1. 서 론
LNG 운반선은 LNG 수송의 주요방법으로 주목받고 있으며, 이는 통상 1.1bar의 압력과 -163℃의 극저온 환경에서 LNG를 보관 및 운송하기 때문에 이를 위해 LNG CCS (cargo containment system)라는 특별한 화물창 단열 시스템을 가지고 있다. 이러한 LNG CCS는 극저온 신뢰성이 필수적으로 요구될 뿐만 아니라 안전과 효율적인 수송을 위해 높은 단열성능을 필요로 한다. 이에 따라 최근에는 membrane type CCS가 LNG 운반선에 주로 채택되고 있으며, 이는 LNG 누출 방지를 위하여 dual barrier를 갖추고 있고, 높은 단열성능을 위하여 sandwich insulation board 구조로 이루어져 있다.
LNG CCS의 핵심재료로는 비교적 적은 생산비용과 높은 단열성능을 가지는 폴리우레탄 폼(polyurethane foam, PUF)이 일반적으로 사용되고 있다. 하지만 극저온에서 폴리우레탄 폼이 가지는 낮은 파괴인성에 대한 우려와 동시에 CCS가 항해 중에 다양한 하중을 견디면서 더 큰 LNG 수용능력과 더 좋은 단열성능을 발휘하는 것에 대한 요구가 증가하고 있기 때문에 유리섬유를 이용해 강화된 폴리우레탄 폼(reinforced-polyurethane foam, R-PUF)에 대한 관심이 증가하고 있다. 이러한 폼 형태 재료는 기계적 성질에 대하여 온도, 변형률 속도, 밀도 등과 같은 영향변수를 가진다. 구조 유한유소해석에 사용되는 기계적 성질인 항복강도와 탄성계수는 변형률 속도가 증가함에 따라 증가하는 경향을 가지고, 온도가 감소함에 따라 증가하는 경향을 가진다(Luo et al., 2010; Grave et al., 2012). 또한, 영향변수 중에서도 밀도는 기계적 성질에 가장 큰 영향을 미치는 중요변수 중 하나로 알려져 있으며(Fabrice et al., 2006), 이 밀도는 기공비율에 의하여 결정되는데, 여기서 기공비율은 재료의 전체 부피에 대한 기공의 비율을 의미한다.
연속체의 관점에서 재료의 기공비율을 손상으로 간주하여 분석하는 기법이 근래 수십 년간 연구되어 왔다. Mcclitock (1968)은 재료의 파괴가 재료내부에 존재하는 기공의 성장에 의해 이루어지는 모델을 제안하였고, Rice와 Tracey(1969)는 이 모델을 발전시켜 고체 내부에 하나의 구형 기공(spherical void)이 존재한다는 가정 하에 파괴를 모사하였다. Gurson (1977)은 재료가 연속체 거동을 한다는 가정으로 단일 기공이 아닌 다공성 매체에서 기공간의 합체를 통해 재료의 파괴를 모사하였다. 더 나아가 Tvergaard와 Needleman(1984)은 Gurson의 모델을 수정하여 GTN(gurson-tvergaard-needleman) 모델을 제안하였다. 이러한 모델을 사용하기 위해서는 재료모델이 가지고 있는 고유상수를 결정하는 수치해석 과정이 필요하며, 현재 각종 재료에 대한 GTN 모델의 재료모델상수가 여러 연구자들에 의해 결정되어 재료의 파괴를 모사하는데 사용되고 있다(Lee et al., 2009).
따라서 본 연구에서는 영향변수를 밀도로 설정하여 밀도가 구조해석에 필요한 폴리우레탄 폼의 기계적 성질인 항복강도와 탄성계수에 미치는 영향에 대하여 조사하고, 영향변수 밀도와 폴리우레탄 폼의 기계적 성질간의 관계를 규정하는 empirical formula를 회귀분석을 적용하여 제안하였다. 또한, 이 empirical formula를 기공비율을 이용해 재료의 거동을 모사할 수 있는 Gurson damage model에 적용하여 User Subroutine의 사용자 재료모델로 작성하였으며, 이를 ABAQUS와 연계하여 비선형 유한요소해석을 수행한 후 압축실험결과(밀도 133kg/m3, 변형률 속도 0.001s-1)와 비교함으로써 유효성을 검증하였다.
2. 밀도특성에 대한 문헌조사
영향변수 밀도에 대한 폴리우레탄 폼 기계적 성질의 문헌조사는 LNG CCS의 insulation board에 작용하는 주된 하중인 압축하중에 대하여 수행되었다(Siegmann et al., 1983; Thirumal et al., 2008). Siegmann 등은 폴리우레탄 폼을 20×20×17mm와 100×10×4mm의 시편으로 제작하여 기계적 성질을 실험하였으며, 밀도는 거푸집의 용적을 알고 있는 상태에서 원하는 무게의 시편을 제작하는 방법으로 조절되었다. Thirumal 등은 시편을 55×55×30mm의 제원으로 제작하여 압축실험을 수행하였으며, 시편의 밀도는 발포제로 사용된 증류수의 양을 통하여 조절되었다.
본 연구의 문헌조사는 폴리우레탄 폼의 발포제 종류와 강화 방법 및 강화 정도는 고려하지 않은 상태에서 수행되었으며, 영향변수인 밀도에 영향을 받는 기계적 성질로는 구조해석 상에 사용되는 대표적 기계적 성질인 항복강도와 탄성계수를 고려하였다. Fig. 1, 2는 각각 항복강도와 탄성계수에 미치는 밀도의 영향에 대한 문헌조사 결과를 나타낸다. 상기 문헌조사의 결과에서는 고려되지 않은 변수들의 이유로 다소 편차가 존재하지만 밀도가 커짐에 따라 폴리우레탄 폼의 기계적 성질 또한 일정한 경향성을 가지고 높아짐을 확인할 수 있다.
영향변수 밀도와 폴리우레탄 폼의 기계적 성질간의 상관관계를 규정하는 empirical formula를 수식적으로 표현하기 위하여 문헌조사 데이터에 대한 회귀분석을 수행하였다. 회귀분석은 항복강도에 지수함수의 형태를 사용하고 탄성계수에 멱급수의 형태를 사용하여 표현하였으며, 이에 대한 회귀분석 식은 식 (1)과 같다.
(1)
여기서, σy0와 E는 각각 주어지는 밀도에 대응하는 초기항복강도와 탄성계수를 의미하며, ρ는 밀도(kg/m3), a및 b는 회귀분석 식의 계수로 해당 결과는 Table 1과 같다.
문헌조사를 통해 얻어진 empirical formula는 구성방정식의 수치적 구현에 있어서 탄성강성에 포함되는 탄성계수와 hardening rule에 포함되는 초기항복강도를 결정하기 위해 사용된다.
3. 폴리우레탄 폼 거동모사 구성방정식
Gurson은 재료 제작 초기에 불순물 또는 게재물이 포함되어 재료 내부에 기공이 생성된다는 가정 하에 재료의 파괴과정을 기공의 생성(growth), 성장(nucleation), 합체(co-alescence)의 과정으로 설명하였다. 하중을 받는 재료가 선형탄성거동 후 소성영역에 도달하면서 소성변형과 정수압 응력에 의해 제작 초기부터 존재한 기공이 성장하고 확장되며, 이러한 기공의 확장이 지속되면 확장된 기공과 주변 기공 사이의 모재가 국부변형을 일으켜 구조물 자체의 네킹이 발생하고, 이렇게 성장한 기공들은 주변 기공들과 합체하여 최종적으로 구조물의 파괴가 발생하는 것으로 설명하였다. Gurson 모델에서의 재료 파괴는 기공체적비율 f의 성장으로 모사되지만 Tvergaard 등은 Gurson 모델이 재료의 파단을 실제 실험결과에 비하여 과소평가한다고 판단하고 기공체적비율 f를 유효기공체적비율 f*로 수정하여 수정된 항복함수를 제시하였다. 이와 같이 수정된 Gurson 모델을 GTN 모델이라 하며, 이 모델은 변형경화와 손상을 포함하고 있어서 대변형 문제와 재료파괴를 모사하는데 적합한 모델로 인정받고 있다(Tvergaard and Needleman, 1984).
GTN 모델은 Gurson 모델의 항복함수에 재료모델상수 q1, q2, q3를 포함한 식 (2)와 같은 항복함수를 제안한다.
(2)
여기서, σy는 재료의 항복응력이며 p는 정수압응력, q는 등가응력으로 각각 단위텐서 I를 이용하여
, 편차응력텐서 s=σ+pI를 이용하여
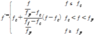
인 von-Mises stress를 의미한다. 상기 항복함수에서 사용되는 유효기공체적비율 f*는 식 (3)과 같다.
(3)

여기서, fc, fF는 각각 임계기공체적비율, 파단기공체적비율을 의미하며, 재료 내부에 기공의 비율이 커질수록 기공체적비율이 커지게 되면서 항복함수가 작아지기 때문에 재료가 연화되기 시작한다. 또한, 식 (2)의 항복함수는 기공이 성장하면서 기공체적비율이 임계기공체적비율에 도달하게 되면 수정된 유효기공체적비율이 적용되어 기공의 성장이 가속화되는 과정을 효과적으로 모사한다. 이 후 생성과 성장을 거친 기공들 간의 합체가 이루어지면서 기공체적비율이 파단기공체적비율에 도달하면 재료가 하중을 전달할 수 있는 능력을 완전히 상실하게 되고, 이로써 재료의 파단을 예측할 수 있게 된다.
기공체적비율의 증분은 식 (4)~(6)과 같은 기공의 성장과 생성에 관한 관계식으로 표현된다.
(4)
(5)
(6)
여기서,
는 기공체적비율의 증분이며, 이는
와
으로 나누어져서 각각 기공의 성장과 생성에 관련된 기공체적비율의 증분으로 표현된다. 그리고
는 소성변형률 증분,
은 등가소성변형률 증분을 의미한다. 기공의 생성에 필요한 변형률의 확률적 분포는 표준정규분포의 형태로 가정하여 식 (7)과 같이 정해진다.
(7)
여기서,
, εN, sN, fN은 각각 등가소성변형률, 표준정규분포의 평균, 표준편차, 단위체적 당 생성이 가능한 기공체적비율을 의미한다.
4. GTN model의 수치적 구현
이 장에서는 상기 GTN 모델 구성방정식의 수치적 구현에 대하여 설명할 것이며, GTN 모델의 수치적 구현은 return mapping algorithm과 결합된 implicit method에서 elastic prediction과 plastic correction을 포함한다(Aravas, 1987).
총 변형률은 식 (8)과 같이 탄성영역과 소성영역으로 나눠진다.
ε=εe+εp (8)
소성변형률 증분은 상관소성흐름법칙을 사용하여
0의 영역에서 식 (9)와 같이 표현된다.
(9)
여기서, λ는 소성승수이며, n은 항복함수에 수직한 흐름방향으로
으로 계산된다.
상기 소성변형률 증분은 spherical 소성변형률 부분 ∆εp와 deviatoric 소성변형률 부분 ∆εq로 더 나눠지며, 전자는 체적소성변형에 관계되며 후자는 형상소성변형에 관계된다.
(10)
(11)
(12)
식 (11)과 (12)에서 λ를 소거하면 식 (13)을 유도할 수 있다.
(13)
등가소성일의 원리를 통한 등가소성변형률은 다음과 같다.
(14)
등가소성변형률 식 (14)에 식 (10)을 대입하면 식 (15)를 얻을 수 있다.
(15)
GTN모델의 수치적 구현에서는 기공체적비율 f와 등가소성변형률
이 스칼라 내부변수로서 고려되며, 아래 7단계의 주요단계를 가진다(Achouri et al., 2013).
-1단계: 시간 t=0일 때의 초기변수 σt, εt, ft,
, ∆εt+∆t를 설정한다.
-2단계: 변형률 증분을 순수탄성영역이라 가정하고 elastic predictor를 다음과 같이 결정한다.
(16)
여기서, C는 탄성강성을 나타내는 4차 텐서이며, 본 연구에서 탄성강성이 포함하는 탄성계수는 식 (1)을 이용하여 결정되었다.
- 3단계: 정수압응력 p와 등가응력 q를 계산한다.
(17)
(18)
- 4단계: GTN 항복함수를 계산한다.
(19)
0라면, 현재의 응력상태는 탄성영역이므로 σt+∆t=
이다. 이후 6단계를 수행한다.
0라면, 현재의 응력상태는 소성영역이므로 5단계를 통해 plastic correction을 수행한다.
-5단계: Newton-Raphson 반복법을 이용하여 plastic correction을 수행한다.
(20)
(21)
상기된 흐름법칙과 일관성조건은 반드시 식 (22)의 등가 소성일의 원리와 동시에 만족되어야 한다.
(22)
여기서, i는 반복법에서의 반복횟수를 의미하며, 위의 알고리즘은 |RES1|과 |RES2|의 값이 허용오차 μt=10-7 보다 작아지게 될 때 종료된다.
- 6단계: 변수를 갱신한다.
p=ptrial+K∆εp (23)
q=qtrial-3G∆εq (24)
σ=-pI+s (25)
(26)
(27)
여기서, K는 체적계수로 K=E/3(1-2ν), G는 전단계수로 G=E/2(1+ν)이며, E와 ν는 각각 탄성계수와 프아송 비를 의미한다. 본 연구에서 폴리우레탄 폼의 프아송 비는 0.3이 사용되었다.
마지막으로, 다음과 같이 상태변수를 실제화한다.
(28)
f=f(t)+∆f (29)
-7단계: GTN 모델의 수치적 구현을 위한 계산을 종료한다. 이후의 진행은 새로운 시간 증분에서 이루어지게 된다.
5. 유한요소해석의 GTN model 적용
재료의 비선형 거동을 GTN 모델을 이용하여 해석하기 위해서는 대상 재료에 적합한 재료모델상수, 초기 기공체적비율, 재료의 변형경화를 모사하기 위한 변형경화상수를 결정해야한다. 본 연구에서 이러한 재료상수들은 폴리우레탄 폼을 실제 압축실험 한 결과와 비교하여 결정되었고, 폴리우레탄 폼의 유한요소해석은 상용 프로그램인 ABAQUS/Stan -dard의 User Subroutine 옵션을 사용하여 수행되었다.
상기 User Subroutine 옵션은 UMAT(user-defined material)으로서 재료 모델의 구성방정식을 작성하여 해석 시 ABAQUS와 연동되어 사용된다. UMAT은 제안된 구성방정식을 이용한 유한요소해석을 수행할 때 주 해석 프로그램으로 사용성과 안정성이 검증된 ABAQUS의 이용이 가능하기 때문에 재료모델을 개발하는데 많이 사용되고 있다(Yang, 2010). 또한, ABAQUS는 전처리 및 후처리 기능을 통하여 구조물의 모델링을 수행할 수 있을 뿐더러 모델링에 대한 해석결과를 얻을 수 있기 때문에 해석 수행시간의 절감이 가능하다는 장점을 가진다.
5.1 해석 대상 및 유한요소 모델
GTN 모델의 재료상수를 결정하기 위해 만능재료시험기(KSU-5M)을 이용하여 한국산업규격에 따라 제작된 밀도 133kg/m3의 폴리우레탄 폼 시편을 압축실험하였다. 시편 제원은 50×50×50mm의 brick type이며, 실험 조건은 상온 및 준정적 변형률 속도 0.001s-1을 설정하였고, 수행된 압축실험 결과로 Fig. 3에 보이듯이 1) 선형탄성 구간, 2) 응력 평형부 구간, 3) 고밀도화로 인한 급격한 응력 상승부 구간을 확인할 수 있다.
Fig. 4는 폴리우레탄 폼의 비선형 압축거동 해석을 위한 유한요소모델을 나타낸다. 경계조건으로 2와 3의 면에 각각 z방향 병진운동 구속, y방향 병진운동 구속이 부과되었으며, 1의 면 맞은편인 4의 면에 x방향 병진운동 구속이 부과되었다. 또한, 하중이 1의 면에 고르게 전달된다는 가정 하에 변위제어 방식을 통해 압축되었으며, 해석은 125개의 8절점 3차원 저감적분 입방요소 C3D8R을 이용하여 수행되었다.
본 연구에서 GTN 모델의 재료모델상수 도출을 위해 비교된 유한요소해석 값과 실험결과 값은 x방향 변위에 대한 변형률과 응력으로 설정되었다. 또한, 본 연구에서 모사하는 압축거동은 폴리우레탄 폼의 초기 밀도를 기준으로 하기때문에, GTN 모델을 이용한 해석에 있어서 압축에 의해 증가하는 밀도는 고려되지 않았다.
5.2 폴리우레탄 폼의 비선형 압축거동에 대한 수정된 GTN model 제안
GTN 모델에서 기공체적비율은 압축에 대해 마이너스 성장해야 하며 생성은 없어야 하고, 유효기공체적비율의 효용성이 사라지기 때문에 본 연구의 폴리우레탄 폼 비선형 압축거동 모사를 위해 f*=f이 사용되었다.
폴리우레탄 폼은 압축에 대하여 선형탄성 구간 후 응력 평형부 구간을 지나게 되는데, 이는 기공으로 존재하던 빈 공간이 압축으로 메워지는 구간이기 때문이라 고려된다. 이에 대하여 본 연구에서는 응력 평형부 구간이 끝나는 지점을 ε=0.25로 설정하였으며, 선형탄성 구간이 끝난 후 이 지점까지 기공체적비율이 감소하여 완전히 소멸되는 것으로 모사하였다. 하지만 기공체적비율의 증분을 성장 성분
만 사용하여 모사하기엔 무리가 있다 판단하고 기공체적비율의 감소를 가속화시키는 재료상수 Q를 추가로 적용하였으며, 수정된 기공체적비율의 증분은 식 (30)~(32)와 같다.
(30)
(31)
(32)
기공체적비율 f가 0이면 GTN 모델은 von-Mises 모델과 같아지기 때문에 응력 평형부 구간이 끝난 후 기공체적비율이 0이 되어 고밀도화로 인한 급격한 응력 상승이 일어나는 구간에서는 항복함수로 von-Mises 모델을 사용할 수 있다. 따라서 ε=0.25 이후의 구간에서는 식 (33)의 von-Mises 항복함수를 사용하여 압축거동을 모사하였다.
(33)
이 외에, 재료의 변형경화를 모사하기 위해 식 (34)로 표현되는 Ramberg-Osgood 방정식을 사용하였다.
(34)
여기서, KY와 MY는 Ramberg-Osgood 변형경화상수이며, 초기항복강도 σy0는 식 (1)을 이용하여 결정되었다.
변형경화는 재료의 압축거동을 충분히 모사하기 위해 다음과 같이 세 구간으로 나누어져 각각 정의되었다.
1) 응력 평형부 구간(ε=0~0.25),
2) 첫 번째 고밀도화 구간(ε=0.25~0.55),
3) 두 번째 고밀도화 구간(ε=0.55 이후)
Ramberg-Osgood 방정식의 등가소성변형률은 각 구간의 시작점에서
0으로 초기화된 후 식 (26)을 통해 새롭게 축적되는 등가소성변형률을 대입하여 계산되었다.
5.3 GTN model 재료모델상수 도출 결과
폴리우레탄 폼의 압축실험결과와 ABAQUS의 UMAT을 이용하여 수행된 해석결과는 Fig. 5로, 압축에 의한 항복 및 변형경화를 포함한 재료의 비선형 거동을 응력-변형률 관계로써 나타내고 있으며, 수행된 비선형 유한요소해석의 결과가 실험을 통해 얻어진 실제 폴리우레탄 폼의 압축 거동을 효과적으로 모사하고 있음을 이로부터 확인할 수 있다.
GTN 모델의 재료모델상수 중 q1, q2, q3는 기존의 Gurson 모델에 비해 GTN 모델이 재료의 비선형거동을 보다 효과적으로 모사하게 해주는 의미를 가지고 있으며, 많은 선행 연구를 통해 재료모델상수 집합으로 q1=1.5, q2=1.0, q3=q12이 제안되어 있다. 하지만 이는 초기 기공체적 비율 f0가 재료 제작 시의 불완전성으로 인하여 발생하며 0에 가깝다는 금속재료에 한하여 결정된 것이기 때문에 폼 형태 재료에는 부적합하다. 폴리우레탄 폼에서 초기 기공체적비율은 밀도를 결정하는 중요한 의미를 가지고 있으며, 본 연구에서는 상기 재료모델상수를 도출하기 위해 초기 기공체적비율을 0.53으로 설정하였다(Degenstein, 2007).
Table 3
Parameters of ramberg-osgood
| Hardening Parameters | KY | 1/MY | |
|---|---|---|---|
| GTN | 1) ε=0~0.25 | 1.21 | 1.02 |
| von-Mises | 2) ε=0.25~0.55 | 10.96 | 1.62 |
| von-Mises | 3) ε=0.55~ | 7500 | 2.09 |
Table 2, 3에는 각각 수정된 GTN 모델의 재료모델상수와 변형경화를 모사하기 위해 결정된 변형경화상수가 정리되었다. GTN 모델의 재료모델상수는 q3=q12을 유지한 채로 새롭게 도출되었다. 하지만, 이러한 재료모델상수와 변형경화상수는 폴리우레탄 폼의 비선형 압축거동을 모사하는 유일한 변수 집합이 아니며, 압축실험 외에 비틀림실험, 인장실험 등에 대한 분석이 추가로 수행되어야만 유일한 변수 집합의 도출이 가능하다.
6. 결 론
폴리우레탄 폼 밀도의 영향을 고려하여 제안된 GTN 및 von-Mises 모델은 Fig. 6과 같이 사용자 재료모델 UMAT에 탑재되었으며 Fortran 언어로 작성되어 ABAQUS 상에서 재료 카드로 사용할 수 있도록 하였다. 또한, 상기 유한요소해석은 실제 압축실험결과와 비교하여 검증되었으며, 본 연구에 따른 결론은 다음과 같다.
(1)밀도를 영향변수로 설정하여 기계적 성질에 대한 문헌조사가 수행되었고, 그 결과를 이용하여 밀도와 기계적 성질간의 empirical formula를 회귀분석을 통해 도출하였다. 밀도 133kg/m3에 대하여 항복강도는 지수함수 회귀분석식과 해석의 검증을 위해 수행된 압축실험에서 각각 1.3874MPa과 1.3644MPa으로 1.657%의 오차를 보였고, 탄성계수의 경우에 멱급수 회귀분석식과 압축실험에서 각각 24.9941MPa과 24.3614MPa으로 2.531%의 오차를 보였다. 상기 empirical formula는 제안된 GTN 모델의 수치적 구현에 탑재되었으며, Fig. 5의 해석결과에서 볼 수 있듯이 제안된 empirical formula를 통하여 폴리우레탄 폼의 밀도에 따른 기계적 성질이 효과적으로 구조해석에서 결정되어 사용될 수 있음이 확인되었다.
(2)GTN 모델의 재료모델상수들은 폴리우레탄 폼의 기공체적비율이 항복점부터 ε=0.25까지 줄어들어 완전히 소멸되는 것으로 가정하여 결정되었다. 결정된 재료모델상수 집합이 기공체적비율의 감소와 비선형 압축거동을 성공적으로 모사할 수 있음을 확인하였고, 제안된 변형경화 방정식을 통해 응력 평형부 구간과 응력 급상승 구간을 Ramberg-Osgood 변형경화상수만 변화시켜 적절히 구현할 수 있음을 확인하였다. 하지만 유일한 재료모델상수 집합을 얻어내기 위해서는 인장 및 비틀림 실험을 비롯하여 압축에 따른 기공체적비율의 변화에 대한 실험이 추가적으로 필요하다.
(3)본 연구에서는 폴리우레탄 폼의 압축거동만을 고려하였기 때문에 기공의 생성을 무시하였으며 유효기공체적비율을 기공체적비율과 같게 설정하였다, f*=f. 하지만 폴리우레탄 폼의 인장거동에서는 기공의 생성이 존재하기 때문에 위의 조건을 사용할 수 없다. 또한, LNG CCS에 사용되는 폴리우레탄 폼의 인장거동은 취성거동에 가깝기 때문에(Mclntyre and Anderton, 1979), GTN 모델을 이용한 인장거동 모사보다 파괴역학을 이용한 criteria를 개발하는 것이 더욱 효과적일 것이라 사료된다.
(4)현재 선박에서 사용되고 있는 복합재료의 거동을 구성 모델을 통해 모사하는 연구가 활발히 진행되고 있다. 그 중 폴리우레탄 폼 및 복합적층판에 대한 연구논문과 본 논문이 Table 4에 비교되었다(Lee et al., 2015; Lee et al., 2015). 다양한 이유로 복합재료가 선박에서 사용되는 경우가 증가하고 있기에 본 연구와 같이 복합재료의 특성을 고려한 구성모델의 개발은 선박구조해석 분야에 효과적으로 적용될 수 있으리라 생각되며, 본 연구에서 제안된 GTN 및 von-Mises 모델은 LNG CCS에 부과될 수 있는 슬로싱 하중을 포함한 다양한 압축하중에 대하여 폴리우레탄 폼이 구조부재로서 수행하는 역할을 재료 비선형성을 고려하여 분석하는데 유용하게 사용될 것으로 기대된다.
Table 4
Comparison of this paper with recent papers for constitutive model of composite materials
* Title: 1.A temperature- and strain-rate-dependent isotropic elasto-viscoplastic model for glass-fiber- reinforced polyurethane foam
2.Initial and progressive failure analyses for composite laminates using Puck failure criterion and damage-coupled finite element method








