1. 서 론
프리스트레스(pre-stressed, PS) 거더는 편심을 가지고 정착된 강봉 또는 강연선 케이블에 긴장력을 도입하여 주거더 시스템에 부의 휨모멘트 또한 상향력과 압축력을 발생시켜서, 자중 및 외력에 의하여 발생하는 거더 휨모멘트를 최소화시키 는 구조시스템을 말한다. 이 시스템은 케이블을 이용하여 내력 을 효과적으로 전달하고, 재료를 효율적으로 사용함으로써 보 다 경제적이고 장지간의 구조시스템을 가능케 하는 장점을 갖 는다. 반면에, 고강도 케이블 재료를 사용하여야 하고, 케이블 정착부 등을 설계·시공하여야 하는 추가적인 고려사항을 갖는 다. 현재까지 PS 강거더 시스템은 흙막이 가시설의 PS 띠장, IPS 띠장, 그리고 PS 엄지말뚝 가설공법, 가교(temporary bridge)의 PS 주거더 공법, 그리고 구조적 보강(strengthening) 을 목적으로 외부 프리스트레싱 기법 등에 제한적으 로 적용되어 왔다.
내부에서 긴장되는 PS 콘크리트거더에 대한 연구는 엄청난 양의 연구논문이 발표되었지만, 외부 긴장되는 PS 강거더 시스템 연구는 주로 면내거동(in-plane deformation)에 대한 구조해석과 실험결과를 이용하여 성능평가가 매우 제한적으로 수행되었다. 먼저 Troitsky(1990)는 Prestressed Steel Bridges라는 제목의 저서를 1990년에 출간하여, 케이블 정 착과 설치를 위한 구조상세를 포함하는 PS 강거더의 기본원리 를 상세히 설명하고, PS를 도입한 다양한 강교시스템의 적용 사례를 언급하였다. 이 책의 주요내용은 주로 PS 강구조의 면내거동 해석 및 설계에 대한 것이고 면외 좌굴거동에 대한 언급은 전혀 없었다. Kim 등(2005)은 PS를 도입한 가시설 공법에 적용되는 띠장의 거동의 해석 및 설계절차를 연구하였다. Belletti와 Gasperi(2010)는 기하비선형을 고려한 유한요소 법을 이용하여 35-45m 길이의 강 I-거더의 면내거동에 대한 편향부 및 PS크기 효과와 아울러 횡브레이싱의 횡좌굴 억제 효과를 조사하였다. Park 등(2010)은 4m 길이의 PS H빔의 실험적 연구를 통하여 면내거동에 대한 중앙 편향부 효과를 탐구하였다. 또한, Ghafoori와 Motavalli(2015)는 프리스트 레스를 가한 CFRP laminate로 보강된 강제 I-빔의 횡비틀림 좌굴거동에 대한 수치적 연구가 수행되었다. 마지막으로, Kambal과 Jia(2018)는 이론적, 실험적 연구를 통하여 포물 선 강연선이 설치된 PS 강상자형 거더의 면내 휨거동을 연구 하였고, Ren 등(2018)은 비부착된 다수의 직선텐던을 이용 하여 외적으로 긴장시킨 깊은 보(deep beam)의 휨거동을 조사 하였다. 그러나 기존 연구에서는 텐던 긴장력과 편향부가 PS 강제 빔-시스템에 미치는 기하비선형효과에 대한 이론적인 연구가 미흡하였다고 사료된다.
본 연구에서는 2점 하중과 텐던에 의해 도입된 압축력을 받고 편향부가 미설치, 설치된 프리스트레스 H형강 시험체들의 비선형 변형 및 파괴특성을 파악하고자 한다. 이를 위하여 면내 하중에 대하여 적절한 횡지지가 이루어져서 횡-비틀림좌굴이 발생하지 않고 면내휨거동 만이 발생한다는 가정을 도입한다. 주요한 연구내용으로 편향부가 없는 PS 시스템 중간지점에 편향부가 있는 PS시스템 그리고 3개의 편향부가 있는 PS시스템 시험체를 제작하여 파괴실험을 실시하고, 편향부의 영향을 고려한 비선형 해석이론을 제시한다. 또한, 제안된 이론의 타 당성을 검증하기 위해 PS 시스템의 수치예제를 제시하고 보요소, 강체 보요소 및 트러스 케이블 요소로 구성된 ABAQUS 모델의 해석결과와 비교한다. 아울러, 덧판(cover plate), 텐던, 그리고 편향부의 효과를 조사한다.
2. 2점 하중을 받는 4개의 단순지지 PS빔 시험체
이 장에서는 2점 하중을 받는 단순지지 PS H-빔의 시험체 재원과 파괴시험 방법을 설명한다. 직선형태의 강봉텐던, 정착부, 그리고 300×300×15×10 H-빔으로 구성되는 프리스트레스 강거더 시스템의 비선형, 비탄성거동을 파악하기 위하여, 단순 지지 H-빔(Fig. 1), 편향부가 없는 단순지지 PS H-빔(Fig. 2), 편향부가 설치된 단순지지 PS H-빔(Fig. 3), 그리고 편향 부가 설치되고, 두 개의 텐던을 갖는 단순지지 PS H-빔(Fig. 4)를 각각 제작하였다.
그림 Fig. 2에 보는 바와 같이 H-빔 및 강봉의 길이는 각각 7m, 6m이고, 2점 하중간격은 2m이다. 두 번째, 세 번째 시험 체의 강봉 초기장력 ho=50ton이고, 네 번째 시험체의 초기장 력은 60ton이다. 탄성계수 E =206GPa이고, H-빔의 단면적, 강축 및 약축에 대한 단면 2차모멘트는 각각 A =119.8cm2, Ix=20,400cm4, Iy= 6,750cm4이다. 아울러, 직선 원형강봉 의 단면적은 Ac=12.57cm2이고, H-빔의 도심으로부터 강봉 까지 편심량 e (=22cm)의 크기는 모든 시험체에 동일하게 적용한다.
먼저 초기긴장력을 도입하고 정착부에 정착한 후에 2점 하중 을 파괴 시까지 증가시킨다. 이때 비탄성 횡-비틀림좌굴에 의 하여 조기에 파괴되는 것을 방지하기 위하여 횡방향 변위를 구속 한다. LVDT를 이용하여 중앙부 수직처짐을 계측하고, H-빔 중앙부와 텐던에 변형률게이지를 부착하여 파괴 시 까지 중앙 단면에서 수직변위 및 변형률을 측정한다(Fig. 2).
3. 단순지지 PS H-빔의 2차 탄성해석법
전 장에서 제시된 4개의 실험모델에 대하여 이론적으로 해석 결과를 제시하기 위하여 2차 탄성해석법을 제시한다. 이 절에 서는 시험결과와 이론적 해석결과를 비교하기 위하여 최종 이론식을 제시한다. 이 식들의 보다 자세한 유도과정은 다음 절의 내용을 참조할 수 있다.
시험체들의 모델형상 및 하중조건이 모두 빔 중앙부에 대하여 대칭조건을 만족하기 때문에 절반만을 모델링하여 해석한다. PS 시스템의 해석은 두 단계 즉, 외부 하중없이 초기긴장력만을 도입하는 단계와 이후에 외부하중을 재하하는 단계로 구분할 수 있다. 이때 텐던의 무응력길이 lc는 첫 번째 단계에서 도입 된 장력값을 이용하여 적합조건으로부터 산정할 수 있다. 이 무응력길이를 이용하여 두 번째 하중단계에서 변화하는 텐던 긴장력을 결정할 수 있다.
3.1 2점 하중을 받는 단순지지 H-빔: 시험체1
Fig. 1은 2점 재하하중을 받는 H-빔을 보여준다. 평형방정 식 및 경계조건은 식 (1)과 같다.
여기서, υ1, υ2, d(=2.5m), l (=7m)는 각각 하중작용점 좌측 부 및 중앙부의 처짐, 그리고 좌측 지점부터 하중점까지 거리 이다.
3.2 편향부가 없고 프리스트레스를 받는 2점하중하의 단순지지 H-빔: 시험체2
3.2.1 초기 긴장력의 도입단계의 정식화
Fig. 2는 편향부가 없고, 직선텐던으로 프리스트레스와 2점 재하하중을 받는 H-빔을 보여준다. 2점하중 없이 초기긴장력 만을 도입하는 과정에서의 평형방정식 및 경계조건은 식 (2) 와 같다.
여기서, υ1과 υ2는 각각 왼쪽 지점에서 정착부까지 빔의 수직 처짐, 정착부에서 빔 중앙부까지의 처짐을 나타낸다. e 는 텐던의 편심거리이고, 정착부까지의 거리 c는 0.5m이다. 위의 미분 방정식의 연직처짐에 대한 엄밀해는 식 (3)과 같이 얻는다.
한편, 적합조건은 식 (4)와 같다.
엄밀해를 적합조건식에 대입하고 초기긴장력이 주어지면 식 (4)의 비선형방정식을 풀어서 텐던의 무응력길이 lc를 결정 할 수 있다. 여기서 lt (=6m)는 텐던의 정착길이이다.
3.3 편향부가 설치되고 단일텐던의 프리스트레스를 받는 단순지지 H-빔: 시험체3
이 연구에서는 편향부가 다수 설치되는 PS 시스템의 해석 이론은 편향부가 없는 시스템의 비선형 해석이론에서 경계조 건은 동일하고 모든 비선형항을 무시한 선형이론으로 정식화가 가능하다고 가정한다.
4. 실험, 탄성이론해석, 그리고 비선형 유한요소해석 결과의 비교분석
프리스트레스트 H빔 시험체의 파괴시험을 수행하기에 앞서 강재시편의 인장시험을 실시하였다. 재료시험을 KS B 0801의 13B 시험편에 의한 인장시험을 진행하였으며, 동일 시편을 2회 시험을 진행하였다. 두번의 인장시험 결과로부터 얻는 항복응력 값은 각각 289.82, 302.12MPa임을 알 수 있다. 이 결과와 텐던 실험자료를 참조하여 비탄성 유한요소해석에서 H-빔과 텐던의 항복응력은 각각 300MPa, 1,100MPa을 사용하도록 한다.
Fig. 5부터 Fig. 8은 각각 1개 또는 2개의 텐던을 갖는 시 험체 전경, 상하 플랜지와 복부의 수직변형률과 변위를 측정 하면서 2점 하중에 대한 시험체 파괴시험 장면, LVDT를 이용 하여 수직변위를 측정장면, 그리고 플랜지 국부좌굴과 함께 파괴거동을 보이는 PS H-빔 모습을 보여준다. Fig. 6, 7
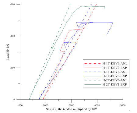
Fig. 9에서 Fig. 12는 텐던이 없는 단순지지된 H-빔(Fig. 1), 편향부없이 한 개의 텐던을 갖는 단순지지 PS H-빔(Fig. 2), 편향부가 설치되고, 한 개의 텐던을 갖는 단순지지 PS H-빔(Fig. 3), 그리고 편향부가 설치되고, 두 개의 텐던을 갖는 단순지지 PS H-빔(Fig. 4)의 2점 하중 파괴시험 결과와 3장에 제시한 비선형 탄성해석결과를 비교하여 그래프로 나타 낸 것이다. 구체적으로 Fig. 9는 H-빔 중앙단면의 하중-상부 플랜지 변형률, Fig. 10은 하중-하부플랜지 변형률, Fig. 11은 하중-중앙처짐, 그리고 Fig. 12는 하중-텐던변형률 결과를 나 타낸 것이다. 여기서 그래프들을 효과적으로 구분할 수 있도록 ‘약어’를 사용한다. 즉, H-빔에 설치되는 텐던의 개수가 텐던 1개, 2개의 경우에 H-1T, H-2T로 표현한다. 편향부 개수가 3인 경우와 없는 경우는 각각 DEV3, DEV0로 나타낸다. 그리고 해석적인 비선형 탄성해석과 실험결과는 각각 끝에 ANL, FEM으로 표현한다. 결과적으로 4개의 시험체 결과는 H-EXP, H-T-DEV0-EXP, H-T-DEV3-EXP, H-2T-DEV3-EXP 로 표시한다. Fig. 14의 아바쿠스를 이용한 비선형, 비탄성 유한 요소해석의 경우는 끝에 PLAS-FEM이 표시된다.
먼저, Fig. 9의 그래프들로부터 실험결과는 탄성영역에서 개발된 비선형 탄성해석이론에 의한 결과와 매우 잘 일치하는 모습을 보여준다. 또한, 텐던이 없는 H빔, H-1T-DEV0, H-1T-DEV3, 그리고 H-2T-DEV3의 순서로 하중-변위곡선의 기울기가 증가하는 경향을 명확히 관찰할 수 있다. 특히, H-1T-DEV3, H-2T-DEV3의 경우는 편향부가 충분히 설치 된 것으로 간주하여 선형해석이론으로 가정하여 예측한 결과와 실험결과가 잘 일치하는 결과를 보여준다. 마지막으로 실험결과 곡선이 예리하게 꺽이는 부분이 관찰되는 것은 하증 증가에 따라 정착부에서 1, 2개의 고장력볼트의 마찰이음이 풀려서 지압이 음으로 전환된 것이 이것의 주요한 원인으로 언급할 수 있다.
또한, Table 1은 3개의 PS H-빔 시험체의 중앙점의 탄성 처짐과 하중의 기울기를 텐던이 없는 H-빔 시험체의 기울기로 나눈 비율을 나타낸 것이다. 편향부가 없는 H-1T-DEV0는 하중증가에 따라 비선형적으로 강성값이 감소하는 반면에 편향 부가 충분히 설치되는 경우는 텐던이 1개, 2개(H-1T-DEV3, H-2T-DEV3)에 따라 1.23, 1.40배 증가한 일정한 강성비율 값을 보인다.
Fig. 13은 보요소, 강체보요소, 그리고 케이블-트러스요소로 구성되는 아바쿠스 유한요소해석 모델을 나타낸 것이다. 그리고 Fig. 14는 4개의 시험체 결과와 이에 대응하는 4개의 유한요 소모델 그리고 덧판(cover plate)이 새로이 부착되고 텐던이 1개와 2개인 2개의 유한요소모델에 대한 비선형, 비탄성해석을 수행하고 해석결과를 하중-중앙처짐 곡선으로 제시한 것이다.
4개의 시험체 및 대응하는 해석모델의 결과는 탄성영역에서 매우 잘 일치하지만, 극한파괴하중은 서로 적지 않은 크기의 차이를 보인다. 이것의 원인은 시험체의 실험조건에서 횡-비틀 림좌굴에 의한 조기파괴를 방지하기 위하여 구속블록을 설치 하였다는 것이다. 횡-비틀림좌굴하중 이상으로 하중이 증가 하면 횡좌굴거동이 발생하여 구속블록과 H-빔 사이에 접촉이 일어나고 이때 정량적인 예측이 어려운 마찰력이 발생하여 연직 방향으로 저항하는 요소로 작용하여 PS 빔의 실제 내하력보다 더 크게 저항할 수 있었던 것으로 판단된다. 아울러, 덧판이 부착되는 경우에 이 덧판의 압축플랜지 강성증가를 가져오고 텐던의 프리스트레싱 작용과 상승작용을 일으켜 상당히 큰 강성 증가와 큰 폭의 극한내력력 증가를 얻을 수 있었다.
이것에 추가하여, Table 2는 H-빔만의 파괴하중에 대하여 상대적인 PS 시스템의 파괴하중의 비율을 나타낸 것이다. Table 2에서 편향부 설치가 강성증가 뿐만 아니라 파괴하중을 증가시키는 효과를 확인할 수 있다. 특히, 덧판은 그 자체로 단 면적 및 휨강성을 증가시킬 뿐만 아니라 텐던의 편심을 증가시 켜서 파괴하중을 크게 증가시키는 탁월한 효과를 관찰할 수 있다.
5. 결 론
직선텐돈에 의하여 프리스트레스를 받는 단순지지된 H-빔의 비선형 탄성 및 비탄성거동을 조사하기 위하여 시험체 실험을 실시하고, 해석적 방법을 이용한 비선형 정식화이론 뿐만 아니라 아바쿠스를 이용한 비탄성 유한요소해석에 의한 결과를 제시 하고, 세 가지 연구 성과의 비교 연구를 실시하여 다음의 결론 을 얻을 수 있었다.
1) 실험결과는 탄성범위 내에서 해석적 방법을 이용한 비선 형 탄성해석결과와 잘 일치함을 보인다. 실험결과와 아바 쿠스 비탄성 해석결과 또한 탄성영역에서 잘 부합하는 결과를 나타내었다.
2) 편향부 개수가 증가함에 따라 텐던의 인장력이 더 빠르게 증가하여 편향부가 미설치된 경우와 비교하여 PS 시스템 전체의 탄성강성 및 파괴하중의 뚜렷한 증가를 보였다.
3) 또한, 다수의 편향부가 설치된 PS H-빔 시스템의 해석 시 기하비선형성(P-d효과)을 무시한 선형해석 만으로도 충분히 정확한 결과를 얻을 수 있다.
4) 텐돈 단면적을 증가시키는 것보다는 H-빔에 덧판을 부착 하는 것이 강성(stiffness)증가와 파괴하중 증가에 훨씬 더 효과적이다.
5) 편향부와 텐던 연결부에서 축방향 슬라이딩을 허용한 해석적 정식화 방법과 이를 허용치 않는 아바쿠스 유한 요소모델의 해석에서 처짐 결과의 큰 차이를 보이지는 않았다.


















