영역으로 구분될 수 있으며, 각각의 영역에서 유한요소해석, 경계요소 해석 및 유한요소-경계요소 조합해석 등의 방법이 사용 되었다. 주파수 영역에서 Kausel과 Roesset(1977)는 층상 지반 가상경계에서의 반사파 문제를 해소할 수 있는 Hyperelement를 경계에 사용하여 연구를 수행하였으며, Gupta와 Penzien(1982)은 지반-구조물 상호작용계를 지반영역과 구조 물영역으로 나누어 접촉경계를 강체로 가정한 후 기초의 강성을 구하여 구조물의 동적응답해석을 수행하는 방법인 임피던스함 수법(impedance function approach)을 개발하였다. 시간 영역에서 Wolf(1987)는 지반을 유한요소로 모형화하여 지반- 구조물 상호작용 해석을 수행하였으며, Von Estorff(1991), Kim 등(2000, 2001)은 유한요소-경계요소 조합해석으로 동적응답해석을 수행하였다. 또한 주파수영역과 시간영역을 조합한 지반-구조물 상호작용 해석 연구도 수행되었다. Lim 등(2004)은 장대교량을 대상으로 고정지반과 지반-구조물 상호작용을 고려한 해석결과를 비교하여 모드형상 및 동적응 답에 대하여 분석하였다.
한편, 지반의 무한영역 모형화와 무한영역으로 전달되는 에너지 방사현상을 고려한 외부영역을 모사하기 위해 다음과 같은 연구들이 수행되었다. Lysmer와 Kuhlemeyer(1969)는 시간영역에서 전달되는 탄성파를 모사하기 위한 점성경계요소를 사용하여 연구를 수행하였다. White 등(1977)은 지반 외부 영역을 모사하기 위하여 점성경계를 사용하였다. Yun 등(1991, 1995, 2001, 2007)은 무한요소를 이용한 지반 외부영역 모사방법을 개발하였다. Kim 등(2000)은 전달경계를 사용하여 지반-구조물 상호작용을 수행하였다. Basu와 Chopra (2003, 2004)는 PML(Perfectly Matched Layer)를 탄성파전파 문제를 위해 유한요소로 정식화하고 탄성전이해석을 수행하 였다. Uno 등(2008)은 PML을 이용하여 비선형 지반- 구조물 상호작용해석에 수행하였다.
최근에는 Lee 등(2013)이 주파수 영역에 기반을 둔 선형 지반-구조물 상호작용해석과 비선형해석을 수행할 수 있는 유한요소해석 프로그램을 결합하여 비선형 지반-구조물 상호 작용 해석을 수행할 수 있도록 제안된 경계반력법(BRM)의 효용성을 검증하였다. Bolisetti 등(2015, 2018)은 선형과 비선형 지반-구조물 상호작용을 각각 시간 영역과 주파수 영역 에서 해석을 수행하였다. 그 결과, 선형해석은 두 영역에서 구조물 및 지반의 응답이 거의 동일한 결과를 보이는 것을 확인하였지만, 비선형해석에서는 두 영역에서의 구조물 및 지반의 응답이 다른 것을 확인하였다.
본 연구에서는 프리캐스트 콘크리트(precast concrete, PC) 부재로 이루어진 지중 탄약고 구조물을 대상으로 지반경계 조건이 폭발저항성능 평가에 미치는 영향을 파악하기 위하여 지반의 고정조건과 LS-DYNA에서 제공하는 PML 요소를 이용하여 일련의 수치시뮬레이션을 수행하고 그 결과를 비교 ․분석하였다. 수치시뮬레이션에는 범용 외연적 수치해석 프로 그램인 ANSYS LS-DYNA(v.17.1, 2017)를 사용하였다.
2. 대상 구조물 개요
본 연구의 수치시뮬레이션 대상 구조물은 Fig. 1에 나타낸 바와 같이 프리캐스트 아치부재로 구성된 지중 탄약고 구조물 이다. Fig. 2에는 프리캐스트 아치 탄약고 구조물의 단면도 및 측면도의 설계도면을 나타내었다. 탄약고의 제원은 벽체 두께 0.25m, 지간(span) 8m 및 종방향 길이 10.5m로 구성되어 있으며, 탄약고의 성토 토피고는 1m이며, 기초는 약 1.5m 깊이만큼 원지반에 묻혀있다. 또한 프리캐스트 아치 부재는 루프 이음부에 콘크리트 현장타설을 실시하여 일체형의 아치 구조물을 형성하게 된다.
3. LS-DYNA의 PML
PML(perfectly matched layer)은 Berenger(1994)와 Chew(1994, 1999)에 의해 처음 전자기파 분야에서 사용되 었다. 그 후 전자기 PML에 대한 수많은 연구와 지진 응용을 위한 탄성파와 같은 다른 분야에 대한 연구가 진행되었다. 이러한 PML의 기본개념은 진동수 영역에서 좌표의 변환을 통해 무한영역을 모사하고 입사파를 흡수하여 반사파를 제거 하는 것이다.
Basu(2009)는 기존의 연구를 확장하여 PML을 외연적 시간적분법(explicit integration method)에 적용하는 기법 을 개발하였으며, 이를 바탕으로 범용 외연적 수치해석 프로 그램인 LS-DYNA에 PML 요소를 사용할 수 있도록 하였다. 본 연구에서 사용되는 LS-DYNA의 PML 해석기법에 대한 요구사항은 다음과 같이 4가지가 있다(Basu, 2011).
1) PML은 경계 도메인 주위를 육면체로 형성하며, 좌표축과 나란히 정렬되어야 한다.
2) PML의 외부경계는 고정조건을 적용해야 한다.
3) PML층의 두께는 일반적으로 5~8개의 요소를 가지는 것이 좋다.
4) PML에는 정적 하중이 작용하지 않아야 한다.
PML 해석기법을 이용한 지반-구조물 상호작용해석은 개발된 지 오래되지 않아 충분한 자료 및 연구가 부족한 상황이므로, 아직 보완할 점이 많을 것으로 판단된다. 하지만 이러한 기법은 무한한 지반의 외부영역을 적절히 모사할 수 있는 장점이 있으 므로, 본 연구에서는 PML을 이용한 경계조건 설정이 폭발저 항성능 평가에 미치는 영향을 파악하고자 하였다.
4. 유한요소 모델 작성
4.1 유한요소망 구성
유한요소 모델은 대상 구조물의 대칭성을 고려하여 1/2부분만 모델링하였으며, 콘크리트 및 지반 부분은 8절점 solid요소를 사용하여 모델링하였다. 콘크리트 및 지반의 요소 폭은 가로, 세로 모두 약 0.1m 및 약 0.3m~0.5m 수준으로 구성되었 으며, 벽체의 두께방향으로는 7개 층으로 모델링하였다. 또한 프리캐스트 아치간의 접촉조건은 LS-DYNA에서 제공하는 “Contact_automatic_single_surface” 명령어를 사용하여 구 현하였다. 또한 지반과 구조물사이의 접촉조건은 “Contact_ automatic_surface_to_surface” 명령어를 사용하여 구현하 였다. 철근은 2절점 beam요소로 약 0.2m의 길이로 모델링 하였으며, 철근과 콘크리트부의 합성은 LS-DYNA에서 제공 하는 “Constrained_lagrange_in_solid” 명령어를 사용하여 구현하였다. 지반의 크기는 폭발하중의 영향을 전달하기 위해 가로, 세로 39.6m×20.5m, 깊이 5m로 모델링하였으며, 프리 캐스트 아치 탄약고는 Fig. 2의 실제 설계사양을 반영하여 모델링하였다.
해석에 고려된 모델은 2종으로 근역지반의 경계를 구성하는 요소가 일반 solid요소인 Case 1 및 PML 요소인 Case 2에 대하여 유한요소 모델을 작성하였다. PML의 경우 3절의 내용을 토대로 1m두께를 5개층으로 모델링하였다. 작성된 유한요소 모델은 Fig. 3에 나타내었다.
4.2 재료모델
콘크리트 부분은 *MAT_CSCM_CONCRETE, 철근에는 *MAT_PLASTIC_KINEMATIC, 지반의 성토부와 원지반은 *MAT_MOHR_COULOMB 및 *MAT_PML_ELASTIC 재료 모델이 각각 사용되었다.
CSCM concrete 재료모델(Murray, 2007)은 콘크리트의 비선형 재료거동을 포함하고 있으며, starin rate 효과 및 erosion 기능을 포함하고 있어 본 연구와 같은 방호시설에 대한 폭발 시뮬레이션에 빈번히 적용되고 있다. 프리캐스트 아치 및 현장 타설부에는 콘크리트 압축강도(fck) 40MPa을 적용하였 으며, 기초부에는 콘크리트 압축강도(fck) 27MPa을 적용하 였다.
철근은 Bi-linear 형태의 거동으로 가정하였으며, 항복 후 탄성계수를 1GPa로 입력하였다. strain rate 효과를 반영하 기 위해 사용되는 Cowper-Symonds 모델의 재료상수 C 와 p는 아래의 식 (1)을 사용하여 산정하였으며, 그 값은 각각 82079s-1 및 5이다(Choung et al., 2011).
where, σ0: yield stress(MPa)
지반의 물성에서 Gmod, ϕ 및 c는 각각 전단탄성계수, 내부 마찰각 및 점착력을 의미한다. 또한 PML 요소에 적용되는 재료 물성은 원지반의 물성을 적용하였다.
Table 1에 각 재료모델에 사용된 주요한 입력값을 정리 하여 수록하였으며, 철근에 사용된 재료모델의 응력-변형률 곡선을 Fig. 4에 나타내었다.
4.3 경계조건 및 하중조건
전술한 바와 같이 본 연구의 대상 구조물은 대칭성을 고려 하여 1/2만 모델링되었다. 따라서 Case 1은 구조물 및 지반 수직 절단면에 면외방향 이동 및 회전변위 구속조건을 적용 하였다. 또한 지반 하면은 완전 고정조건을 적용하였다. Case 2는 LS-DYNA의 PML 사용 시 고려되어야 하는 요구사항 3)항을 따라 PML 외부경계에 고정조건을 적용하였으며, 구 조물 수직 절단면에는 면외방향 이동 및 회전변위 구속조건을 적용하였다.
본 연구에 사용된 하중조건은 Case 1 및 Case 2에 동일하게 적용되었다. 폭발하중은 지반경계조건의 설정에 따른 효과를 명확하게 보기 위하여 대상 구조물의 설계하중보다 큰 하중을 적용하였으며, 이격거리는 7.6m이다. 하중재하는 LS-DYNA의 내장함수인 *LOAD_BLAST_ENHANCED 명령어를 사용 하였다. 또한 폭발압력이 도입되기 전 자중해석을 수행하여, 자중에 의한 영향이 해석에 반영될 수 있도록 하였다. Fig. 5 및 Fig. 6에 유한요소모델의 경계조건 및 하중조건을 나타내 었다.
5. 해석결과
본 연구에서는 폭발 수치시뮬레이션을 총 0.5초간 수행하 였다. Case 1 및 Case 2의 폭발 압력 분포 및 경로를 비교하여, PML을 이용한 지반 외부영역 모사의 적용성을 검토하였다. 또한 이로 인해 발생하는 구조물의 변위, 파쇄여부, 콘크리트 및 철근에 발생하는 응력수준을 비교하여 지반경계조건 설정에 따라 폭발저항성능에 미치는 영향을 파악하였다. 마지막으로 PML 해석기법의 적용성을 검토하였다.
5.1 지반경계조건 설정에 따른 폭발압력 분포 및 경로
이 절에서는 지반경계조건 설정에 따른 폭발하중에 의한 압력 분포 및 경로에 대하여 서술하였다. Case 1은 고정조건이므로 폭발하중에 의한 압력이 경계에 도달하게 되면 반사파가 발생 하게 된다. 그와 반대로 Case 2는 PML에 작용하는 압력이 흡수되는 현상을 보이게 된다. 이러한 폭발하중에 의한 압력이 전달되는 현상을 확인하기 위하여 지반의 압력 분포(pressure contour)를 확인하였으며, 출력시점은 0.015초, 0.03초, 0.037초, 0.05초이다. 폭발압력의 전달을 명확히 표현하기 위하여 압력 분포의 출력범위를 0MPa~0.5MPa로 설정하였 으며, 0.5MPa 이상 크기의 압력은 파란부분으로 표현되도록 하였다. 여기서, 0.015초 시점은 폭발압력이 PML에 도달하는 시점이며, 0.03초 시점은 Case 1의 경우 폭발압력이 반사되는 현상, Case 2의 경우 PML에 의해 폭발압력이 흡수되는 현상 이 뚜렷하게 나타나는 시점이다. 0.037초 시점은 Case 1에서 반사파가 폭발하중 작용 측 기초 하단부에 도달하는 시점이다. 0.05초 시점은 Case 1 및 Case 2 모두 폭발압력이 폭발하중 반대측 기초에 도달하는 시점이다. 폭발압력 경로는 Fig. 7에 출력시점 순서로 나타내었다.
Case 1 및 Case 2의 지반경계설정에 따른 폭발압력의 전달을 비교하기 위하여 반사파가 가장 먼저 도달하는 폭발하중 작용 측 기초 하단부의 절점을 선정하여 가속도-시간이력 곡선을 비교하였다. 그 결과 Case별 y방향에서 각각 최대 -0.63× 105m/sec2 및 -0.12×105m/sec2, z방향에서 각각 최대 1.85× 105m/sec2 및 0.69×105m/sec2 크기의 응답을 나타내는 것을 확인하였으며, 압력 분포에서 확인된 바와 같이 Case 1의 y 방향 및 z방향에서 약 0.0365초 시점에서 반사파의 영향으로 인해 최대응답이 나타나는 것을 확인하였다. Fig. 8의 y방향 및 z 방향의 가속도-시간이력 곡선을 비교하여 나타내었으며, 각 Case 별 최대 응답의 순간을 표기하였다.
가속도-시간이력 곡선을 비교․분석한 결과 반사파에 의해 구조물의 응답이 Case 1이 Case 2에 비해 상대적으로 크게 나타나는 것을 확인할 수 있다. 반사파의 영향으로 Case 1은 약 0.15초 이후에도 구조물이 진동하는 것을 확인할 수 있다. 또한 폭발압력의 분포 및 경로를 비교․분석한 결과 PML을 이용한 Case 2의 지반경계조건 설정이 Case 1보다 실제와 같은 지반 외부영역을 적절히 모사할 수 있을 것으로 판단된다.
5.2 지반경계조건 설정에 따른 구조물의 거동
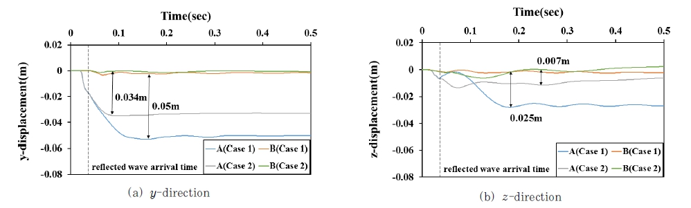
지반경계조건 설정에 따른 폭발하중에 의해 발생하는 구조 물의 변형 형상 및 변위를 비교․분석하였다. 해석이 종료된 시점의 구조물 변형형상을 Fig. 9에 나타내었다. 색으로 표시한 contour는 구조물의 수평방향 변위(y-displacement)를 나타 내며, Fig. 10에서 변위응답을 출력한 절점의 위치 및 번호를 함께 표시하였다. 변형 형상은 scale factor를 50배 적용하여 과장되게 표현하였으며, 변위 분포의 출력범위를 -0.05m~ 0m로 설정하였다. Case 1 및 Case 2의 출력절점의 y방향 및 z방향의 변위-시간이력 곡선을 Fig. 10에 나타내었다.
지반경계조건 설정에 따른 구조물의 거동을 비교․분석한 결과, 모든 Case에서 폭발하중이 작용한 후 구조물 초기상태와 비교하면 기초 사이의 거리가 가까워지는 것을 확인할 수 있었다. y방향으로 감소된 기초 사이의 거리는 Case 1 및 Case 2에서 각각 최대 약 0.05m 및 0.034m 수준이며, z방향으로 각각 최대 약 0.025m 및 0.007m 수준으로 다소 차이가 발생하는 것을 확인할 수 있다. 또한 폭발하중 작용 측 기초부는 반사파가 도달하는 시간을 기점으로 뚜렷한 차이를 보이지만, 폭발하중 반대 측 기초부의 경우 y방향 및 z방향의 거동은 상대적으로 큰 차이를 보이지는 않는다.
따라서 본 연구에서 설정한 지반경계조건은 폭발하중 작용 측 기초부 거동에는 영향을 미치지만, 구조물의 지간이 8m인 것을 고려하면 전반적인 거동에 미치는 영향의 차이는 미미한 것으로 판단된다.
5.3 파쇄여부 검토
본 연구의 대상 구조물인 탄약고와 같은 방호시설의 경우 폭발하중에 의해 발생하는 구조물의 파쇄여부를 검토하여야 한다. 따라서 본 연구에서도 지반경계조건 설정에 따른 구조 물의 파쇄여부를 비교․분석하였다. 파쇄여부는 LS-DYNA의 후처리 프로그램인 LS-PrePost의 Deleted element plot 기능을 활용하여 검토하였다. 검토 결과 Case 1 및 Case 2 모두 폭발하중에 의한 구조물의 파쇄는 발생하지 않았다. 따라 서 본 연구에서 설정한 지반경계조건에서는 폭발하중이 구조물 파쇄에 미치는 영향의 차이가 크지 않은 것으로 나타났다.
5.4 콘크리트 및 철근 응력 검토
앞 4.2절에서 서술하였듯이 폭발하중 작용 후 구조물의 전반 적인 거동에는 큰 차이가 없는 것으로 보이지만, 기초부 거동 에서는 차이를 나타내었다. 따라서 기초부의 이동으로 인해 구조물에 내력이 가장 많이 발생할 것으로 판단되는 부분의 콘크리트 및 철근의 응력을 검토하여 비교하였다. Fig. 9의 변형 형상에서 확인할 수 있듯이 기초부의 이동으로 인해 가장 큰 내력이 발생할 것으로 판단되는 부분인 폭발하중 작용 측 측상부 요소를 선정하였다. 선정된 출력요소의 위치 및 번호는 Fig. 11 및 Fig. 12에 나타내었으며, 해당 요소의 응력-시간 이력 곡선은 Fig. 13에 나타내었다.
Case 1에서 발생하는 콘크리트 및 철근의 최대 응력은 다음과 같다. 콘크리트의 압축 및 인장응력은 -21.08MPa 및 3.15MPa이며, 철근의 압축 및 인장응력은 -81.8MPa 및 115.7MPa이다. Case 2에서 발생하는 콘크리트 및 철근의 최대 응력은 다음과 같다. 콘크리트의 압축 및 인장응력은 -21.09MPa 및 3.05MPa이며, 철근의 압축 및 인장응력은 -81.5MPa 및 106.9MPa이다. Case 1 및 Case 2에서 프리 캐스트 아치의 모든 콘크리트가 설계압축강도인 40MPa보다 비교적 낮은 수준의 응력을 보이는 것을 확인할 수 있으며, 모든 철근도 항복응력이 400MPa인 것을 고려하면 탄성한계범위 내에 있는 것을 확인할 수 있다. 실제로 폭발하중에 대한 저항 성능을 평가할 때 사용되는 허용치는 변형률 속도효과(strain rate effect)를 고려하여 정적 강도를 일정량 할증하여 사용하 지만, 이 연구의 결과는 정적강도 보다도 낮은 응답을 나타내고 있으므로, 충분히 안전측의 거동을 보이는 것으로 판단할 수 있다. 두 Case 결과를 비교하면, Case 1이 Case 2보다 미소 하게 응력수준이 높은 것을 확인할 수 있다. 하지만 모든 요소가 허용범위 안에서 뚜렷한 차이 없이 비슷한 수준의 응력을 보이 므로, 본 연구에서 설정한 지반경계조건에서는 폭발저항성능에 미치는 영향의 차이가 크지 않은 것으로 판단된다.
5.5 PML 해석기법의 적용성
이 절에서는 폭발시뮬레이션 수행 시 PML 해석기법의 적용 성에 대하여 서술하였다. 해석기법의 적용성은 해석의 목적을 고려하여 판단해야 할 사항이며, 일반적으로 폭발 시뮬레이션의 목적은 대상 구조물의 설계를 위한 폭발저항성능 평가이다. 따라서 연구의 목적 및 비용의 관점에서 본 연구에서 설정한 지반경계조건에 대한 적용성을 검토하였다. 자중작용 및 폭발 시뮬레이션의 총 수행시간을 검토한 결과, Case 1이 총 19시 간 7분 32초(CPU time)가 소요되었으며, Case 2는 총 51 시간 10분 40초가 소요되었다. 또한 앞 4.2절~4.4절의 내용을 검토해 보면 Case 1이 Case 2보다 다소 응답이 크게 나타 나지만, 폭발저항성능의 평가결과에는 큰 영향을 미치지 않을 판단된다.
따라서 방호시설 설계를 목적으로 성능평가를 수행할 경우, PML 요소를 적용하지 않고 Case 1과 같이 일반적인 고정 조건으로 지반영역의 단부를 처리하였을 때 구조물 측면에서 다소 불리한 해석결과를 얻게 되지만, 이로 인해 설계의 안전 율이 높아지는 쪽으로 영향을 미치게 되며 해석 시간이 단축되는 경제적인 효과도 부수적으로 얻게 되므로, 이러한 결과를 예상 하는 상태에서 Case 1을 선택하는 것은 합리적이라고 판단된다. 또한, 보다 현실에 가까운 해석결과가 필요하거나, 경제적인 단면설계가 최우선의 목표인 경우에는 PML을 이용한 Case 2의 지반경계조건 설정을 고려할 수 있을 것으로 판단된다.
6. 결 론
이 연구에서는 외연적 수치해석 프로그램인 LS-DYNA를 사용하여 지중 구조물인 프리캐스트 아치 탄약고에 대한 폭발 시뮬레이션을 수행하고, 이로부터 지반경계조건의 설정이 폭발 저항성능 평가에 미치는 영향을 파악하고자 하였다. 이로부터 얻은 결론은 다음과 같다.
1) 폭발하중에 의한 압력 분포 및 경로를 비교․분석한 결과 PML을 이용한 지반경계조건 설정이 고정조건을 통한 지반경계조건 설정보다 지반 외부영역을 모사하기에 더 적절하다는 것을 확인하였다.
2) 구조물의 변형 형상 및 반사파에 의한 기초부 거동을 비교 ․분석한 결과 지반경계조건 설정의 차이가 기초부의 거 동에는 다소 영향을 미치지만 구조물의 전반적인 거동에 미치는 영향은 크지 않는 것으로 나타났다.
3) 구조물의 파쇄여부, 콘크리트 및 철근 응력을 비교․분 석한 결과 지반경계조건 설정의 차이가 구조물의 폭발저 항성능 평가에 큰 영향을 미치지는 않는 것으로 판단된다.
이러한 결과로부터, 방호시설 설계를 목적으로 성능평가를 수행할 경우, PML 요소를 적용하는 것이 보다 실제에 가까운 결과를 주기는 하지만 그 차이가 크지 않고, 기존의 고정경계 조건을 적용하였을 때 안전측의 결과를 얻을 수 있으며, 해석 시간이 단축되는 이점도 있으므로 이러한 면을 종합적으로 고려 하여 지반경계조건을 고정조건으로 적용하는 것도 합리적이 라고 판단된다. 현실적인 지반을 모사한 정밀해석을 수행할 경우에는 PML을 이용하는 것이 타당할 것으로 판단된다.
















