1. 서 론
2. 본 론
2.1 이동 질량하중을 받는 2차원 연속 보의 진동
2.2 Abaqus를 이용한 이동 질량 유한요소해석 방법
2.3 해석 방법의 검증
3. 연속보의 보행하중 진동 유한요소해석 예제
3.2 해석 결과 및 고찰
4. 결 론
1. 서 론
보 위를 이동하는 하중에 대한 진동 해석 문제는 교량, 철도 궤도 등의 다양한 분야에서 오래 전부터 연구되어 온 문제이다(Ouyang, 2011). 이 문제를 위한 해석 모델로는 가장 단순한 이동 집중하중 모델을 이용한 해석적 해(Fryba, 1972) 부터 이동하는 차량이나 열차의 바퀴, 현가장치 및 차체구조를 모두 모델링하여 정확한 상호 작용력을 해석할 수 있는 정밀한 동적 유한요소모델까지 매우 다양한 모델이 존재한다(Esmailzadeh and Jalili, 2003; Lee et al., 2016).
이 논문에서는 보 위를 이동하는 질량체의 연직방향 관성을 고려할 수 있는 효율적인 연속 보의 동적 해석 방법을 제시한다. 이 연구에서 제안하는 방법은 이동 질량체와 보의 사이에 작용하는 상호작용력을 운동방정식 상에서 고려하지 않고, 보에 작용하는 연직 방향 하중과 질량체의 연직 관성 효과를 상호 독립적으로 하여 계산함으로써 해석의 효율을 높일 수 있는 방법이다. 즉, 질량체의 연직 방향 운동은 그 위치에서 보의 연직 방향 운동과 일치하여 움직임으로써 관성효과가 고려된다. 질량체와 보 사이에 작용하는 상호작용력은 보에 작용하는 외부하중으로 모델링되며 이 하중은 미리 결정되어 주어지는 값으로 한다.
따라서 이 방법은 질량체의 관성력과 상호작용력의 변화가 크지 않고 상호작용력에 의해 질량체의 운동이 크게 영향을 받지 않는 경우의 해석에 적합한 방법이다. 이러한 경우의 예로서 보행교의 동적 진동 설계를 위한 사람의 보행하중 모형을 생각할 수 있다. 많은 연구로부터 보행교 설계 및 해석을 위한 여러 보행하중이 제안되었다(Ruiz et al., 2022). 이들 보행하중 모델의 개발에서 어려운 부분은 교량의 움직임에 동화되는 사람의 움직임을 역학적인 모델로 표현하기 쉽지 않고, 그 상호작용력 또한 알아내기 어렵다는 점이었다(Živanović et al., 2005). 이에 따라 실험 등을 통한 연구를 통해 교량에 작용하는 보행하중 모델은 교량에 작용하는 외부하중으로 제안되기도 하며(Sétra, 2006), 일반적으로 이 하중은 보행자의 운동을 해석하기 위한 상호작용력으로 사용하지는 않는다. 이 연구에서는 이러한 보행하중을 사용함에 있어서 보행자의 질량에 의한 관성 효과를 고려할 수 있는 평면 연속보의 면내 연직 방향 진동에 대한 동적 유한요소해석 방법을 제시한다. 해석은 범용 유한요소해석 소프트웨어인 Abaqus를 이용하였으며, 보의 진동에 연계된 질량체의 관성효과를 구현하기 위해 보의 절점과 이동하는 강체 질량의 절점 변위를 구속조건으로 연계하여 해석하는 방법을 제시하였다. 연속보의 이동 질량 진동 문제에 대한 기존의 해석적 방법에 의한 해와의 비교를 통해 제시하는 방법의 유효성을 보인다. 또한 잘 알려진 보행하중 모델을 이용한 이동 보행 하중해석에서 보행자의 질량 효과를 살펴보기 위한 간단한 보 모델에 대한 해석 결과를 제시하고, 이 연구에서 제안하는 방법의 효율성과 한계점 및 향후 연구 방향에 대하여 기술한다.
2. 본 론
이 장에서는 범용 유한요소해석 소프트웨어인 Abaqus를 이용하여 이동 질량 효과를 고려할 수 있는 2차원 평면 연속 보의 연직 진동 해석 방법을 제시한다. 기존의 해석적 방법에 의한 해와 제시한 유한요소해석 방법의 해를 비교하고, 이 방법이 이동체와 구조물의 상호 작용을 직접 해석하지 않는 하중 모형을 사용할 때 이동체의 질량 효과를 고려하고자 하는 경우에 효과적인 방법임을 보인다.
2.1 이동 질량하중을 받는 2차원 연속 보의 진동
이 논문에서는 Fig. 1에 보인 바와 같이 보의 길이 방향을 따라수평으로 이동하는 강체 질량에 의한 연직하중을 받는 2차원 연속 보의 연직 진동을 고려한다. 이 문제에 대한 해석을 위해 이 논문에서 도입한 주요한 가정은 다음과 같다.
첫째, 강체 질량과 보 사이의 연직 방향 상대 변위는 일정한 것으로 하였다. 즉 질량체가 보의 연직 진동과 동일하게 움직인다는 가정으로서, 보에서 떨어지지 않고 움직이는 바퀴 또는 질량 중심과 보와의 거리가 크게 변하지 않는다고 가정할 수 있는 보행자 등을 고려할 때 유효한 가정이다. 바퀴와 차체가 현가장치 등을 통해 연결되어 차체 질량의 움직임이 별도로 고려되는 진동 해석과는 대비된다.
둘째, 강체 질량과 보 사이에 작용하는 상호 작용에 의해 보에 가해지는 하중은 이동하는 질량체의 위치에서 보에 연직 집중하중으로 작용하는 시변 외력으로 가정한다. 이 가정은 상호 작용력을 미리 정의할 수 있거나, 해석의 정확성을 크게 해치지 않는 범위에서 상호 작용력을 적절하게 가정할 수 있을 때 유용하다. 특히 질량체와 보와의 상호작용을 따로 계산하지 않을 수 있으므로 계산의 효율성을 크게 높일 수 있는 장점이 있다. 현재 보행교의 진동해석 등을 위해 사용되고 있는 여러 보행 하중 모델은 실험 등을 통하여 교량에 전해지는 외력을 모델링한 하중이므로 이 가정은 그러한 보행 하중 모형을 사용하는데 적합하다.
2.2 Abaqus를 이용한 이동 질량 유한요소해석 방법
이 절에서는 2.1절에 정의한 이동하는 강체 질량과 연계된 2차원 연속 보의 동적 해석 문제를 범용 유한요소해석 소프트웨어인 Abaqus를 사용하여 해석하는 방법을 제시한다.
2.2.1 구조 모델 및 동적 해석
보 구조는 가장 간단한 구조 요소인 보 요소를 사용하여 모델링 할 수 있다. 기본적인 베르누이 보 요소와 전단효과를 고려한 티모센코 보 요소 모두 사용이 가능하다. 이동 질량은 강체 절점 요소로 모델링하였다. 이동 질량체의 회전 질량은 고려하지 않는다. 재료 비선형 및 기하 비선형 효과는 필요에 따라 고려할 수 있으며 이 해석방법에서 특별히 제한되는 요인은 없으나 심한 비선형성을 고려해야 하는 경우 해의 수렴성에 주의를 기울일 필요가 있다. 동적 해석은 시간 이력 해석을 수행하였다. 이 연구에서는 보의 변형이 크지 않고 재료도 선형 거동하는 범위의 응답을 고려하여 각 시간증분에서 평형조건과 적합조건을 만족하는 내연적(implicit) 방법으로 동적 해석을 수행하였다.
2.2.2 강체 질량의 수평 이동 운동 및 이동 하중
강체 질량의 수평 이동 운동을 모사하기 위해서 Abaqus의 절점경계조건 *BOUNDARY에서 속도 경계 조건 옵션 TYPE = VELOCITY를 사용하였다. 이 속도 경계 조건에서는 강체 질량이 정의된 절점에 대하여 보의 길이 방향으로 정해진 속도를 주면 외력이나 다른 구조에 의한 간섭이 없는 한 그 절점은 정의된 속도로 계속 운동한다. 이 해석에서 강체 질량의 수평 방향 운동은 구속을 받지 않고 등속으로 계속 운동한다. 그러나 연직 방향으로는 2.2.3에 설명할 제약 조건에 의해 보와 함께 운동하여 연직 방향 운동에 대해 질량의 관성효과를 고려할 수 있게 한다.
보에 작용하는 이동 하중은 2.1절에 설명한 가정에 따라 외력으로 작용하는 집중하중 로 모델링한다(Fig. 2). 이 집중하중은 질량체의 이동에 따라 위치가 같이 변하고 하중의 크기도 시간에 따라 변할 수 있다. 이 해석에서는 보 요소를 사용하므로 임의의 시간에 보 요소의 경간에 위치하는 집중하중을 등가의 절점하중으로 치환하였다. 즉, 보 요소의 양 절점에 작용하는 등가의 연직 및 모멘트 하중의 시간이력을 모두 구하여 각 절점에 재하 하는 방식으로 이동하중을 모델링하였다.
2.2.3 강체 질량과 보의 연직 변위 제약 조건
보의 연직 진동과 이동하는 강체 질량의 연직 방향 관성 효과를 연계하기 위해서 강체질량의 연직 변위를 그 위치에서의 보의 연직 변위와 묶어 함께 거동하도록 하였다. Abaqus에서 제공하는 다점 구속조건(multi-point constraint) *MPC 와 함께 제약조건을 기술하기 위한 사용자 서브루틴을 개발하여 이러한 제약조건을 다음과 같이 구현하였다.
임의의 시간 에서 수평 속도 로 이동하는 질량 인 강체가 수평 위치 에 위치할 때 절점 i와 절점 j를 연결하는 보 요소 안의 상대 위치를 라고 하면 식 (1)과 같이 쓸 수 있고, 그 지점의 보의 연직 변위 는 다음 식 (2)와 같이 나타낼 수 있다(Fig. 2).
여기서, 는 각각 보 요소 양 끝 절점 i와 j의 방향 좌표이다. 는 각각 절점 i의 연직 변위와 회전각을 나타내며 는 보 요소의 형상 함수이다(Logan, 2016).
강체 질량의 연직 변위를 라 하면 제약조건은 다음과 같이 나타낼 수 있다.
여기서 는 보와 강체 질량과의 연직 상대 변위로서 2.1절의 가정에 따라 일정한 값으로 한다. 따라서, 강체 질량은 수평으로 이동하되 그 위치에서 보의 연직 방향 진동과 같이 움직인다.
Abaqus의 *MPC 명령에서는 제약조건에 관여하는 모든 절점을 정의한다. 이 해석에서는 강체 질량의 절점과 강체 질량이 이동하는 보 위치의 모든 절점이 해당된다. 또한, 절점의 자유도 중에서 연직 방향 자유도만 제약조건으로 작용하므로, 자유도 제약조건 옵션을 사용한다. FORTRAN으로 작성한 사용자 서브루틴 MPC()에서는 질량체의 이동 위치에 따라 제약 조건을 적용할 보의 절점을 파악하고 이 때 값 및 그 때의 제약조건 식 (3)의 값을 계산할 수 있도록 프로그래밍하였다. Abaqus의 입력 파일에서는 *MPC, USER, MODE=DOF의 명령어를 사용하여 이를 구현하였다.
2.3 해석 방법의 검증
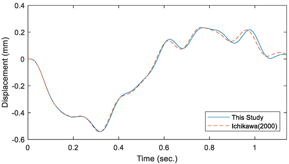
기존연구에서 등속도로 이동하는 하나의 질량에 대한 베르누이연속 보의 진동에 대하여 모드 중첩법에 의한 지배방정식이 유도되고 이의 직접적분법에 의한 해가 도출되었다(Ichikawa et al., 2000). 이 절에서는 기존 연구의 해와 제시하는 유한요소법에 의한 해를 비교하여 이 논문에서 제안하는 방법의 유효성을 보인다.
검증을 위한 해석 예로서 2경간 연속보를 고려한다. 보의 휨 강성은 1.96×109Nm2, 단위 길이당 질량은 1000kg/m, 한 경간의 길이는 20m이다. 이동 질량체의 질량은 800kg, 속도는 35m/s이다. 이동 질량에 의해 보에 작용하는 이동 집중하중은 해석적 방법에서 구할 수 있으며, 제시한 유한요소해석에서 사용한 외부 집중하중은 해석적 방법에서 구한 값과 동일하게 하였다.
첫 번째 경간 중앙점에서의 연직 변위의 시간이력 해석 결과를 Fig. 3에 보였다. 제시한 유한요소해석에 의한 변위와 기존 해석적 방법에 의한 변위가 일치하고 있으며, 이에 따라 제시한 유한요소해석 방법이 이동 질량의 연직방향 관성효과를 고려하는 정확한 진동해석을 수행할 수 있음을 확인하였다.
3. 연속보의 보행하중 진동 유한요소해석 예제
3.1 연속보 및 보행 하중 모형
제시한 방법을 이용한 첫 번째 해석 예제로서 2.3에서와 같은 2경간 연속 보에 보행 하중이 작용하는 경우를 고려한다. 등간격으로 총 40개의 평면 베르누이 보 요소인 B23을 사용하였고, 경계조건으로 0m, 20m, 40m 지점에 각각 핀, 롤러, 롤러 구속조건을 설정하였다. 해석 대상 2경간 연속보의 고유 진동수 및 모드 형상 중 처음 4개의 저차 모드를 Fig. 4에 나타내었다.
보에 작용하는 이동 보행 하중은 Sétra의 보행교 진동 평가를 위한 모델을 적용하였다(Sétra, 2006). 이 모델은 보행자의 이동 속도와 걸음을 내 딛는 보행 진동수를 모두 고려하는 동적 하중으로서 연직 방향, 진행 방향, 진행 직각 방향의 3차원 하중 모형이다. 이 연구에서는 연직 방향 하중 모델만 고려하였다. 보행자 한 사람에 의하여 시간 에서 보의 길이 방향 위치 에 작용하는 연직 방향 보행하중은 다음과 같다.
식 (4)에서 는 Dirac 연산자, 는 보행자의 속도이며, 식(5)에서 는 보행자 1인의 무게, 은 보행 진동수, 는 i번째 조화함수의 진폭 및 위상이다. 이 논문의 예제에서 고려하는 보행 하중은 크게 두 가지 경우로 하였다. 첫 번째 경우는 보행 인원수를 변화시켜 가는 것으로 이 예제에서는 으로 하고, 로 하였다. 보행자 수는 1, 2, 5, 10, 20, 50, 100명으로 변화시켜 가며 보의 진동을 해석하였다. 이 해석에서 모든 보행자는 보의 좌측으로부터 차례대로 진입하여 이동하고 각 보행자간 간격은 0.667m, 동일한 속도 =1.333m/s로 걸어가는 것으로 하였다. 보행자 10명이 이동하는 중의 해석 모델의 예를 Fig. 5에 보였다. 두 번째 경우는 100명의 보행자가 임의의 속도와 진동수로 보행하는 것으로 하였다. 보행자의 질량은 40~100kg, 보행 속도는 1.0~2.0m/s, 보행 진동수는 1.6~2.4Hz의 분포를 가지도록 하였으며, 보행 속도와 진동수는 양의 상관관계를 갖도록 샘플링하였다.
3.2 해석 결과 및 고찰
제시한 방법으로 Abaqus/Standard의 내연적(implicit) 시간적분법을 이용하여 시간이력해석을 수행하였다. 여기에서는 Newmark 방법의 일종인 Hilber-Hughes-Taylor 직접적분법(Hilber et al., 1977)을 사용한다. 시간 증분은 0.001초로 하였고 최대 동적 증폭 효과를 살펴보기 위해 별도의 감쇠는 고려하지 않았다.
보행자수 1명, 10명, 50명일 때 보의 첫 번째 경간 중앙점의 변위 시간이력 해석 결과를 Fig. 6에 도시하였다. 식 (4), (5)의 보행하중이 정적인 하중 효과에 더하여 주기적으로 반복되는 동적하중으로 구성되어 있으므로 이에 따른 변위 응답의 주기적 특성이 분명하게 나타나는 것을 알 수 있다. 이는 Fig. 3에 보인 주기적 특성이 없는 접촉하중에 의한 응답과 대비된다. 첫 번째 경간 중앙점의 최대 처짐은 보행자 그룹의 중심점이 해당 지점을 통과하는 시점에서 나타나고 있으며, 최대 솟음은 보행자 그룹이 두 번째 경간의 중앙점을 통과하는 시점에서 나타나는 것을 확인할 수 있다. 이는 정적 최대 처짐이 발생하는 하중의 위치와 동일한 것으로 볼 수 있다.
보행자 질량의 관성효과를 고려함에 따른 응답의 변화를 알아보기 위해 보행자 질량을 고려하지 않고 보행 하중만을 작용한 경우와 이 연구에서 제시한 방법으로 보행자 질량의 관성 효과를 같이 고려하는 경우의 변위 및 가속도 응답을 비교하였다. 각 경우에 대한 시간이력 해석 결과에서 보행자 수 변화에 따른 보의 첫번째 경간 중앙점의 최대 처짐 및 솟음과, 최대 가속도 응답을 각각 Table 1과 Figs. 7, 8에 보였다. 10명 이하의 보행자 수에서는 변위와 가속도의 최대 응답이 보행자 수가 증가함에 따라 거의 선형적으로 증가한다. 보행자 수가 10명 이상 증가하게 되면 선형적인 증가세가 둔화되는 것을 확인할 수 있다. 이는 보행자 간격에 의해 보행자 수가 많아질수록 보의 경간에 하중이 분포되는 경향이 커지기 때문인 것으로 판단된다. 경간 전체에 걸쳐 보행자가 놓이는 50명 이상의 보행자에 대해서는 일정 시점 이후 사실상 동일한 하중 상태가 지속되므로 최대 응답의 경우 인원수 증가에 따라 응답이 증가하는 경향은 보이지 않으며 거의 같은 최대 응답이 나오게 된다.
Table 1.
Maximum deflections and accelerations at the center of the first span for N pedestrians; A is the case with pedestrian masses, and B is the case without pedestrian masses. The relative difference is .
보행자 질량을 고려하는 경우와 고려하지 않는 경우를 비교하면 변위와 가속도 응답 모두 질량을 고려하는 경우의 최대 응답이 더 작았다. 보행자의 수, 즉 이동 질량이 증가할수록 이러한 경향은 더 크게 나타나며 중력방향 처짐의 경우 질량효과를 고려하지 않을 때 응답이 고려할 때 보다 100명의 보행자에 대해 최대 8.67%까지 크게 나타났다. 가속도 응답의 경우 이러한 차이는 더욱 두드러지게 나타나서 100명의 보행자에 대해 질량효과를 고려하지 않을 때 응답이 고려할 때의 응답에 비하여 최대 24.40%까지 크게 나타났다.
질량 효과의 고려 유무에 따른 응답의 차이는 동일한 가진력이 작용할 때 보행자의 질량이 추가됨에 따라 전체 운동계에서 관성력의 크기가 더 커지고 전체 계의 유효 고유 진동수가 변화함에 기인한 것으로 풀이된다. 이 예제에서는 질량 효과를 고려하지 않을 때의 경간 중앙점의 응답이 일관되게 크게 나타났으나 이는 가진 하중과 구조시스템과의 상대적인 특성 관계에 따른 것으로 항상 이러한 결과를 보인다고 말할 수 없다. 예를 들어 고정 진폭 sine파 하중을 받는 비감쇠 단자유도 진동계에서 질량의 증가는 작용하중 감소 및 진동계 고유 진동수 감소 효과를 가진다. 작용하중의 감소 효과는 정상 상태 응답 진폭을 줄이는 결과를 보이지만, 고유 진동수 감소가 가진 진동수와 근접하는 방향으로 이루어진다면 응답을 크게 하는 효과를 가지게 된다. 이 두 가지의 상관관계에 따라 결과적인 응답의 증감 유무가 결정된다. 이 예제에서는 보의 최 저차 고유 진동수 5.498Hz가 보행 하중의 주 가진 진동수 2.0Hz 보다 높으므로 고유 진동수 감소 효과는 응답 증가 요인에 해당되나 관성력 증가에 따른 응답 감소 요인이 더 주된 요인으로 작용하여 결과적으로 질량 효과를 고려할 경우 그렇지 않은 경우 보다 더 작은 응답을 나타낸 것으로 이해할 수 있다.
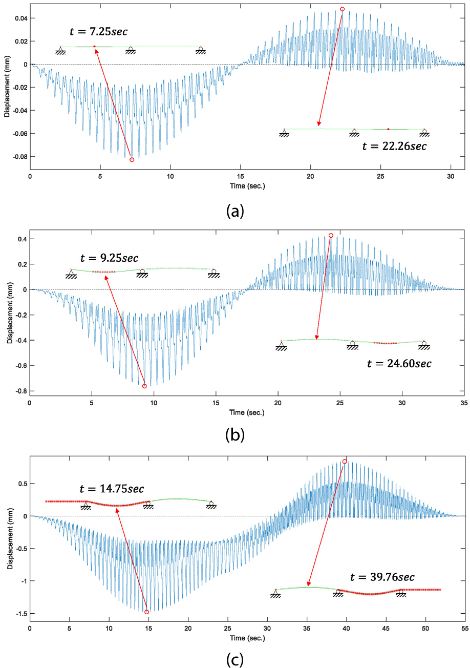
이러한 효과를 확인하기 위해 주요 보행 가진 진동수 2.0Hz와 고유 진동수가 가까운 길이 80m의 2경간 연속보에 대하여 질량효과를 고려하는 경우와 고려하지 않는 경우의 응답을 살펴보았다. 해석 대상은 각 경간 길이 40m, 휨 강성은 9.80×109 Nm2, 단위 길이당 질량은 1884kg/m이다. 이 보의 고유 진동수는 4차모드까지 각각 2.239Hz, 3.498Hz, 8.956Hz, 11.336Hz 이다. 보행 하중은 3.1절에서와 같은 모형을 사용하고 100명의 보행자에 대하여 동적 해석을 수행하였다. 질량 효과를 고려하는 경우와 고려하지 않는 경우에 대해서 첫 번째 경간 중앙점에서의 변위 및 가속도 시간이력 응답을 Fig. 9에 표시하였다.
해석 결과 이 보의 변위 응답과 가속도 응답은 전술한 40m 보와는 다르게 질량 효과를 고려한 경우가 고려하지 않은 경우에 비하여 더 큰 값으로 나타났다. 질량 효과를 고려하는 경우 최대 처짐 7.167mm, 최대 솟음 5.070mm, 최대 가속도 96.412 cm/s2이었다. 반면 질량 효과를 고려하지 않는 경우는 최대 처짐 6.489mm, 최대 솟음 4.568mm, 최대 가속도 89.847cm/s2 이었다.
같은 보에 대하여 동일한 보행이 아닌 3.1에 제시한 임의의 속도와 진동수로 보행하는 100명의 보행자에 대하여 질량 효과를 고려하는 경우와 고려하지 않는 경우의 응답을 살펴보았다. 첫번째 경간 중앙점의 변위 및 가속도 시간이력 해석 결과와 첨두 값에 대한 포락선을 Fig. 10에 표시하였다.
해석 결과 변위 응답과 가속도 응답은 질량 효과를 고려한 경우가 고려하지 않은 경우에 비하여 최대 솟음을 제외하고 더 큰 값으로 나타났다. 질량 효과를 고려하는 경우 최대 처짐 8.441mm, 최대 솟음 6.084mm, 최대 가속도 139.902cm/s2이었다. 반면 질량 효과를 고려하지 않는 경우는 최대 처짐 7.602 mm, 최대 솟음 7.164mm, 최대 가속도 136.842 cm/s2이었다.
예제의 80m 2경간 연속보에 대하여 동일 보행 또는 임의 보행하는 100명의 보행 하중이 작용할 때 질량효과를 고려하는 경우가 그렇지 않은 경우 보다 최대 응답이 크게 나타날 수 있음을 확인하였다. 이는 전술한 바와 같이 질량 효과를 고려할 때 보의 고유 진동수가 감소하는 효과가 가진력으로 작용하는 보행 진동수에 보다 근접하는 경우에 나타날 수 있는 현상으로 판단된다.
4. 결 론
이 연구에서는 보 위를 이동하는 질량체의 연직 방향에 대한 관성 효과를 고려하여 보의 진동을 해석할 수 있는 유한요소해석 방법을 제안하였다. 제안하는 방법은 이동 질량체와 보의 상호작용력은 외부 하중으로 표현하고 질량체의 관성 효과만을 운동방정식에 연계시키는 것으로, 정밀한 상호작용 해석을 요하지 않는 경우에 질량의 진동 방향 관성을 유효하게 고려할 수 있는 효과적인 계산 방법이다. 제안하는 해석 방법은 범용 유한요소해석 소프트웨어인 Abaqus의 다점 구속조건(MPC) 기능과 사용자 서브루틴을 사용하여 구현하였고, 보 위의 이동 질량 하중 진동에 대한 기존 연구의 해석적 방법에 의한 수치해와의 비교를 통해 유효성을 보였다.
제안하는 해석 방법의 활용 예로서 보행 하중을 받는 평면 2경간 연속 보의 진동을 해석하였다. 기존 연구에서 개발된 많은 동적 보행 하중 모델은 사람과 교량과의 복잡한 상호작용을 정밀하게 모사하기 보다는 보행자에 의해 교량에 작용하는 동적 하중의 특성을 표현하도록 개발되고 있으므로 제시한 해석 방법의 적용에 적합하다. 해석 결과 제시하는 방법은 이동 질량체의 관성 효과를 적절하게 구현할 수 있는 것으로 나타났다. 보행자의 질량을 고려하는 경우와 고려하지 않는 경우 보의 변위 및 가속도 응답을 확인하였다. 보행자 질량의 진동 관성이 고려될 경우 응답은 질량을 고려하지 않을 때에 비하여 증가 또는 감소할 수 있으며, 이는 관성력의 증가와 고유 진동수 감소 효과의 상대적 차이에 기인하는 것으로 풀이된다.
제안하는 해석 방법은 범용 유한요소해석 소프트웨어인 Abaqus의 다점 제약조건(MPC)옵션과 사용자 서브루틴을 사용하여 구현하였으므로 실무에서 마주하는 다양한 문제에 적용이 가능하고 유사한 기능을 제공하는 다른 프로그램으로도 구현할 수 있을 것으로 기대된다. 특히 보행교의 진동 해석 및 설계 실무에 적용할 수 있을 것으로 기대된다. 이 논문의 예제에서는 2차원 평면 보의 단순한 구조에 대하여 해석을 수행하였으나 제안한 방법론은 실무에 적용하는 3차원 교량 모델을 이용한 해석에 제약이 없다. 해석에 소요되는 계산 시간의 경우 3.70GHz 클럭의 Intel i9 CPU에서 해석 시간 1초당 1분 정도의 실 시간이 소요되었다.
향후 출렁다리와 같이 보행자의 질량 효과를 무시할 수 없는 경량의 유연한 교량에 대한 동적 해석에 제안한 방법을 적용할 수 있을 것이다. 다양한 보행 가진 시나리오와 보행 하중 모형을 적용한 매개변수 연구로 보행교의 동적 거동 특성을 좀 더 명확하게 파악하는 향후 연구가 필요하다. 특히 이 연구의 결과만으로 보행교 설계시 보행자의 질량효과를 반드시 고려하여야 하는지를 판단하기는 어렵지만 보행진동수와 유사한 고유진동수 특성을 갖는 보행교에 대해서는 질량 효과를 고려할 때 더 큰 응답을 가질 수 있음을 고려해야 할 것으로 판단된다. 특히 설계 단계의 고유 진동수는 실제 시공이 이루어 진후의 실 교량의 고유 진동수와 차이가 있을 수 있으므로 설계 단계의 해석 모델에서 근소한 차이로 주 보행 진동수 영역인 1.8~2.2Hz를 벗어난다고 하여 진동 사용성에 문제가 없는 것으로 판단하는 것은 진동을 과소평가 할 수 있을 것으로 보인다. 또한 실제 보행교의 가속도 응답 해석을 통한 실제적인 사용성 평가를 위해서는 강 또는 콘크리트 부재를 이용한 실 보행교 모델에 대하여 감쇠효과를 포함한 해석을 수행할 필요가 있다.












