1. 서 론
유황저장탱크는 플랜트에서 건설되는 대표적인 구조물 중 하나로, 유황회수공정을 통해 모인 유황을 저장하기 위한 목적 으로 사용되는 강구조물이다. 유황을 액체상태로 유지하기 위해 탱크 내부에 발열 코일을 설치하여 166℃를 유지하며 한번 가동하면 사고나 긴급상황이 발생하지 않는 한 계속 가동한다. 상온의 유체를 저장하는 일반적인 탱크와 달리 유황저장탱크는 고온의 유체 영향을 고려해야 한다.
유황저장탱크는 일반적으로 지붕, 벽, 바닥판으로 구성되며, 강재로 이루어진다(Fig. 1). 기초는 철근콘크리트 구조물이며 기초 상부에 원형막대형태의 강재 앵커볼트가 설치된다. 탱크는 기초 위에 올려지고 탱크 벽에 안장을 설치하여 앵커볼트와 연결한다. 탱크 벽체와 지붕은 열손실을 최소화하기 위해 단열재로 덮여 있어 대기 중으로 직접 노출되지 않는다. 반면 탱크 바닥판은 하부 기초 위에 설치되기 때문에, 그 사이에 단열재를 설치할 수 없다. 탱크의 자중을 견딜 수 있는 단열재가 부재하기 때문이다. 유황저장탱크의 이러한 특징은 구조설계를 위한 열-구조 연성 해석을 필요로 한다. 하지만 열-구조 연성 해석은 시간 및 전산비용 소모가 크다. 또한 플랜트산업 특성상 빠른 설계가 요구되기 때문에, 유황 저장탱크의 설계는 온도구배에 대한 등가하중을 구하고 이를 구조해석에 적용하는 방법을 사용하고 있다.
여기에 추가적으로 탱크 바닥판의 열팽창이 기초에 미치는 영향이 설계에서 평가되어야 한다. 탱크는 앵커볼트에 의해 기초에 고정된다. 유황저장탱크가 가동 중일 때 탱크의 바닥판은 팽창하지만 기초는 지반에 묻혀 있어 온도변화가 적기 때문에 팽창이 거의 발생하지 않는다. 현행 탱크 바닥판 설계과정 에서는 탱크의 체적팽창을 앵커볼트가 제약하지 않도록 충분한 여유를 확보하는 것이 일반적이다. 하지만 시공간격의 부족이나 다른 이유로 앵커볼트의 간격이 충분하지 않을 경우 이런 하중을 설계에 반영할 필요가 있다. 바닥판과 앵커볼트 사이의 간격이 가까운 경우 또는 열팽창을 앵커볼트로 구속 해야 하는 경우에 앵커볼트를 통해 온도하중이 기초에 전달 된다. 앵커볼트에 작용하는 하중이 충분히 크다면, 이로 인한 바닥판의 균열 및 유황의 외부 유출이 발생할 수 있다. 이러한 점에서 현행 바닥판 설계에 앵커볼트의 열팽창 저항력에 대한 검토가 반드시 필요하며, 이를 설계단계에서 효과적으로 수행할 수 있는 평가법이 개발될 필요가 있다. 앵커볼트에 의한 기초의 파괴형상과 앵커볼트의 파괴형태는 기존의 설계 에서 검토하고 있는 사항이고 본 논문에서는 기존의 설계에서 고려하지 않은 탱크의 팽창에 의한 전단력을 고려하기로 한다.
온도변화로 인한 평판 내 응력 산정에 대한 해석적 연구는 Duhamel(1838)과 Neuman(1885)이 온도 변형을 고려한 수정된 Hooke 법칙을 제시하면서부터 지속된다. Nadai (1925)는 박판(thin plate) 이론에 대한 일반적인 가정을 시작으로 두께 방향으로 선형적 온도 변화를 겪는 탄성 박판의 처짐에 대한 미분방정식을 도출했고, Marguerre(1935)은 Nadai(1925)의 미분방정식을 보다 일반화된 형태로 유도해 냈다. 이 미분방정식은 가열된 평판이 평면상태를 유지하며, 일반화된 평면응력 조건을 적용할 수 있다는 가정을 포함하고 있는데, Sokolnikoff와 Sokolnikoff(1939)는 이러한 가정 없이 이론해를 도출해 낼 수 있음을 보였다. Nowacki(1957)와 Choudhuri(1972)는 원형 박판에서의 정적 열응력을 산정해 냈으며, Wankhede(1982)는 임의 초기온도와 상·하단 온도 차를 갖는 원형평판에서의 정적 열응력을 Bessel 함수를 사용해 급수 형태로 얻을 수 있음을 보였다.
열응력을 받는 평판에 대한 이론해에 관한 연구는 열응력이 발생하는 다양한 전기 구조물의 해석으로 확장된다. Lee 등(1993)은 볼트 연결된 사각 평판 사이에 발생되는 열응력을 산출하기 위한 해석식을 제시하였고, 실험결과를 통해 이를 검증하였다. Wang 등(2000)은 등방성 평판의 보강을 위해 이방성 원형 박판을 부착한 경우 발생되는 잔류 열응력을 산출할 수 있는 명시적 근사해를 제시하였다. Kulkarni와 Deshmukh(2006)은 두꺼운 원형평판 상단에 작용된 경사로 온도 변화로 인한 열응력을 산출하였다. 여기서 열전도 방정식의 해는 Bessel 함수 사용과 Laplace 변환에 의해 급수 형태로 얻어졌다. Ebrahimi와 Rastogo(2008)는 고전 판 이론에 기초하여 경사 기능 압전재(functionally graded piezoelectric material)로 이루어진 원형 박판의 자유진동 해를 해석적으로 도출하고, 이를 3차원 유한요소해석을 통해 검증하였다. 또한 매개변수 연구를 통해 경사 기능 구배 변화가 구조물의 자유진동 특성에 가장 큰 영향을 미치는 것을 확인하였다. Shao와 Ma(2008)은 선형 온도하중을 받는 경사 기능 중공 원형기둥에 대한 TM해석(coupled Thermal-Mechanical analysis)을 수행하였다. 이를 위해 지배방정식을 라플라스 변환을 이용해 도출하였으며, 직경 변화와 온도, 응력, 변위의 관계를 무차원화하여 제시하였다. Kiani 등(2011)은 Pasternak 탄성 지반 위에 놓인 FGM(functionally gradient material) 사각 평판의 좌굴에 대한 해석적 해를 제시하였 으며, 지반 정수 및 기하 변수의 영향을 매개변수 연구를 통해 보였다. Huang 등(2014)은 탄소성 경사 기능 재료로 이루 어진 원통형 쉘 구조물이 비틀림 하중을 받을 때의 반 해석적 해(semi-analytical solution)를 제시하였으며, 경사 기능 재료 물성 및 탄소성 특성이 쉘 구조물 좌굴에 미치는 영향을 논하였다.
앞서 언급된 바와 같이 구조물의 열팽창 구속으로 인한 응력변화를 해석적으로 평가하기 위한 많은 연구들이 있어 왔다. 그러나 앵커볼트에 의한 국부적 구속력을 평가하기 위한 이론해에 대한 연구는 이루어지지 않았다. 따라서 본 연구 에서는 앵커볼트의 국부적 열응력을 평가해낼 수 있는 이론 해를 도출하고, 이것의 유효함을 검증하고자 한다. 이를 위해 온도변화를 겪는 원형평판의 이론해를 활용하여 앵커볼트에 의한 원형평판의 국부적인 열응력 평가식을 구해내고, 도출된 식을 실제 유황저장탱크 문제에 적용하였다. 이를 통해 제안된 이론해가 앵커볼트로 인해 바닥판에 작용하는 열응력을 간단 하면서도 정확하게 평가해낼 수 있음을 보이고자 한다.
2. 본 론
2.1. 이론적 연구
원형 바닥판의 온도가 균일하게 증가하면, 바닥판은 방사 방향으로 균일하게 응력의 발생없이 팽창한다. 그러나 바닥 판의 팽창이 앵커볼트에 의해 구속되면 반력이 발생한다. 본 연구에서는 반력을 해석적으로 결정하기 위해 다음을 가정 하였다.
1) 앵커볼트 반력은 해당 앵커볼트를 기준으로 양쪽 다른 앵커볼트까지의 거리의 절반에 해당하는 바닥판 변형을 구속한다.
2) 앵커볼트는 강체로 거동한다.
3) 앵커볼트의 직경은 매우 작아, 구속력이 집중하중 형태로 작용한다. 이 때 앵커볼트의 반력은 방사방향으로만 발생하고 원주방향으로는 발생하지 않는다.
4) 앵커볼트는 등간격으로 배치되며, 각 앵커볼트 주변의 변형된 형상은 앵커볼트를 기준으로 대칭을 이루며 동일 하다.
위의 가정에 근거하여 원형평판이 온도에 의해 팽창한다고 고려했을 때, n개의 앵커볼트가 전체 바닥판의 팽창을 구속 하게 되어 각 앵커볼트는 360/n˚ 만큼의 팽창을 구속한다. -360/n/2˚에서 +360/n/2˚까지 적분을 하게 되면 앵커볼트 하나에 의해 바닥판에 걸리는 반력을 산출할 수 있다. 원통형 좌표계에서의 변형률-응력 관계는 다음과 같다.
여기서, єr : 반경방향 변형률, єθ : 접선방향 변형률, σr : 반경방향응력, σθ : 접선방향 응력, σz : 평면바깥방향 응력, E : 탄성계수, ν: 푸아송 비이다. 평면응력상태(σz =0)를 가정하면 식 (1), (2)는 식 (3), (4)와 같이 나타낼 수 있다.
식 (1)과 (2)를 이용해 반경방향 응력 σr 에 대한 식으로 정리하면 다음과 같다.(5)
원형평판의 기하 및 축대칭 조건을 적용(єθ = єr)하면 다음과 같다.
온도변화로 인해 앵커볼트에 작용하는 하중을 도출하기 위해, 앵커와 바닥판 사이의 간격 δ를 고려하면, 식 (6)은 다음과 같이 기술된다.
여기서, R : 원형평판의 반경이다. 앵커볼트에 의해 이에 인접한 바닥판의 온도 변형이 완전히 구속된다고 가정하면, 식 (7)은 다음과 같이 기술된다.
여기서, α : 바닥판의 열팽창계수, ΔT : 온도변화이다.
앵커볼트 당 걸리는 온도하중을 산정하기 위해 식 (8)을 사용할 수 있다. 앵커볼트 당 걸리는 온도하중을 구하기 위한 가장 직관적인 방법은 바닥판의 체적팽창이 앵커볼트에 의해 균등하게 구속된다고 가정하고, 식 (9)와 같이 앵커볼트에 인접한 영역의 응력을 적분하는 것이다.
여기서, F : 앵커볼트 당 작용되는 하중, t: 원형평판의 두께, R : 반경, θ : 회전방향 좌표, n: 원형평판을 구속하는 앵커 볼트 개수이다. 그러나 식 (8)을 도출하는데 사용한 가정은 앵커볼트에 바로 인접한 지점에 대해서만 유효하며, 실제로는 앵커볼트에서 떨어진 영역일수록 앵커볼트에 의한 구속에서 자유로워지기 때문에 식 (8)에 의해 얻어진 값보다 작은 열응력을 가지게 된다(Fig. 2). 본 연구에서는 이러한 영향을 고려하기 위해 응력 저감함수 a를 도입하였다. 원형 평판의 변형 경향은 앵커볼트 개수 증감에 따른 구속 정도에 비례적 으로 변화되므로 응력 저감함수는 식 (11)과 같이 앵커볼트 n의 함수로 단순화하여 가정할 수 있다.
식 (10)에 식 (8)을 대입하면, 앵커볼트 당 작용하는 하중은 식 (12)와 같이 정리된다.
식 (12)의 삼각함수 부분 역시 앵커볼트 개수의 함수가 되므로, 응력 저감함수 a에 내재된 형태로 기술할 수 있다.(13)
여기서, a′: a sin(π/n) 이다.
2.2. 응력 저감함수 도출을 위한 수치해석 연구
유황 저장 탱크와 같이 앵커볼트 크기에 비해 원형평판이 크다면, 앵커볼트 주변에서의 열응력은 전체 원형평판의 열응력 분포특성과 상이할 뿐만 아니라, 응력 또한 원형평판 전 영역에 비해 상당히 큰 값을 가지게 된다. 특히 앵커볼트 개수에 의존적으로 이러한 응력 수준이 달라지기 때문에, 유황 저장 탱크의 설계 범위 전체를 포괄할 수 있는 응력 저감 함수를 해석적으로 도출해내기는 쉽지 않다. 이러한 이유로 본 연구에서는 응력 저감함수를 도출하기 위한 유한요소해석을 수행하였다.
수치해석의 수행을 위해 범용 유한요소해석 프로그램인 ABAQUS ver.6.14를 사용하였다. 판요소(CPS3T: 3-node linear displacement and temperature)를 사용하여 바닥판을 모사하였다(Fig. 3). 또한 앵커볼트의 강체거동 및 바닥판과 앵커볼트 사이의 간격을 모사하기 위해, 앵커볼트 설치 지점은 변위가 구속되도록 경계조건을 부여하고 절점 으로 이상화하여 고려하였다. Reference Point를 이용해 앵커볼트를 경계조건으로 모델링하고 판요소의 node와 연결 하여 이를 통해 일정 수준의 열팽창 변위까지는 반력이 발생 하지 않다가 일정 변위에 도달하면 변위가 완전히 고정되게 하였다(Fig. 4).
해석모델에서 바닥판의 직경 및 두께는 통상적으로 사용 되는 유황저장탱크에 상응되는 크기로 가정되었다. 앵커볼트에 작용하는 하중의 평가가 설계 단계에서 사용되므로, 바닥판의 거동은 선형범위로 한정하였으며, 통상적인 강재 물성을 적용 하였다(Table 1). 또한, 도출된 이론해의 적절성을 확인하기 위해 앵커볼트와 바닥판 사이의 간격이 존재하지 않는 경우에 대해서도 추가적으로 해석을 수행하였다. 응력 저감함수의 도출을 위해 앵커볼트 개수 n에 대한 매개변수해석이 수행 되었으며, 앵커볼트 개수 변화는 실제 유황저장탱크 설계에 사용될 수 있는 구간에 대해서만 이루어졌다.
Table 1
Material property and analysis condition
F 를 결정하는 변수들은 모두 고려되었으며 수치해석에서도 같은 변수들을 고려하였다. R , δ, a′을 제외한 나머지 변수 들은 그 값이 고정이거나 변화가 미미하여 여러 경우를 고려 하지 않았다. E , α 는 강재의 고유 특성이므로 정해져있다. 상승 온도는 운영 시 온도로 유황을 저장하기 위한 온도인 166℃로 하였다. 이 온도는 유황의 저장을 위해 필요한 온도로 모든 유황저장탱크에 적용 가능하다. 초기 온도는 상온 평균 기온으로 결정되는데 유황저장탱크가 주로 건설되는 중동의 온도를 기준으로 하였고 다른 지역과 비교해도 상승 온도와의 온도차에 비해 크게 차이가 나지 않기 때문에 고정값을 사용 하였다. t는 바닥판의 두께에 약간씩 차이가 있지만 수치 해석이나 실제 팽창에 영향이 없는 수직방향으로 고정값을 사용하였다. R 은 실제로 10m이내에서 20m이상까지 다양 하지만 주로 10~20m의 탱크가 사용되고 R 과 δ는 상대적인 비율이 중요하므로 R 을 고정하고 δ를 2가지 경우로 고려하였다.
수치해석결과 간격이 있는 경우와 간격이 없는 경우의 반력이 앵커볼트 개수에 따라 Table 2와 같이 나왔다.
Table 2
Result of numerical analysis
| n (EA) | δ=14(kN) | δ=0(kN) |
|---|---|---|
| 8 | 5,480 | 16,000 |
| 12 | 5,160 | 15,100 |
| 16 | 4,830 | 14,200 |
| 24 | 4,150 | 12,300 |
| 32 | 3,610 | 10,600 |
| 48 | 2,850 | 8,710 |
| 64 | 2,260 | 6,630 |
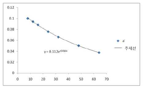
도출된 n - a′ 선도는 Table 2와 같다. 이 결과를 바탕으로 n과 a′의 관계를 도출하기 위해 Fig. 5와 같이 그래프로 나타 내었다.
추세선을 도출하기 위해 지수함수, 대수함수, 거듭제곱함수, 다항함수 등 다양한 식으로 고려하였다. 추세선의 필수조건은 n이 무한대로 갈 때 a′가 0으로 수렴해야 한다. n이 무한대가 되면 전체를 구속하는 상태인데 그 응력값은 이론적으로 구할 수 있으며 상수로 결정된다. n이 무한대가 되었을 때 a′가 0이 아니면 반력의 총합이 무한대가 되기 때문에 a′는 0으로 수렴해야 한다. 위의 함수 중 필수조건을 만족하고 결정계수가 1에 가깝게 최대로 되는 함수인 지수함수로 도출하였다. 그 결과 식 (14)와 같이 추세선을 도출하였다.
위에서 제안한 식을 이용해 수치해석결과와 비교하여 보았다. Table 3은 간격이 있는 경우, Table 4는 간격이 없는 경우의 결과 비교로 평균오차 1 % 미만의 결과가 나왔다.
2.3. 사례 적용
위에서 제안한 식을 실제 사례에 적용하여보았다. 사우디 아라비아의 국영석유회사인 ARAMCO의 한 프로젝트에서 유황회수공정(SRU: sulfur recovery unit)이 건설되었다. 이 공정을 통해 발생한 유황을 저장하기 위한 유황 저장 탱크가 건설되었다. 직경이 26m, 높이 10m에 달하는 대형 탱크로 기초는 Ring Wall 기초로 되어있다(Fig. 6). 기초 위에 등간격으로 32개의 앵커볼트로 설치하여 탱크를 고정 하고 있다. 초기 온도는 평균 기온인 36 ℃에서 운영시 온도인 166℃까지 상승하였다. 주요 제원은 Table 5와 같다.
Table 5
Material property and analysis condition
이 기초는 탱크의 열팽창에 의한 하중을 고려하지 않고 설계되어 앵커볼트에 걸리는 전단력이 356kN에 도달하면 기초에 breakout이 발생하도록 설계되었다. 또한 팽창을 고려하여 바닥판과 앵커볼트 사이를 충분히 띄우지 않았다. 운영을 위해 유황을 코일로 가열하면서 탱크가 팽창하여 바닥판과 앵커볼트 사이의 간격인 14mm보다 더한 21mm의 팽창이 발생하여 바닥판이 앵커볼트를 밀어내고 있었다(Fig. 7). 위에서 제안한 식을 이용하여 앵커볼트에 작용하는 하중을 계산하면 3,686kN이 발생한다. 356kN의 전단력을 받을 수 있도록 설계되었지만 3,686kN의 하중을 받으면서 32개의 앵커볼트 대부분의 주변에서 콘크리트 breakout이 발생 하였다(Fig. 8). 설계 시 고려하지 않은 하중이 작용할 경우 발생하는 문제점을 보여주는 단적인 예로 설계를 위해 제안식이 필요함을 보여주었다. 또한 유한요소해석을 통해 그 하중을 구하지 않고 간단한 식으로 계산하여 계산 시간과 비용을 절감하였다. 또한 유한요소해석의 결과와 비교해도 오차 1% 미만의 결과를 얻을 수 있는 높은 정확도를 검증 하였다. 이 문제점을 해결하기 위해 앵커볼트를 밀고 있는 바닥판을 절단하여 팽창에 대한 여유 공간을 확보하였다. 기초는 구조검토 결과 breakout을 제외한 하중에는 문제가 없어 콘크리트 균열의 일반적인 보수방법인 에폭시 주입을 하여 보수하였다.
3. 결 론
본 연구에서는 원형평판의 국부적인 열응력 평가식을 제안 하였다. 온도변화를 겪는 원형평판의 이론해를 활용하여 앵커 볼트의 국부적 열응력을 평가해낼 수 있는 이론해를 도출 하였다. 유한요소해석을 통해 국부적인 변형을 고려한 응력 저감함수를 도출하였다. 제안된 평가식으로 실제 사례의 유황 저장탱크에 적용하여 검증하였으며 설계 시에도 유한요소해석 없이 간단하고 빠르게 계산할 수 있음을 보여주었다. 아래와 같이 간단히 정리하였다.
1) 상온의 유체를 저장하는 일반 탱크와는 달리 유황 저장 탱크는 열팽창에 의한 영향을 고려해야 한다.
2) 바닥판의 팽창에 의해 앵커볼트에 걸리는 하중은 제안된 식으로 계산할 수 있다.
3) 앵커볼트의 개수가 증가함에 따라 걸리는 하중의 비율은 지수적으로 감소한다.
4) 앵커볼트에 걸리는 하중은 전단력으로 작용하여 기초에 콘크리트 breakout을 발생시킬 수 있다.
5) 바닥판과 앵커볼트 사이의 간격은 열팽창을 고려하여 충분히 확보하여야 한다.
6) 실제로 설계 가능한 범위의 유황 저장 탱크에 적용 가능 하며 앵커볼트의 간격은 등간격일 때 적용 가능하다.










