1. 서 론
최근 과학기술의 발전으로 선진기술을 적용한 다양한 형태의 탄두/탄약, 유도무기 등의 무기체계에 대한 개발이 급속히 이루어지고 있다. 각종 무기체계에 범용으로 적용하기에 앞서 특정 구성품은 고충격 시험을 통해 수만 G이상에서의 내고 충격성능을 검증하여 작동신뢰성 및 구조적인 안정성에 대한 확보가 이루어져야 한다. 고충격 시험은 시험목적, 시험단계 및 시험장비에 따라 가스건(gas-gun)시험, 활강포 시험, 슬레드 (SLED) 시험과 SRS(soft recovery system)시험으로 나뉜다. 본 연구에서는 시험 구성품 단위의 내고충격성능을 수행하는 가스건 시험에 관해 논의하고자 한다.
가스건 시험은 시험품을 탑재한 버드조립체를 발사관에 위치 시킨 후 고압의 질소가스를 사용하여 버드조립체를 표적에 충돌 시킴으로서 실제와 유사한 목표물 충돌 현상 등을 모사하는 시험 이다. 순간적인 고압의 질소가스를 버드조립체 후방에 가하여 버드조립체를 가속시킴으로서 표적에 충돌시켜 충격 감가속도를 생성시킨 후 표적 설치부에서 버드조립체를 회수하여 내고충 격성능을 검증한다. 이 때, 시험품이 받는 충격 감가속도는 버드 조립체의 형상, 무게, 비행 속도 등의 여러 변수에 의존하기 때문에 목표 충격 감가속도를 생성시키기 위한 적합한 시험 조건을 찾는 것은 매우 중요하다.
가스건 시험과 관련하여 국내외적으로 공개된 실험적·전산 해석적 연구 자료가 거의 없어 130mm 가스건 시험에 관한 기본적인 자료 데이터 구축이 필요하다(Fowles et al., 1970;Cordes et al., 2012). 데이터 구축 방법에는 실험적 방법과 전산해석적 방법으로 나뉘며, 실험적 방법은 실제 데이터를 즉각 확인할 수 있다는 장점을 지니지만 반복 재현성 시험 통해 설계의 타당성을 검증하기에는 경제적인 제한을 받는다. 이러한 문제점을 고려하여 가스건 시험을 대체할 전산해석적 기법을 필수적으로 확보하여야 한다. 따라서 본 연구에서는 Hydrodynamic 코드 중 상용 프로그램으로 Explicit 코드를 사용하는 ANSYS AUTODYN을 활용하여 가스건 시험에 관한 전산 해석을 수행하고자 한다. ANSYS AUTODYN은 원하는 시험 환경 및 시험조건에 대한 변경이 용이하고 솔버 간의 상호 연계 작용이 가능하다는 장점이 있어 고속충돌 및 폭발현상을 모사 하는 연구에 많이 사용되고 있다. 하지만, 전산해석 결과는 실제 비행환경에서의 시험결과와 얼마나 부합하는지에 대한 검증 과정이 필요하다. 이에 본 연구에서는 실제 130mm 가스건 시험장비를 통해 획득한 시험 데이터를 기반으로 해석결과를 검증하고 시험품의 동적거동에 대해 파악하고자 하였다. 더불어 가스건 시험에 사용되는 버드조립체 및 표적의 물성 값에 관한 재료모델링을 수행하여 가스건 시험에 관한 전산해석 기법을 수립하는 것을 목적으로 하였다.
2. 가스건 시험
2.1 130mm 가스건 시험장비
가스건 시험은 Fig. 1에서 보는 것과 같이 버드조립체를 발사관에 탑재한 후, 가압된 질소가스를 버드조립체 후방에 가 하여 가속시켜 표적에 충돌시킴으로써 실제와 유사한 목표물 충돌현상 등을 모사하여 시험품의 내고충격성능을 검증하는 시험이다. 가스건 시험장비는 크게 버드조립체를 밀어내는 발사장치부(breech system), 버드조립체의 속도를 높여주는 발사관(gun tube), 질소가스를 매개체로 하여 고압의 가스를 저장하고 제어하는 질소가스 제어실(gas control room), 표적 설치부(target area)와 소음, 분진 등을 조절하는 완충 탱크(tank)로 이루어져 있다(Kang, 1998).
본 연구에서는 Fig. 2에서 보는 것과 같이 발사관 구경 130mm으로 이루어진 가스건 시험장비를 활용하여 시험을 수 행하였다.
가스건 시험장비에서 시험품에 가해지는 충격량은 버드조립 체의 충돌 직전의 종말속도와 상관관계가 있으며 종말속도는 표적 설치부에 장착한 표적에 의해 결정되기 때문에 표적을 이해하는 것은 중요하다.
표적 설치부에 대한 모식도 및 형상은 Fig. 3과 같으며, 그림 에서 보는 것과 같이 표적 설치부는 버드조립체의 운동에너 지를 충격에너지로 변환시켜 주는 표적(target)과, 일종의 완충 장치로서의 역할을 수행하는 운동량 변환질량(momentum exchange mass, MEM) 그리고 버드조립체의 표적으로의 충돌 직전 종말속도를 측정하기 위한 광센서(laser source / velocity measuring kit)로 이루어져 있다. 표적 및 MEM은 Fig. 4에서 보는 것과 같이 각각 직경 400×길이 350mm, 직경 400×길이 700mm로 대표적인 연성재료인 납으로 이루어져 있다.
2.2 버드조립체(bird)
가스건 시험 시, 시험품이 장착되는 버드조립체의 형상은 Fig. 5(a)와 같으며, 무게는 약 12kg, 직경 130mm, 전체길 이는 330mm이다. Fig. 5(b)에서 보는 것과 같이 원추형 충격자(impact head), 몸체(main body), 가속도센서(accelerometer), 시험품(device under test, DUT), 마개(plug), 링너트류(ring nuts), 배터리(battery), 침투이력 측정장치 (recorder for the penetration history, RPH)로 구성되어 있으며, 각각의 구성품에 대한 재질은 Table 1과 같다.
버드조립체 구성품 중 가속도센서, 침투이력 측정장치 및 배터리는 버드조립체 내에 장착된 시험품 즉, 시험 대상체가 받는 충격량을 기록하기 위한 데이터 기록 장치이다. 가속도센 서는 최대 60,000G까지 계측이 가능한 Endevco사의 PR71 M10를 사용하였으며, 최대한 시험품 옆에 장착하여 시험품이 받는 충격량과 유사한 값이 계측되도록 하였다.
침투이력 측정장치의 형상은 Fig. 6과 같으며, 내장된 충격 센서를 이용하여 가스건 시험장비의 발사충격을 감지하면 기록을 시작하고 약 130ms 동안 가속도센서 출력 신호를 기록 하는 역할을 한다.
2.3 130mm 가스건 시험결과
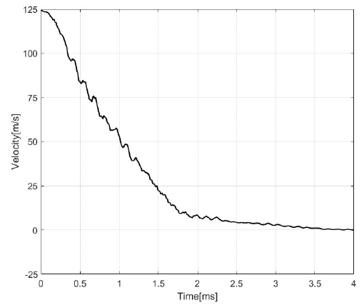
전산해석 결과에 대한 데이터 검증 및 비교를 위해 130mm 가스건 시험장비를 활용하여 시험을 수행하였다. 약 12kg의 버드조립체를 13kgf/cm2에 해당하는 고압의 질소가스를 후방에 가하여 표적에 충돌시켰다. 시험 이후, 광센서를 통해 계측한 버드조립체의 충돌 직전의 종말 속도는 125 m/s이며, 획득한 침투이력 측정장치의 데이터는 Fig. 7과 같다. 그림에서와 같이 버드조립체의 종말속도가 125m/s일 때 최대 충격 감가 속도는 도달시간 0.37ms 부근에서 약 15,000G이고, 지속시간 (duration time)은 약 2.08ms임을 확인하였다.
연성재료의 표적은 충격 감가속도를 받음으로써 변형되어 침투 부위의 반경 방향으로 크레이터(crater)가 그림 Fig. 8과 같이 생성이 되며, 측정한 침투깊이는 135mm이다.
3. 전산해석
시험품의 내고충격성능을 검증하기에 앞서 충격 감가속도를 생성시키는 시험조건에 대한 확립이 이루어져야 한다. 반복 재현 실험을 통해 가스건 시험에 관한 기본적인 데이터를 구축 하고 설계의 타당성을 검증하는 것은 경제적인 측면에서 한계를 지닌다. 이에 실제 가스건 시험을 대체할 전산해석적 기법에 대한 확보가 필수적으로 선행되어야 한다.
따라서 본 연구에서는 Explicit 코드를 사용하는 상용 하이 드로코드 중 하나로 솔버 간의 상호 연계작용이 가능하고 사용이 용이한 ANSYS AUTODYN을 활용하여 전산해석을 수행하 였다.
3.1 Physical Modeling
130mm 가스건 시험결과에 대한 비교 및 분석을 위하여 시험과 유사한 형태로 버드조립체와 표적에 대한 전산해석 모델링을 수행하였다. 가스건 시험에서 버드조립체는 표적에 충돌 시 거시적인 움직임은 축 방향으로만 이루어지기 때문에 축대칭 형태로 단순화가 가능하다. 이에 본 연구에서는 전산 해석에 소요되는 계산 시간 및 비용을 절감시키기 위하여 2차 원의 축대칭 형태로 버드조립체와 표적에 대한 모델링을 수행 하였다. 여러 구성품으로 이루어진 버드조립체에 대한 모델링을 ANSYS AUTODYN에서 수행할 경우 구성품 간의 상호 연계 작용으로 인하여 전산해석에 소모되는 시간 및 비용이 크다. 이러한 단점을 보완하기 위하여 ANSYS Workbench의 Explicit Dynamic에서 버드조립체 및 표적에 대해 형상모델링 및 구조 격자를 작성하였다.
본 전산해석에서 버드조립체는 Fig. 9(a)와 같이 원추형 충격자, 몸체, 링너트류, 침투이력 측정장치, 시험품, 배터리, 마개로 이루어져 있으며 비구조적 형태의 라그랑지안 요소로 모델링하였다. 각 내부 구성품은 노드를 공유하였으며 원추형 충격자를 제외하고 4절점의 사각형 요소로 격자를 생성하였다. 생성된 격자의 형상은 Fig. 9(b)와 같으며, 총 노드는 11,325 개, 요소는 12,695개로 이루어져 있다.
표적설치부에 장착된 MEM과 표적 중 MEM은 실제 시험 에서 완충장치의 역할을 수행할 뿐 실제 충격량에 미치는 영향 력을 고려하여 MEM은 해석에서 제외하였다. 반면, 표적은 실제 버드조립체와의 직접적인 충격을 일으키면서 버드조립체의 종말속도를 결정짓는 주요 요소로 비구조적 형태의 라그랑지안 요소로 모델링을 수행하였다. 또한, 실제 시험에서 버드조립체의 표적 침투깊이를 고려하여 표적의 길이를 줄이고 Fig. 10에서 보는 것과 같이 단순화하였다.
최종 설계된 표적의 전산해석 모델은 정사각형 형태로 길이 및 직경방향으로 200mm로 이루어졌으며 4절점의 사각형 요소로 구성되었다. 생성된 표적의 총 노드는 6,724개, 요소는 6,561 개로 이루어져 있다.
계산에 사용될 최종적인 버드조립체와 표적의 형상 및 구조 격자는 Fig. 11과 같으며, MEM에 대한 고려를 제외하고 표적을 단순화시킴에 따라 발생할 계산상의 오차를 줄이기 위 하여 고정구속조건(fixed support boundary condition)을 Fig. 11에서 보는 것과 같이 표적의 우측 가장자리에 부여하 였다.
3.2 Material Modeling
생성한 구조 형상 모델을 기반으로 버드조립체와 표적의 재료 모델링을 수행하였다. 가스건 시험과의 비교 및 검증을 위하여 버드조립체의 무게를 12kg으로 유지시키고자 하였다. 버드 조립체의 재료 모델링은 ANSYS AUTODYN에서 내장하고 있는 라이브러리 모델을 적용하였다(Steinberg, 1991). 유사한 물성 값이 없는 경우에는 ANSYS Workbench의 Engineering DATA에서 실제와 동일한 물성 값을 생성하여 적용하였다.
버드조립체의 구성품 중 원추형 충격자는 STS304재질을 기반으로 STS630의 물성치를 적용하였다. 한편, 충격자는 표적과 직접적으로 충돌하면서 충격에너지 및 충격하중을 내부 구성품 및 표적으로 전달하는 주요 구성품으로 충격에너지에 대한 고려가 필요하다. 이를 위해 충격자는 충격파 전면과 후면 의 Hugoniot 관계식을 적용한 Shock 상태방정식(equation of state, EOS)을 사용하였다(Cooper, 1996). 소성 변형의 기준의 되는 Strength 모델은 Steinberg-Guinan을 적용하 였다. 이와 비슷하게 링너트류는 STS304 재질을 기반으로 하여 재료모델링을 수행하였다. 버드조립체의 몸체 및 마개는 AUTODYN 내부 물성 라이브러리에 내장된 AL7075-T6 재질을 사용하였으며, 다양한 재질로 이루어져 있어 정확한 재료모델링을 수행하기 어려운 배터리 및 침투이력 측정장치는 각각 AL7075-T6과 티타늄 합금계열의 TI-6AL-4V를 적용 하였다. 버드조립체의 최종 무게는 12.3 kg으로 각 구성품별 재료 모델링은 Table 2와 같다.
버드조립체가 표적으로 충돌 시 각 구성품의 변형이 예상되며 이에 대한 모델링을 위해 Geometric strain erosion 값은 해석을 통해 실험과 유사한 경향성을 보이는 값 1.5를 적용하 였다(Yoon, 2018). 표적은 버드조립체로부터의 직접적인 충격을 받기 때문에 충격에너지 및 하중에 대한 계산이 필수적 이다. 또한 대표적인 연성재료인 납으로 이루어져 있어 소성 변형에 대한 고려를 해야한다. 이를 위해 본 연구에서는 Shock 상태방정식에, Strength 모델로 Steinberg-Guinan을 적용 하였다. 본 전산해석에서 버드조립체의 각 구성품 및 표적은 변형률이 15%이상이 될 경우, 구성품이 파손된 것으로 간주 하였다.
4. 결과분석
4.1. 전산해석 결과분석
본 연구에서는 비구조적 형태의 라그랑지안 요소로 이루어 진 버드조립체 및 표적에 대해 라그랑지-라그랑지 간의 상호 작용을 고려하였다. 가스건 시험은 일종의 관통시험으로 Trajectory의 Penalty조건을 부여하였다. 버드조립체의 속도 에 대한 초기조건(initial condition)은 광센서를 통해 계측한 속도를 기반으로 125m/s로 선정하였다. 샘플링 주파수는 시험과 동일하게 약 125kHz로, 4ms 동안 전산해석을 수행하 였다. 전산해석 수행 결과 나타난 버드조립체 및 표적의 시간 대별 거동은 Fig. 12와 같다.
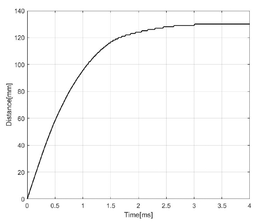
전산해석 시 가속도센서 장착을 위해 적용한 몰딩제, 인쇄 회로기판(printed circuit board, PCB)에 의한 완충효과를 고려하여야 하나 진동 등으로 인해 정확한 해석이 어려워, 본 연구에서는 링너트2의 평균 절대속도를 기준으로 분석하였다. Fig. 13과 Fig. 14은 시간에 따른 링너트2에서의 비행속도 및 표적 침투깊이를 나타낸다. 표적의 침투깊이는 비행속도를 적분하여 약 133mm로 계산되었으며 실제 시험 측정치인 135mm와 유사한 결과를 보임을 확인하였다.
전산해석으로 계산한 속도를 미분하여 산출한 충격 감가속 도는 Fig. 15와 같으며 최대 충격 감가속도 값(peak. G)은 약 40kG이상으로 계산되었다. 이는 Fig. 7의 침투이력 측정 장치 결과와 유사한 경향성은 보이나 전반적으로 고주파 성분이 많아 최대 감가속도 크기 값 등에서 실험과 차이가 보임을 알 수 있다.
4.2. 전산해석 및 시험 결과 비교 분석
본 절에서는 앞 서 언급한 바와 같이 충격 감가속도에 대한 전산해석 결과(Fig. 15)와 시험 결과(Fig. 7)를 비교분석 하여 전산해석 기법에 대한 타당성을 검증하고자 한다.
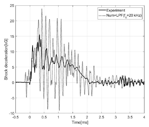
전산해석을 통해 획득한 데이터와 시험데이터의 주파수 특성을 비교하기 위해 Fig. 16과 같이 FFT(fast fourier transform, FFT)를 수행한 후, 주파수 분석을 위해 각각의 신호 값에 대해 Power spectrum density 성분을 확인하 였다. 각각의 결과에 대한 주파수성분을 비교한 결과, 시험을 통해 획득한 데이터에서는 약 5.8kHz이상의 신호가 거의 없음을 확인하였다.
침투이력 측정장치는 자체 내장된 회로를 통해 기본적으로 20kHz의 LPF(low pass filter, LPF)를 적용하여 신호를 획득한다. 이에 시험과 동일하게 전산해석 결과에서 LPF 20kHz을 적용하여 Fig. 17과 같이 데이터를 획득하였다. 그림을 통해 실험 값과 전산해석 값의 차이는 신호처리 기법의 차이가 아닌 가속도센서에 적용된 몰딩제의 영향과 버드조립 체와 표적 간의 충돌 시 발생한 상호작용에 의한 완충 효과가 반영되어 나타난 결과로 추정한다.
이러한 물리적인 완충 효과를 고려하여 전산해석 결과에 대한 추가적인 후처리를 수행하고자 하였다. 가스건 시험 시 발생한 물리적인 완충효과에 의한 감쇄현상인지에 대한 확인을 위해 시험과 동일하게 주파수(fc) 성분의 5.8kHz이상 신호에서의 LPF와 이동평균필터(τ=1/fc, Moving average filter)를 적용하여 비교 및 분석하고자 한다.
각각의 필터링 기법을 통해 후처리를 수행 후 획득한 해석 결과는 Fig. 18과 같으며, 실험결과 및 해석 결과에 필터링하여 획득한 데이터(최대 충격 감가속도, 지속시간 등)는 Table 3 에 비교하였다.
실험결과 및 해석결과를 비교한 결과, 최대 충격 감가속도의 경우 약 15%의 오차를 지니지만 동적거동은 거의 유사한 경향 성을 띄는 것을 확인하였다. 또한, 침투 깊이 및 지속시간은 약 2%미만의 오차를 지님을 알 수 있었다. 위와 같은 비교 및 분석을 통해 버드조립체와 표적에 관한 기본적인 재료 물성치 및 모델방정식에 대한 검증을 수행하였으며, 납 표적 충돌에 대한 동적거동을 예측하는 기본적인 자료구축을 하였다.























