1. 서 론
세계적으로 지진에 의한 인명 및 경제적 피해가 발생하고 있으며, 국내 또한 리히터 규모 5.8의 경주지진을 포함하여 지진의 발생 횟수가 증가하고 있는 추세이다. 이러한 현실에서 구조물의 내진성능을 확보하기 위한 연구 또한 활발히 진행 되고 있다. 지진하중에 대한 구조물의 취약도 평가는 증분동적 해석(incremental dynamic analysis, IDA)을 통한 확률론 적 취약도 평가가 일반적으로 수행되고 있다(Seyedi et al., 2010). 하지만 증분동적해석을 통한 구조물의 해석은 해석에 소요되는 시간이 많아, 모든 구조물에 대해 이러한 방식으로 취약도를 평가하기 어렵다는 현실적인 한계점이 존재한다 (Karim and Yamazaki, 2003).
구조물의 내진성능을 평가하기 위한 다른 방식은 ATC-40 (1996)과 FEMA-273(1997)에서 제시하는 역량스펙트럼법 (Capacity Spectrum Method, CSM)이 있다. 이 방법은 지진에 의해 요구되는 성능(demand spectrum)과 구조물의 성능(capacity spectrum)을 비교하여 성능점을 산정하고, 성능점에서의 구조물의 상태를 평가하는 방식이다. 구조물의 역량(capacity spectrum)은 비선형정적해석을 통해 얻을 수 있으며, 비선형정적해석은 시간증분해석에 비해 해석시간을 대폭적으로 줄일 수 있지만, 다자유도계 구조물을 단자유계로 변환하는 과정에서 오차가 발생하여 구조물의 정확한 성능점을 찾는데 한계가 있다고 할 수 있다(Chopra and Goel, 2002; Freeman, 1998).
역량스펙트럼법을 사용하여 구조물의 성능점을 찾는 연구는 1970대 Freeman에 의해서 처음 제안되었고, ATC-40와 FEMA-273에 정확한 성능평가 방법이 규정되었다. 역량스펙 트럼법은 구조물을 단자유도계로 치환하여 성능점을 찾는 방식이기 때문에 구조물의 자유도가 높아질수록 정확도가 낮아 지는 한계점이 있어, 주로 교량과 같은 단자유도계 구조물에서 연구가 수행되어 왔다(Fajfar et al., 1997; Abeysinghe et al., 2002; Zheng et al., 2003). 이후 다자유도계 구조물에 서 고차모드의 하중에 대한 성능점을 찾기 위해 다양한 고차모 드의 하중을 고려한 역량스펙트럼법의 신뢰성에 대한 연구가 수행되었다(Shakeri et al., 2010; You et al. 2014).
역량스펙트럼법의 신뢰성에 대한 연구가 지속되면서 구조물 의 성능점에서 지진에 대한 취약도를 분석하는 연구가 수행되 었다(Shinozuka et al., 2000a; Shinozuka et al., 2000b). 일반적으로 구조물의 지진에 대한 취약도 곡선을 도 출하기 위해선 감쇠, 가속도 등을 달리한 요구곡선을 사용하여 여러 번의 해석이 수행되어야 하지만, 실제 지진파를 사용한 증분동적해석결과와의 비교는 진행되지 않았다(Shafei et al., 2011; McCrumet al., 2016,). 역량스펙트럼법과 증분동적 해석을 이용하여 지진에 대한 취약도를 비교한 연구(Banerjee and Shinozuka, 2007; Kim and Song, 2014)결과에 따르면, 역량스펙트럼법으로 얻어진 지진취약도 곡선은 증분 동적해석으로 얻어진 취약도 곡선보다 보수적인 결과를 나타 냈다. 기존의 연구들은 역량스펙트럼법으로 얻어진 지진취약도 곡선의 검증단계에 머물러 있다. 구조물의 성능점은 역량스펙 트럼방법으로 얻을 수 있지만, 요구곡선은 설계응답스펙트럼 으로 얻어지기 때문에 지진에 대한 불확실성을 충분히 고려하기 어렵다. 따라서 설계응답스펙트럼에서의 스펙트럼 가속도에 따른 구조물의 성능점에 대한 확률적 해석이 필요하다고 할 수 있다.
본 연구에서는 설계스펙트럼으로 얻어진 구조물의 성능점에 대해 지진의 불확실성을 고려한 확률적 해석을 수행하였다. 예제 구조물을 대상으로 역량스펙트럼법을 이용하여 구조물의 성능 점을 산정하고, 구조물의 성능한계(IO, LS, CP)에 따른 한계 변위를 산정하였다. 이 후, 설계응답스펙트럼과 유사한 스펙트 럼을 가지는 인공지진파를 이용하여 구조물과의 성능점을 산정하고, 얻어진 성능점에서의 스펙트럴 변위와 성능한계에 따른 한계변위를 비교하여 fragility curve를 도출함으로써, 구조물의 성능점을 확률적으로 평가하였다.
2. 역량스펙트럼법을 이용한 구조물 성능점 산정
역량스펙트럼법은 구조물의 역량(capacity)과 지진하중에 의해 결정되는 구조물의 요구(demand)성능을 비교하여 구조 물의 성능점을 산정하는 방식을 말한다. 즉 역량스펙트럼법을 이용하여 구조물의 성능점을 찾는 과정은 Fig. 1과 같다.
1) 비선형정적해석을 통해 얻어진 push-over curve로부 터 구조물의 역량스펙트럼(capacity spectrum) 산정
2) 설계응답스펙트럼을 이용하여 구조물의 요구되는 요구 스펙트럼(demand spectrum) 산정
3) 이 둘을 비교하여 구조물의 성능점을 산정
역량스펙트럼법을 이용하여 구조물의 성능점을 산정하는 방식은 ATC-40에서 procedure A, B, C로 구분하고 있으며, 본 연구에서는 procedure A인 CSM을 이용하여 구조물의 성능점을 산정하였다.
2.1. Capacity spectrum
구조물의 역량스펙트럼을 구하는 방식은 ATC-40과 FEMA- 273에 정리되어 있으며, 비선형정적해석을 통해 얻어진 구조 물의 하중-변위곡선을 스펙트럼 가속도와 변위의 관계로 변환 하여 역량스펙트럼을 구하게 된다. 역량스펙트럼을 구하는 기본 원리는 다자유도계의 구조물을 등가의 단자유도계로 변환하는 데 있고, 따라서 5% viscous damping을 가지는 탄성설계응 답스펙트럼에서 구조물의 비선형성을 고려한 요구스펙트럼과 직접적으로 비교할 수 있다. 만약 구조물이 단자유도계이고 지 진력이 작용시 탄성범위내에서 거동한다면 역량스펙트럼과 요구스펙트럼의 직접적인 비교를 통해 구조물의 성능점을 정확히 찾을 수 있겠지만, 실제 구조물은 다자유도계가 다수이며 탄성범위내에서 설계한다는 것은 비효율적이기 때문에 얻어진 구조물의 성능점을 신뢰할 수 있는 근거가 필요하다. 또한 FEMA-273에서는 1차 고유주기가 1초 이상인 고차모드가 지배적인 구조물에 비선형정적해석을 사용하기 어렵고, 만약 이러한 구조물에 비선형정적해석을 수행하려면 횡하중 분포가 90%의 질량참여율을 갖는 충분한 모드가 고려되어야 한다고 명시되어 있다. 즉, CSM은 구조물의 자유도가 높을수록 부정확할 수 있다는 사실을 내포하고 있다.
본 연구에서는 2차원 4층 1경간 철골구조물을 대상으로 비선형정적해석을 수행하였으며, ATC-40의 방식에 근거하여 역량스펙트럼을 산정하였다. 구조물의 모델링과 해석은 Matlab 을 이용하였으며, Fig. 2는 대상구조물의 세부사항을 정리한 것이다. 예제 구조물은 KBC 2016에 근거하여 강도설계를 실시하였다. 사용된 강재는 SS400이며, 기둥과 보의 단면은 각각 H-428×407×20×35, H-588×300×12×20이다. 기둥과 보는 탄성요소로 구성하였으며, 각 부재의 양단부에 길이가 인 이선형(Bi-linear)소성힌지를 모델링하여 구조 물의 비선형성을 고려하였다, 여기서, Hc는 기둥의 유효 폭, Hb는 보의 유효 폭이다. 고유치 해석결과 구조물의 1차 고유 진동수는 2.43Hz로 1차 모드의 질량참여율이 84.1%으로 75%를 초과하므로, ATC-40과 FEMA-273에 근거하여 횡 하중 분포를 1차 모드 형태로 결정하였다.
Fig. 3은 비선형정적해석 결과는 밑면전단력과 최상층 변위에 대해 나타낸 것이다. CSM을 이용하기 위해선 Fig. 3과 같은 역량곡선(capacity curve)을 가속도-변위형태의 스펙트럼 응답 (acceleration-displacement response spectra, ADRS) 형태로 변환해야 한다. 스펙트럼 가속도 Sa와 스펙트럼 변위 Sd는 ATC-40에 따라 다음의 식 (1)과 (2)를 이용하여 구할 수 있다.
여기서, V는 밑면전단력, W는 구조물의 전체 무게, 는 최상층 변위, 은 1차 모드에 의한 최상층의 진폭이다. 또한 α1과 PF1은 각각 1차 모드 유효질량계수와 1차 모드 모 드참여계수를 말하며 아래의 식 (3)과 (4)로 구할 수 있다.
여기서, wi/g는 i층의 질량, 는 1차 모드의 i층에서의 진폭을 말한다. 위의 식을 이용하여 Fig. 4와 같이 예제 구조물의 역량 스펙트럼을 구할 수 있다.
Fig. 4의 역량스펙트럼은 다자유도계의 예제구조물을 등가의 단자유도계 건물의 보유성능에 대해 나타낸 것이다. 예제 구조 물은 0.25g에서 1층 보의 소성힌지에서 항복이 발생하였고, 점차 항복이 진행되다가 약 0.33g부근에서 모든 소성힌지의 항복이 발생하였다.
2.2. Demand spectrum
설계응답스펙트럼은 5% viscous damping을 가지는 탄성 구조물에 대상 응답을 나타내고 그래프의 세로축은 스펙트럼 가속도 Sa, 가로축은 구조물의 고유주기 Tn에 대해 나타낸다. 이러한 설계응답스펙트럼을 구조물의 역량스펙트럼과 비교하기 위해선 ADRS형태의 요구스펙트럼으로 변환하여야 한다. 아래의 식 (5)는 ATC-40에 정의되어 있는 식으로 요구스펙 트럼에서 스펙트럼 변위 Sd는 스펙트럼 가속도 Sa를 구조물의 고유진동수의 제곱으로 나눈 값을 의미한다.
여기서, Sa값에 중력가속도 g를 곱하는 이유는 보통 Sa값이 중력가속도로 표현되기 때문에 단위를 변환하기 위함이다. 또한 ATC-40에 따르면 요구스펙트럼에 아래의 식 (6)과 (7)로 얻어진 스펙트럼 가속도 와 속도 감소계수 SRA와 SRV를 곱하여 구조물의 비선형성을 고려하도록 하고 있다.
여기서, βeff는 유효등가점성감쇠로 식 (8)을 이용하여 구한다.
여기서, κ는 Table 2에서 구조물의 타입에 따른 감쇠조정계 수이며, βo는 등가점성감쇠로 구조물의 bilinear capacity spectrum의 항복점 와 i번째 구조물의 성능점 로 구할 수 있다. 구조물의 타입은 Table 1, 2에 정리된 바와 같이 A, B, C type으로 나눌 수 있다. 단주기 건물을 대상으로 Type A는 신설건물에 해당되며, Type B는 보통 성능의 기존 건물, Type C는 성능이 낮은 기존건물을 말한다. 예제 구조물의 경우 단주기이고 신설건물에 해당한다고 가정 하여 Type A로 선정하였다.
Table 1
Minimum Allowable SRA and SRV Value (ATC-40)
| Structural Behavior Type | SRA | SRV |
|---|---|---|
| Type A | 0.33 | 0.50 |
| Type B | 0.44 | 0.56 |
| Type C | 0.56 | 0.67 |
Table 2
Value for damping modification factor, k(ATC-40)
| Structural Behavior Type | β0 (percent) | k |
|---|---|---|
| Type A | ≤16.25 | 1.0 |
| >16.25 | 1.13-0.51×(π/2)×β0 | |
| Type B | ≤25 | 0.67 |
| >25 | 0.845-0.446×(π/2)×β0 | |
| Type C | any value | 0.33 |
Fig. 5는 식 (6)과 (7)을 통해 얻어진 SRA와 SRV로부터 구조물의 비선형성을 고려하여 요구스펙트럼이 감소되는 것을 나타낸 것이며, 이러한 과정을 통해 역량스펙트럼과 직접적인 비교를 하여 구조물의 성능점을 산정 할 수 있다.
2.3. Structure performance point
구조물의성능점은 앞서 구한 역량스펙트럼과 요구스펙트럼을 직접적으로 비교하여 구할 수 있다. 본 연구에서는 ATC-40에 서의 procedure A인 CSM방식을 사용하였다. 탄성응답스펙 트럼은 KBC 2016를 기반으로 지반종류 SD, 지역계수 S는 0.22로 정하였으며, 이로부터 얻어진 단주기 설계스펙트럼 가속도 SDS는 0.5867g, 1초주기 설계스펙트럼가속도 SD1은 0.3520g였다.
CSM에서는 구조물의 초기성능점을 역량스펙트럼을 이선형화시킨 곡선에서 초기강성 Kini와 설계응답스펙트럼과의 교차점으로 정의하고 있으며, 앞서 식 (6)과 (7)을 통해 초기 성능점을 기준으로 설계응답스펙트럼을 감소할 수 있다(Fig. 6). 이 후, 요구스펙트럼인 감소된 설계응답스펙트럼과 구조물의 역량스펙트럼의 교점을 2번째 성능점으로 구할 수 있 으며, ATC-40에따르면아래의식(9) 조건에부합한다면최종 성능점으로 산정할 수 있다.
FIg. 7은 위의 과정을 통해 얻어진 구조물의 성능점을 나타 낸 것이다. 초기 성능점은 (87.47, 0.352)이였고, 식 (6)과 (7)을 통해 계산된 감소된 요구스펙트럼과 역량스펙트럼과의 두 번째 성능점은 (87.78, 0.282)로 식 (9)의 조건을 만족하 여 구조물의 성능점으로 산정하였다. Fig. 7에서 역량스펙트 럼의 IO(immediate occupancy), LS(life safety), CP (collapse prevention)에 해당하는 점은 FEMA-356에 따른 성능한계에 따른 한계변위에 대해 나타낸 점이다. 구조물의 요구되는 성능이 LS라고 할 때, 예제 구조물의 성능점은 IO와 LS사이에 위치해 있으므로 요구되는 성능을 만족한다고 할 수 있다. 구조물의 성능한계에 따른 한계변위에 대해서는 3.1절 에서 자세한 설명을 하겠다.
3. 구조물 성능점의 확률적 해석방법
비선형정적해석을 통해 얻어진 구조물의 성능점은 구조물의 요구되는 성능과 보유역량의 비교를 통해 얻을 수 있다. 하지만 이러한 방식은 구조물을 등가의 단자유도계로 치환하여 비교 하는 방식이기 때문에, 고층건물에 적용하기엔 정확하지 않으며, 저층건물이라 할지라도 설계자의 경험에 근거한 판단이 필요한 부분이 있기 때문에 실제로 구조물의 정확한 성능점을 찾기 어 렵다. 또한설계응답스펙트럼과유사한유효최대가속도(effective peak acceleration, EPA)를 가지는 지진파가 건물에 작용 하였을 때, 설계로 얻어진 성능수준을 구조물이 보유하고 있을지 확실히 판단하지 어렵다. 본 연구에서는 구조물의 성능점에 대해 확률적으로 평가하기 위해 설계응답스펙트럼과 비슷한 응답스펙트럼을 가지는 인공지진파에 대해 응답스펙트럼그래프 상 주기가 0인 Sa값을 scaling 하면서 구조물의 성능한계에 대한 취약도 분석을 실시하였다.
Fig. 8는 본 연구에서 수행한 성능점의 확률적 해석방법에 대한 flow chart를 나타낸 것이다. 과정을 정리하면 다음과 같다.
1) 구조물의 역량스펙트럼에서 각 성능한계(IO, LS, CP) 에 따른 한계변위 도출
2) 성능점 산정 후 요구스펙트럼과 유사한 인공지진파 30 개 선정
3) 인공지진파의Sa값(Intensity Measure, IM)을scaling 하여 성능한계를 초과하는 지진파 판별
4) 각 Sa에서 초과되는 지진파의 개수와 총 지진파의 개수의 비를 초과확률로 계산하여 로그누적분포함수의 최적 중앙값과 표준편차를 통한 fragility curve 도출
3.1. 성능한계에 따른 한계변위
구조물의 성능점을 확률적으로 해석하기 위해선 먼저 각 성능한게에 대한 한계변위를 정의하여야 한다. 본 연구에서는 FEMA-356의 철골모멘트골조의 성능한계별 소성변형각을 구조물의 한계상태로 정의하였고, 비선형정적해석결과, 각 한계 상태별 한계변위를 Table 3에 정리하였다. 예제 건물은 접합 부에서 파괴가 발생하지 않는다고 가정하였다.
3.2. 인공지진파를 이용한 확률기반 성능점 평가
인공지진파는 Fig. 9와 같이 설계응답스펙트럼과 유사한 응답스펙트럼을 가지는 총 30개의 지진파를 산정하였으며, 응답스펙트럼상 EPA에 해당하는 주기 0초의 Sa값을 기준 으로scaling 하여구조물의성능한계의초과여부를분석하였다. 구조물의 각 한계상태에서의 설계응답스펙트럽의 EPA에 대응 하는0초주기Sa값은IO레벨에서0.551g LS레벨에서0.879g, CP레벨에서 1.432g였다.

Fig. 9
Response spectrum comparison obtained from design spectrum and a total of 30 artificial seismic waves
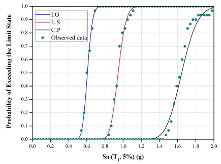
Fig. 10과 같이 본 연구에서 제안하는 방식을 이용하여 구조물의 성능한계를 넘는 인공지진파의 개수를 통해 Sa값에 따른 각 성능한계에 대한 fragility curve를 도출하였다. 얻어진 데이터를 이용하여 최적의 중앙값과 표준편차를 도출하기 위해, 최우도법(maximum likelihood method)을 사용하였고, 각 한계상태별 로그누적분포함수의 중앙값과 표준편차를 Table 4에 정리하였다. 물론 각 손상상태에 대한 불확실성을 고려하기 위해선, 요구곡선과 성능곡선의 변동성과 손상도기준의 변동 성을 고려한 표준편차를 계산해야 하지만, 본 연구에서는 인공 지진파와 구조물의 역량곡선과의 관계만을 분석하기 위해, 이 부분을 제외하고 fragility curve를 도출하였다.
Table 4
Median and standard deviation of log normal cumulative distribution function according to limit state
| Limit State | Median | Standard Deviation |
|---|---|---|
| IO | 0.606 | 0.073 |
| LS | 0.945 | 0.072 |
| CP | 1.645 | 0.083 |
Fig. 11은 인공지진파를 이용하여 구조물의 각 한계점의 초과여부를 통해 얻어진 fragility curve이다. 각 한계점에 대응하는 설계응답스펙트럼의 Sa값에서 각 한계점을 초과할 확률은 IO레벨은 9.1%(Sa=0.551g), LS레벨은 16.3%(Sa =0.879g), CP레벨은 4.6%(Sa=1.432g)이다. 즉, 각 한계 점에 대응하는 설계응답스펙트럼과 유사한 지진파가 건물에 작용시, 구조물의 성능점을 초과할 수 있는 확률을 내재하고 있으므로, 구조물의 성능점을 구할시 설계자는 항시 초과될 확률에 대해 고려하여야 한다고 할 수 있다.
4. 결 론
성능기반 설계방식은 다자유도계 건물을 단자유도계로 치환 하여 구조물의 성능점을 구하므로, 구조물의 자유도가 높아질 수록 정확성을 보장하기 어려운 단점이 있다. 또한 설계응답 스펙트럼보다 낮거나 비슷한 지진이 건물에 작용하였을 때, 구조물이 보유한 성능을 발현할지는 현실적으로 확인하기 어렵다. 따라서 본 연구에서는 비선형정적해석을 통해 얻어진 구조물의 성능점에 대한 확률적 해석기법을 제안하였다.
1) 설계응답스펙트럼에 대해 역량스펙트럼방식으로 구조물의 성능점 평가한 결과, 기둥 부재의 변형각은 0.0082rad로 LS레벨 성능수준의 상한값인 6θy(0.0378rad)로 미만 으로 LS레벨의 성능수준을 보유하고 있음을 확인하였다.
2) 구조물의요구성능수준에따른한계변위를FEMA-356에 근거하여 설정하였고, 설계응답스펙트럼과비슷한30개의 인공지진파를 선정하여 demand curve에서의 Sa값을 기준으로 0.05g간격으로 scaling하여 성능한계점의 초 과여부를 분석하였다. Sa에 따른 성능점을 초과하는 인공지진파의 개수를 이용하여 maximum likelihood method를 통해 fragility curve를 도출한 결과, 각 성능한계점에 대응하는 설계응답스펙트럼의 Sa값에서 IO레벨을 초과할 확룰은 53.7%, LS레벨은 35.7%, CP레벨은 10.8%로 분석되었다.
구조물의 성능점은 설계응답스펙트럼에 대한 성능수준이기 때문에, 실제건물에 지진력이 작용한다면 해석적으로 얻은 구조물의 성능수준을 발현하는지 유무를 현실적으로 확인하기 어렵다. 본 연구에는 구조물의 얻어진 성능수준을 확률적으로 해석하는 기법을 제시하였다. 본 연구에서 사용되는 방식은 시간증분해석이 필요하지 않기 때문에 해석시간을 상당부분 단축할 수 있는 장점이 있으며, 구조물의 성능수준 이상 손상 발생 확률을 Sa에 따라 확인할 수 있기 때문에 실무에서활용될 수 있는 폭이 넓다는 장점이 있다.












