1. 서 론
최근 국내에서는 고층 공동주택 벽식 아파트를 건설할 때, 하부에 지하주차장 공간을 확보하거나 1층부 공용공간의 자유 로운 확보를 위해 RC 전이슬래브 시스템을 사용하는 경우가 증가하고 있다(Yoon et al., 2009). 따라서 구조체의 하중 흐름이 급격하게 변경되는 구간인 RC 전이슬래브 시스템은 안 전하고 합리적인 구조설계가 전체 구조물의 안전성 확보측면 에서 매우 중요하다. 그러나 현재 RC 전이슬래브 구조설계에 있어서 가장 큰 문제로 지적되는 것은 Fig. 1과 같이 RC전이 슬래브 구조설계 시 두께가 얇은 RC 무량판 슬래브를 위해 개발된 설계방법이나 구조성능평가 방법을 전이슬래브 구조 설계에 그대로 사용한다는 점이다(Yoon et al., 2008). 특히, 두께가 20cm 내외인 RC 무량판 슬래브의 2면 전단거동은 휨 -전단 거동을 기본으로 하지만(Park and Choi, 2007) 두께 가 1.5~4m에 이르는 RC 전이슬래브의 2면 전단거동은 대부 분의 경우 직접전단으로 거동할 것이며 거동양상이 판이할 것 이라고 판단된다. 따라서 RC 무량판 슬래브의 2면 전단설계 방법을 그대로 사용하는 기존의 RC 전이슬래브의 설계방법은 안전하고 합리적인 설계를 보장한다고 할 수 없으며, 직접전단이 지배적인 RC 전이슬래브의 안전하고 합리적인 설계를 위해서는 RC 전이슬래브 시스템에서 슬래브-기둥 접합부의 2면 전단 거동양상에 대한 분석이 필요하다.
본 연구에서는 다양한 설계변수에 따른 전이슬래브의 전단 거동양상을 비교적 정확하게 분석하기 위하여 비선형유한요소 해석을 수행하였다. 비선형 재료모델과 육면체의 유한요소를 사용하여 모델링을 진행하였으며, 기존의 진행된 연구의 실험 결과와 비선형유한요소해석의 결과를 비교하여 비선형유한요소 모델의 유효성을 검증하였다.
또한 다양한 사례를 바탕으로 전이슬래브 시스템의 프로토 타입을 선정하였으며, 검증된 해석모델과 선정한 프로토타입을 사용한 전이슬래브의 두께, 압축강도, 전단경간비, 철근비의 변화에 따른 변수해석을 진행하여 RC 전이슬래브의 2면 전단 거동양상을 분석하였다. 마지막으로 변수해석을 통해 산출된 RC 전이슬래브의 2면 전단강도를 KCI 2012(Korean Concrete Institute, 2012), ACI 318(ACI Committe 318, 2008), EC-2(Eurocode 2, 2004)의 설계기준으로 평가하여 기존에 사용되고 있는 설계식의 RC 전이슬래브 2면 전단강도 평가의 유효성을 검토하였다.
2. 비선형유한요소해석 모델 및 검증
2.1 비선형유한요소해석 소개
비선형유한요소해석을 통한 전이슬래브의 2면 전단강도를 평가하기 위하여 비선형유한요소해석 프로그램인 Midas FEA(Midas, 2008)를 사용하였다. 본 연구에서는 유한요소 해석에서 일반적으로 많이 사용하는 육면체 요소를 사용하였 으며, 육면체의 유한요소는 절점당 3개의 자유도를 갖는다.
해석연구를 위해 사용된 재료모델은 기존 연구를 통해 RC 슬래브 전단강도 평가에 적합하다고 알려진 재료모델(Kang et al., 2016;Jang et al., 2018)을 참고하였다. 콘크리트 의 재료모델은 비선형 거동을 적절히 나타내기 위하여 분산 균열모델 중 전변형률 균열모델(total strain crack model)을 사용하였다(Fig. 2(a)). 전변형률 균열모델은 국부적으로 발생 하는 균열이 넓은 면에 고르게 분산된다고 가정하여 해석하는 방법으로 상기 모델 방법은 유한요소 모델링이 비교적 간단하며 수렴성이 뛰어난 것으로 알려지고 있다(Midas, 2008). 본 연구 에서는 균열축이 주변형률의 변화에 따라 균열 방향이 지속적 으로 회전한다고 가정하는 방법인 회전균열모델(Fig. 2(b))을 사용하였으며, 회전균열모델은 해석결과의 수렴성이 우수하여 철근콘크리트 구조물의 비선형 해석에 자주 이용된다(Midas, 2008).
콘크리트의 압축모델로는 횡구속에 따른 콘크리트의 강도와 연성 증가를 합리적으로 표현하는 것으로 알려진 Thorenfldt (1987)의 경화곡선 모델(Fig. 3(a))을 사용하였으며, 경화곡 선 모델을 구성하는 식은 다음 식 (1)과 같다(Thorenfldt, 1987).
여기서,
f = Compressive stress
fp = Maximum compression stress
αi = Compression strain
αp = Strain of maximum compressive stress
콘크리트의 인장모델로는 multi-linear 모델을 사용하였 으며, 상기 모델은 다른 모델과는 달리 직접 실제 응력 값과 변형률 값을 정의하여 입력하는 방법으로 Fig. 3(b)와 같이 정의하였다(Midas, 2008). Fig. 3(b)와 같이 정의된 콘크리트 인장모델은 콘크리트의 인장응력에 콘크리트와 철근의 부착 효과가 철근이 항복할 때까지 영향을 미치며, 부착효과가 철근의 항복 이후에는 영향을 미치지 못한다고 가정하였으며, 이는 Park(1995)의 연구 결과를 토대로 보수적으로 정의한 콘크 리트의 인장강도 모델이다. 본 연구에서의 철근모델로 von Mises 파괴기준(R. von Mises, 1913)을 사용하여 해석을 수행하였으며, 철근은 입체요소 안에서 모델링이 가능하며 3차원 곡선을 정의하는 bar element를 사용하여 모델링하였다 (Midas, 2008).
2.2 비선형유한요소해석 방법 검증
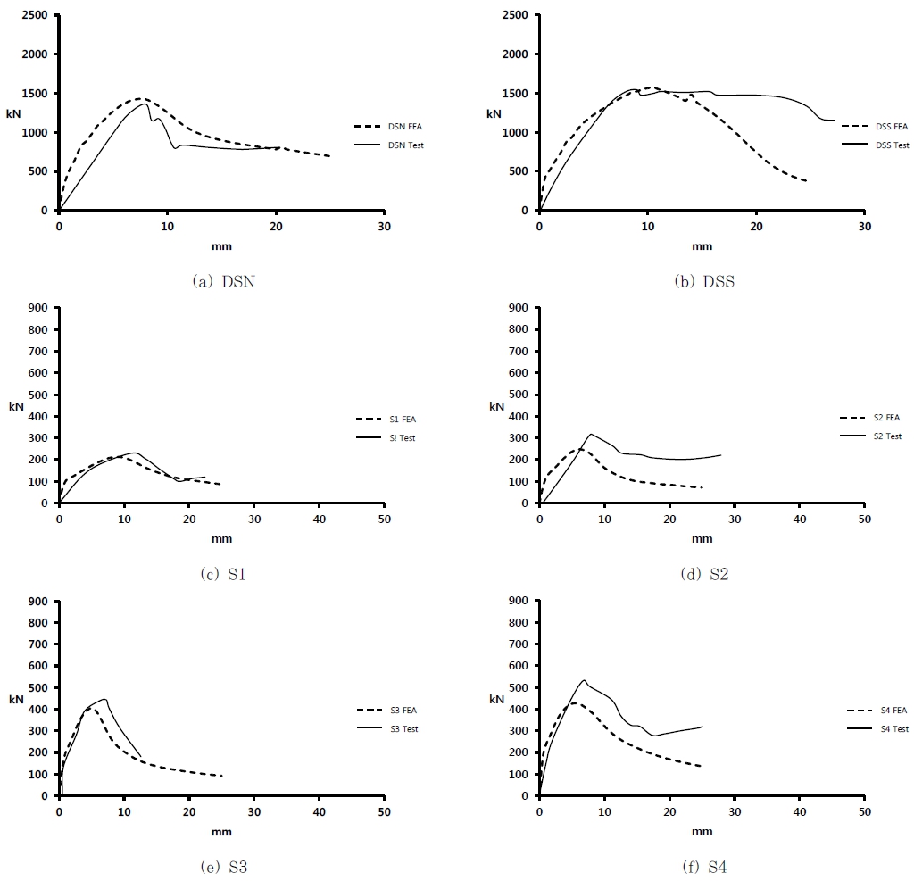
비선형유한요소의 수치해석 방법을 검증하기 위하여 슬래브의 2면 전단강도 평가를 위해 진행된 Eom 등(2017; 2018)연구 및 Ahn과 Park(2005)연구에서 실험된 실험체에 대해 수치 해석을 진행하였으며 상기 수치해석 결과를 실험결과와 비교 분석하였다. Eom 등(2017; 2018)연구의 실험체 중에서는 전단보강의 유무를 변수로 진행한 실험체를 선정하였으며, Ahn과 Park(2005)연구의 실험체 중에서는 슬래브의 두께와 철근비를 변수로 진행한 실험체를 선정하였다. 상기 연구에서 사용된 실험체의 특성 및 실험 결과는 Table 1과 같다.
본 연구에서는 설계기준에서 제시하는 콘크리트의 탄성계수를 사용하여 수치해석을 진행하게 되면 강성이 과대평가될 수 있기 때문에 Kim과 Shin(2009) 연구에 의해 수치해석 시 해석 결과에 영향을 많이 주는 것으로 알려진 콘크리트의 탄성계수를 실험치의 하한값( MPa)으로 사용하였다(Lee 2015, Kang et al., 2016). 상기 연구의 실험체 실험결과와 비선형유한요소해석 결과를 비교분석한 결과는 Fig. 4, Fig. 5와 같다. Fig. 4는 상기연구의 실험체 중에서 H-NS와 H-SL의 실험 방법과 하중-변위 관계에 대한 결과를 나타내고 있으며, 보이는 바와 같이 슬래브의 4변을 지지한 상태에서 접합된 기둥의 상부에 하중을 가하여 슬래브 중앙부의 처짐을 측정하는 방식으로 실험되었다. Fig. 5는 나머지 실험결과를 나타내고 있으며, Fig. 4의 실험방법과 유사한 방법으로 실험이 진행되었다. Fig. 4, Fig. 5에서 보이는 바와 같이 본 연구에서 사용하는 비선형유한요소해석 모델이 전반적으로 실험결과와 비슷한 결과를 보여주는 것으로 나타났다. 특히 전단파괴 직전 까지의 양상은 상기 연구의 실험결과와 거의 일치한다는 것을 알 수 있으며, 전단파괴 이후의 거동도 유사하다는 것을 알 수 있다. 따라서 본 연구에서 제시한 수치해석 모델을 사용하여 설정한 변수에 대하여 비선형유한요소해석을 수행하면 합리적 으로 전이슬래브의 2면 전단강도를 평가할 수 있을 것으로 판단 된다.
2.3 사례조사 및 변수 설정
본 연구에서는 Eom 등(2017; 2018)의 연구 및 Ahn과 Park(2005)연구에서 실험된 실험체에 대하여 비선형유한요소 해석을 수행하였으며, 비선형유한요소해석 결과가 실험결과와 비슷한 양상을 나타낸다는 것을 확인하였다. 따라서 본 연구에 서는 상기 비선형유한요소해석 방법을 사용하여 설계변수에 따른 전이슬래브의 2면 전단강도 평가를 수행하였다.
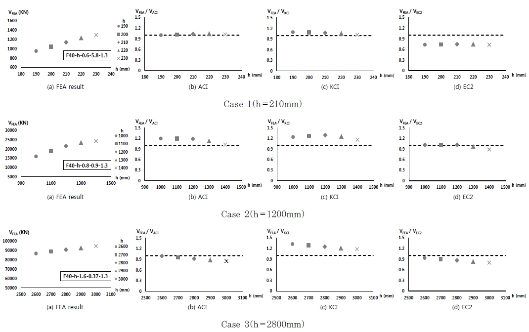
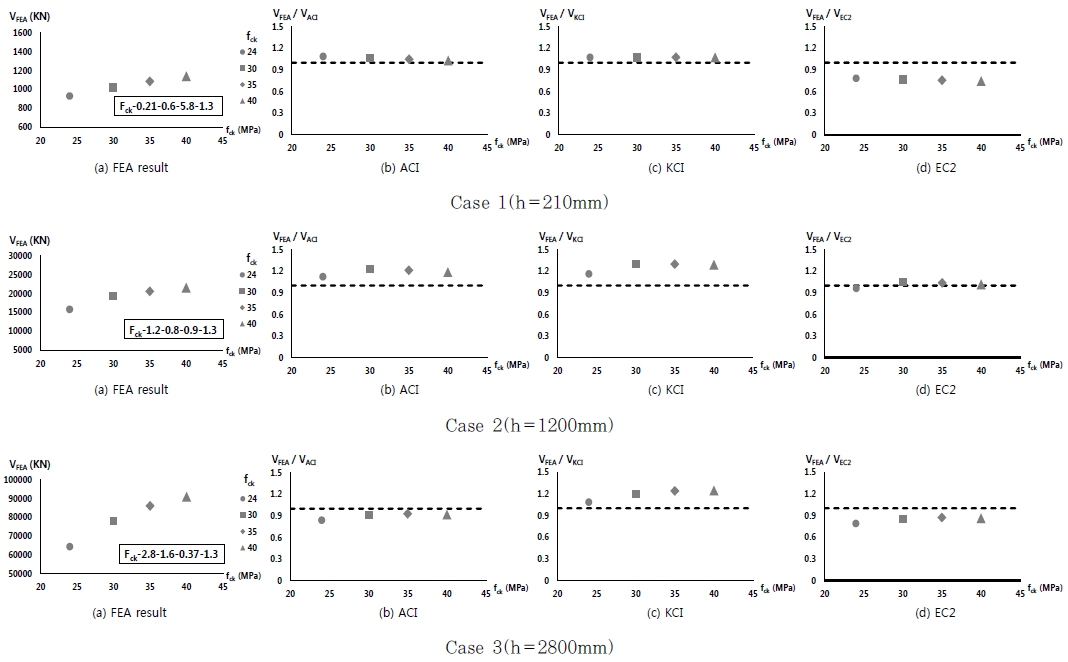
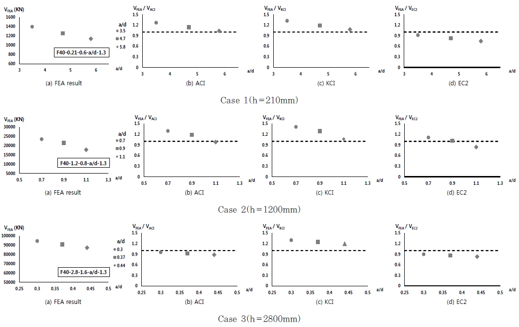
Table 2는 전이슬래브의 프로토 타입을 선정하기 위한 전 이슬래브의 사례이다. Table 2에 보이는 바와 같이 건축물의 층수와 규모에 따라 전이슬래브의 두께 차이가 많이 난다는 것을 알 수 있으며, 전이슬래브 위에 벽체가 올라가는 부분의 기둥 간격은 5400mm로 계획되어 기둥사이에 2대의 주차공간을 확보한다는 것을 알 수 있다. 이에 따라 본 연구에서는 비선형 유한요소해석을 위한 다양한 설계변수를 선정하였으며, 상기 사례조사 내용과 일반적으로 사용되는 두께 210mm의 슬래브 를 기본모델에 추가하여 Table 3에 보이는 바와 같이 슬래브 두께를 크게 210mm, 1200mm, 2800mm 3가지 유형으로 나누고, 기둥간격을 5400mm로 선정하여 변수해석을 수행 하였다.
해석모델의 폭과 길이는 상기 3가지 경우에 따라 각각 일정 하게 정의하였으며, 슬래브의 두께, 콘크리트의 압축강도, 전단 경간 비, 철근비를 설계변수로 하여 해석모델을 설정하였다. 해석모델의 명칭 (fck - h - c - a/d - ρ) 은 콘크리트 압축강도 (fck)-슬래브 두께(h)-기둥 크기(c)-전단경간 비(a/d)-휨 철근 비(ρ) 순으로 선정하였다. 예를 들어 F40-0.21-0.6-5.8-1.3 모델의 경우 콘크리트 압축강도 40MPa, 슬래브두께 210mm, 기둥 한 변의 길이 600mm, 전단경간 비 5.8, 철근비 1.3%의 해석모델이다.
본 연구에서 설계변수의 범위는 Case 1의 경우에는 24≤ 압축강도(fck)≤40(MPa), 190≤슬래브 두께(h)≤230(mm), 3.5≤전단경간 비(a/d)≤5.8, 0.9≤휨 철근비(ρ)≤1.5(%), Case 2의 경우에는 24≤압축강도(fck)≤40(MPa), 1000≤ 슬래브 두께(h)≤1400(mm), 0.7≤전단경간 비(a/d)≤1.1, 0.9≤휨 철근비(ρ)≤1.5(%), Case 3의 경우에는 24≤압축 강도(fck)≤40(MPa), 2600≤슬래브 두께(h)≤3000(mm), 0.30≤전단경간 비(a/d)≤0.44, 0.9≤휨 철근비(ρ)≤1.5(%) 로 총 48개의 변수 모델을 Fig. 6에 보이는 바와 같이 모델링 하였으며, 상기 모델에 대해 비선형유한요소해석을 수행하여 전이슬래브의 2면 전단강도를 평가하였다. 변수모델의 자세한 사항은 Table 4에 나타난 바와 같다.
3. 수치해석결과 분석 및 평가
3.1 파괴모드 분석
Fig. 7은 변수모델 F40-0.21-0.6-5.8-1.3과 F40-1.2- 0.8-0.9-1.3에 대한 비선형유한요소해석 결과로서, 두 변수 모델에 대한 균열 형상을 나타내는 그림이며, 적색으로 표시된 위치가 균열이 심하다는 것을 나타낸다. Fig. 7(a)는 슬래브의 두께가 210mm인 해석모델의 균열 형상으로 대부분의 균열이 구조체의 중앙부에서 생기는 것으로 보아 두께가 얇은 슬래브의 경우에는 주로 휨균열이 발생한다는 것을 알 수 있다. 또한 Fig. 7(b)는 슬래브의 두께가 1200mm인 해석모델의 균열 형상으로 얇은 슬래브와는 다르게 주로 대각선의 균열이 발생한 것으로 보아 전단균열이 발생한 것임을 알 수 있다. 따라서 두께가 얇은 슬래브의 경우에는 휨-전단 거동이 지배적이며, 두꺼운 슬래브의 경우에는 전단거동이 지배적일 것으로 판단 된다.
3.2 변수해석 및 분석
본 연구에서는 비선형유한요소해석을 사용하여 다양한 변수에 따른 슬래브의 전단거동에 대하여 분석하였으며, 해석결과는 Fig. 8~11과 같다.
Fig. 8~11에서 가로축은 해석모델 중앙부에서의 하중가력 방향 변위를 의미하고 세로축은 가력하중 즉, 2면전단 재하 하중을 의미한다. Fig. 8~11에 보이는 바와 같이 두께가 얇은 슬래브의 경우에는 파괴 후 강도가 서서히 감소하기 때문에 휨에 의해 상당한 영향을 받는 것으로 보이며, 두께가 두꺼운 전이 슬래브의 경우에는 파괴 후 급격하게 강도가 감소하기 때문에 전단거동이 지배적인 것으로 나타났다. Fig. 8은 슬래브 두께에 따른 힘-변위의 관계를 나타내는 그래프로 보이는 바와 같이 슬래브의 두께가 두꺼울수록 슬래브의 2면 전단강도는 증가 하지만 최대변위는 감소하는 것으로 나타났으며, 슬래브의 두 께에 따른 강도의 증가량이 두꺼운 슬래브 보다 얇은 슬래브에서 더 큰 것으로 나타났다. Fig. 9는 콘크리트의 압축강도에 따른 힘-변위의 관계를 나타내는 그래프로 Fig. 9에서 보이는 바와 같이 콘크리트의 압축강도가 클수록 슬래브의 강도와 최대변위 모두 증가하는 것으로 나타났다. 또한 압축강도의 증가에 따른 2면 전단강도의 증가량이 슬래브 두께에 따른 증가량과는 달리 두꺼운 슬래브에서의 증가량이 훨씬 더 큰 것으로 나타났다. Fig. 10은 전단경간비에 따른 힘-변위의 관계를 나타내는 그 래프로 보이는 바와 같이 전단경간비가 클수록 강도는 감소하며, 최대변위는 증가하는 것으로 나타났지만 두께가 아주 두꺼운 슬래브의 경우에는 전단경간비에 따른 강도의 차이가 작아 전단 경간비가 슬래브의 2면 전단강도에 미치는 영향이 거의 없는 것으로 판단된다.
마지막으로 Fig. 11은 철근비에 따른 힘-변위의 관계를 나타 내는 그래프이다. Fig. 11에서 보이는 바와 같이 철근비가 증가 할수록 슬래브의 강도는 증가하는 것으로 나타났으며, 최대변 위에는 큰 영향을 미치지 않는 것으로 판단된다. 또한 두께가 얇은 슬래브의 경우 두께가 두꺼운 슬래브에 비해 철근비의 영향이 큰 것으로 나타났다. 이와 같은 수치해석 결과에 의하면, 전이슬래브 두께, 전단경간비, 철근비는 두께가 얇은 슬래브에 큰 영향을 미치며, 압축강도는 두께가 두꺼운 슬래브에 상대적 으로 큰 영향을 미치는 것으로 판단된다.
앞서 3.1절에 분석된 바와 같이 두께가 얇은 슬래브는 휨에 의해 큰 영향을 받기 때문에 휨거동 영향변수인 철근비, 전단 경간비, 전이슬래브 두께에 큰 영향을 받는다. 반면 두께가 두꺼운 슬래브의 경우 휨거동에 거의 영향을 받지 않는 직접전단 거동을 하기 때문에 재료강도(압축강도 또는 인장강도)에 많은 영향을 받는 것으로 판단할 수 있다. 따라서 전이슬래브의 2면 전단강도 확보를 위해서는 철근비, 슬래브 두께 증가보다는 콘크 리트 재료강도를 증가시키는 것이 합리적이라고 할 수 있다.
3.3 설계변수별 2면 전단강도 평가
설계변수에 따른 수치해석결과의 평가를 위해 비선형 해석 모델의 2면 전단강도와 KCI 2012(Korean Concrete Institute, 2012), ACI 318(ACI Committe 318, 2008), EC-2(Eurocode 2, 2004) 기준의 2면 전단강도 평가식에 의한 2면 전단강도 예측 값을 비교분석하였으며, 전단무보강 슬래브-기둥 접합부의 2면 전단강도를 산출하기 위한 상기 설계 기준은 다음과 같다.
미국의 구조설계기준인 ACI 318의 2면 전단성능 평가를 위한 설계기준은 식 (1)과 같다.
여기서, fck= 콘크리트 압축강도, d= 슬래브의 유효두께, b0 = 뚫림전단 위험단면 둘레의 길이(기둥면으로부터 d/2에 위치), βc= 집중하중이나 반력을 받는 면적의 짧은 변에 대한 긴 변의 비, αs = 접합부 형태에 따른 계수로서 내부기둥에 대해서 40, 외부기둥(모서리기둥 제외)에 대하여 30, 모서리 기둥에 대해서 20을 사용한다.
또한 국내 콘크리트 구조기준인 KCI 2012의 2면 전단성능 평가를 위한 설계기준은 식 (2)와 같다.
여기서, 슬 래브의 두께계수, kbo= 위험단면 둘레길이의 영향계수, fte= 압축대 콘크리트 인장강도, ψ= 슬래브 휨 압축대의 균열각도, cu= 압축철근의 영향을 무시하고 계산된 슬래브 위험단면 압 축대 깊이의 평균, fcc= 위험단면의 슬래브 압축대에 작용 하는 평균압축응력, ρ= 슬래브의 휨철근비로서 ρ≤0.003의 범위에서 사용할 수 있으며, ρ가 0.005이하인 경우 0.005를 사용할 수 있다.
마지막으로 유럽의 구조설계기준인 EC-2의 2면 전단성능 평가를 위한 설계기준은 식 (3)과 같다.
여기서, 슬래브의 두께계수, b0= 뚫림전단 위험단면 둘레의 길이(기둥면으로부터 반지름이 d인 호)이다.
Fig. 12(a)~15(a)는 Table 4와 같이 선정한 슬래브두께, 콘크리트의 압축강도, 전단경간비, 철근비 변수에 따른 슬래 브의 비선형유한요소해석 결과(VFEA )를 나타내었으며, Fig. 12~15(b)~(d)는 각각 상기 해석결과(VFEA )와 ACI 318 2면 전단강도 평가식(VACI), KCI 2012 2면 전단강도 평가식 (VKCI), EC-2의 2면 전단강도 평가식(VEC2)에 의한 평가 결과의 비를 나타내었다.
Fig. 12는 슬래브 두께에 따른 슬래브의 2면 전단강도를 나타내는 그림이다. Fig. 12(a)에 보이는 바와 같이 슬래브의 두께가 증가할수록 슬래브의 2면 전단강도가 증가한다는 것을 알 수 있다. 또한 Fig. 12(c)에서 나타난 바와 같이 KCI 2012의 2면 전단강도 평가식은 ks 계수를 통하여 크기효과를 적절하게 고려하기 때문에 슬래브의 2면 전단강도를 FEA해석 결과에 비해 안전측으로 평가한다는 것을 알 수 있다. 하지만 Fig. 12(b), (d)에서 보이는 바와 같이 ACI 318-14의 2면 전단강도 평가식과 EC-2의 2면 전단강도 평가식은 슬래브의 2면 전단강도를 비교적 크게 평가한다는 것을 알 수 있다. 이는 ACI 318의 전단평가식은 크기효과를 고려하지 않기 때문이라 판단되며, EC-2의 2면 전단강도 평가식은 b0(뚫림전단 위험 단면 둘레의 길이)를 지나치게 크게 산정하기 때문이라고 판단 된다.
Fig. 13은 콘크리트의 압축강도에 따른 슬래브의 2면 전단 강도를 나타내는 그림으로 콘크리트의 압축강도가 증가할수록 슬래브의 2면 전단강도가 증가한다는 것을 알 수 있다. 또한 Fig. 13(b)~(d)에 나타난 바와 같이 슬래브의 두께를 변수로 두었을 때와 마찬가지로 KCI 2012의 2면 전단강도 평가식은 FEA해석결과에 비해 안전측으로 평가함을 알 수 있으며, ACI 318의 2면 전단강도 평가식은 슬래브의 두께가 두꺼울수록 과대평가하는 것으로 나타났다. 또한 EC-2의 2면 전단강도 평가식은 콘크리트의 압축강도가 클수록 과대평가하는 경향이 있다.
Fig. 14는 전단경간비에 따른 슬래브의 2면 전단강도를 나타 내는 그림이다. Fig. 14(a)에서 보이는 바와 같이 FEA해석 결과 전단경간비가 클수록 슬래브의 2면 전단강도는 작아진다는 것을 알 수 있다. 하지만 KCI 2012, ACI 318 그리고 EC-2의 2면 전단강도 평가식은 전단경간비를 고려하지 않는 평가식이기 때문에 전단경간비가 2면 전단강도 평가에 영향을 미치지 않는 것으로 나타났다. 또한 Fig. 14(b)~(d)에서 보이는 바와 같이 상기 결과와 마찬가지로 KCI 2012의 2면 전단강도 평가식은 FEA해석결과에 비해 안전측으로 평가하고 있지만, ACI 318의 2면 전단강도 평가식과 EC-2의 2면 전단강도 평가식은 비교적 FEA해석결과보다 과대평가 한다는 것을 알 수 있다.
Fig. 15는 휨 철근비에 따른 슬래브의 2면 전단강도를 나타 내고 있는 그림이다. Fig. 15(a)에서 보이는 바와 같이 철근 비가 증가할수록 슬래브의 2면 전단강도가 증가한다는 것을 알 수 있다. 하지만 ACI 318-14의 2면 전단강도 평가식은 철 근비가 작을수록 2면 전단강도를 과대평가하는 경향이 나타 났다. 이는 ACI 318의 2면 전단평가식에서는 철근비를 고려 하지 않아 철근비가 슬래브의 2면 전단강도 평가에 영향을 미치지 않기 때문이라 판단된다. 또한 Fig. 15(c)에서 보이는 바와 같이 KCI 2012의 2면 전단강도 평가식은 철근비를 적절히 고려하기 때문에 FEA해석결과에 비해 안전측으로 평가 한다는 것을 알 수 있으며, Fig. 15(d)에 나타난 바와 같이 상기 결과와 마찬가지로 EC-2의 2면 전단강도 평가식은 비교적 FEA해석결과에 비해 과대평가하는 경향이 있다.
Table 5는 비선형유한요소해석을 통해 산출한 2면 전단강 도와 기존의 2면 전단강도 평가식(KCI 2012, ACI 318, EC-2)에 의해 예측된 평가결과 값을 비교한 표이다. Table 5 에서 보이는 바와 같이 EC-2 전단평가식의 경우에는 FEA 해석결과와 예측 2면 전단강도의 비율이 평균 0.88, 표준편차 0.1142로 얇은 슬래브와 두꺼운 슬래브 모두의 2면 전단강도를 비교적 과대평가하고 있다. 이는 식 (3)에 보이는 바와 같이 b0(뚫림 전단 위험단면 둘레의 길이)를 과하게 산정하기 때문 이라고 판단된다. EC-2 기준에서는 슬래브-기둥 접합부의 2면 전단강도 평가에 있어 넓게 분포된 균열면을 고려하여 b0를 상대적으로 크게 설정하였다. 하지만 이와 같은 균열양상은 두께가 얇은 슬래브의 경우, 즉 휨의 영향이 큰 경우는 유효할 수 있지만 직접전단이 지배적인 전이슬래브는 넓게 분포된 균열 면을 기대하기 어렵기 때문에 전이슬래브의 b0값을 EC-2와 같이 크게 산정하는 것은 적절하지 못하다고 판단된다.
또한 ACI 318 전단평가식의 경우에는 FEA해석결과와 예측 2면 전단강도의 비율이 평균 1.04, 표준편차 0.1272로 상기 2면 전단강도 평가식 중에서 해석결과와 가장 근접한 결과를 보여주고 있지만 슬래브의 두께가 2600mm이상인 경우에는 2면 전단강도를 과대평가하는 것으로 나타나며, 철근비에 따른 2면 전단강도변화를 예측할 수 없는 것으로 나타났다. 이는 식 (2)에 보이는 바와 같이 ρ(슬래브의 휨철근비)를 고려하지 않기 때문이라고 판단된다.
다음으로 KCI 2012 2면 전단강도 평가식의 경우에는 FEA해석결과와 예측 2면 전단강도의 비율이 평균 1.20, 표준 편차 0.1049로 변수해석 모든 경우에 대하여 2면 전단강도를 안전측으로 평가한다는 것을 알 수 있다. 특히, Table 5에 나타난 것과 같이, KCI 2012 평가식은 모든 해석결과를 안전 측으로 평가하였으며, 표준편차도 다른 설계기준에 비해 가장 작기 때문에 안정적인 2면 전단강도 산정이 가능하다는 것을 알 수 있다. 따라서 전이슬래브의 2면 전단강도 산정에 KCI 2012 설계식이 적합한 것으로 판단된다. KCI 2012 설계식은 다양한 변수 영향을 고려할 수 있게 가장 최근에 개발되어진 설계기준으로 특히 크기효과와 철근비를 적절하게 고려하기 때문에 무량판과 같은 얇은 슬래브, 전이슬래브와 같은 두꺼운 슬래브에 대하여 ACI 318, EC-2의 2면 전단강도식보다 슬래브의 2면 전단강도를 효과적으로 평가할 수 있다고 판단 된다.
마지막으로 변수해석결과 전단경간비가 슬래브의 2면 전단 강도에 영향을 미치는 것으로 나타났지만 KCI 2012, ACI 318, EC-2 2면 전단강도 평가식 모두 전단경간비에 대한 슬래브의 2면 전단강도 변화를 예측할 수 없기 때문에 이를 반영 할 수 있는 3차원 스트럿-타이 모델 등을 활용한 전단설계식의 개발이 필요하다고 판단된다.
4. 결 론
본 연구에서는 전이슬래브의 극한상태에서의 전단거동을 분석 하기 위하여 슬래브의 2면 전단강도를 합리적으로 평가할 수 있는 비선형유한요소해석을 실시하였다. 190≤슬래브 두께≤ 3000(mm), 24≤압축강도(fck)≤40(MPa), 0.37≤전단경 간비(a/d)≤5.8, 0.9≤휨철근비(ρ)≤1.5(%)와 같은 변수를 선정하여 상기변수들이 전이슬래브의 2면 전단강도에 미치는 영향에 대하여 분석하였다. 또한 변수해석결과를 기존의 2면 전단강도 평가식으로 산출한 2면 전단강도와 비교분석하였으며, 본 연구를 통해 분석한 결과는 다음과 같다.
(1) 변수해석결과에서 보이는 바와 같이 무량판과 같이 두 께가 얇은 슬래브의 경우에는 휨거동에 영향을 받는 휨 -전단거동이 지배적인 것으로 판단되며, 전이슬래브와 같이 두께가 두꺼운 슬래브의 경우에는 직접전단거동이 지배적인 것으로 판단된다.
(2) 슬래브의 2면 전단강도는 무량판과 같은 얇은 슬래브의 경우 슬래브의 두께, 압축강도, 철근비에 비례하며, 전단 경간비에 반비례하는 것으로 나타났으며, 두꺼운 전이 슬래브의 경우 슬래브의 두께, 압축강도에 비례하며, 직접전단거동을 하기 때문에 전단경간비와 철근비는 거의 영향을 미치지 못한다고 판단된다. 따라서 전이슬래브의 2면 전단강도 확보를 위해서는 철근비, 슬래브 두께 증가 보다는 콘크리트 재료강도를 증가시키는 것이 합리적 이라고 할 수 있다.
(3) 비선형유한요소해석으로 산출한 슬래브의 2면 전단강 도와 기존 2면 전단강도 평가식에 의한 예측값의 비율이 ACI 318의 경우 평균 1.04, 표준편차 0.1271, KCI 2012의 경우 평균 1.20, 표준편차 0.1049, EC-2의 경우에는 평균 0.88, 표준편차 0.1142로 나타났다. 특히, KCI 2012 평가식은 모든해석결과를 안전측으로 평가하였으며, 표준편차도 다른 설계기준에 비해 가장 작기 때문에 전이슬래브의 2면 전단강도 산정에 KCI 2012 설계식이 적합한 것으로 판단된다.
(4) 상기 제시된 기존의 2면 전단강도 평가식(ACI 318, KCI 2012, EC-2)은 모두 전단경간비를 고려하지 않는 산출식을 사용하고 있어 슬래브의 강도가 전단경간비에 반비례한다는 수치해석결과를 제대로 평가할 수 없다고 판단된다. 따라서 전단경간비의 영향을 효과적으로 고려 할 수 있는 슬래브 2면 전단강도 평가식의 개발이 필요 하다고 판단된다.
본 연구에서는 전이슬래브-기둥 접합부의 2면전단거동을 분석 함에 있어 중력하중에 의한 2면전단거동을 주로 연구하였다. 향후 연구에서는 횡하중에 의한 불균형모멘트가 작용했을 때 전이슬래브-기둥 접합부의 전단거동에 대한 추가분석이 필요 하다고 판단된다.






















