1. 서 론
일반적인 고체역학 문제의 지배방정식은 변위에 대한 공간 2차 미분을 포함한다. 그러나 컴퓨터를 이용한 수치해석에 있어서 미분을 계산하기 어렵기 때문에 최대한 미분하는 횟수를 줄이는 방향으로 알고리즘이 발전하였다. 유한요소법(finite element method)은 이러한 문제를 해결하기 위하여 해석영 역을 일정한 크기의 요소(mesh)로 나누어 적분계산 함으로써 지배방정식의 미분계산을 한 번으로 줄였다. 이 획기적인 방법 으로 인해 수치해석 알고리즘이 크게 발전하였지만 해석 대상이 복잡해질수록 요소 때문에 많은 문제점들이 발생하였다. 복잡한 형상을 요소로 표현하는데 많은 시간과 노력이 필요했으며, 해석 과정에서 해석 대상의 형상이 변화할 경우 그 변화를 표현하기 매우 어려웠다. 이러한 문제점을 해결하고자 요소를 사용하지 않고 수치해석을 가능하게 하는 무요소법(meshfree method) 이 등장하였다. 초기 무요소법은 두 가지 형태로 제시되었는데, 그 중에 하나는 Element-free Galerkin(EFG)법(Belytschko et al., 1994)이고, 다른 하나는 재생 커널 무요소법(reproducing kernel particle method; Liu et al., 1995)이다. 그러나 초기 무요소법들도 지배방정식의 2차 미분을 직접으로 계산할 수 없었기 때문에 수치적분이 필요했고, 결국 요소에서 완전히 벗어나기 힘들었다.
요소의 제약에서 완전히 탈피하기 위해서는 지배방정식의 2차 미분을 직접적으로 계산할 수 있어야 했고, 이를 수치해석적으로 풀어내기 위해서 차분법의 개념이 도입되기 시작했다. 이 과정 에서 등장한 방법은 무요소 점별 콜로케이션법(meshfree point collocation method)이다(Aluru, 2000;Zhang et al., 2001;Kim and Kim, 2003;Lee and Yoon, 2004). 이 방법들은 형상함수의 2차 미분형태를 직접 추출하여 고체역학 지배방정식의 2차 미분을 근사적으로 계산한다. 그렇기 때문에 절점만을 이용해서 수치해석이 가능하여 요소의 제약을 근본 적으로 해결할 수 있었다. 무요소 점별 콜로케이션법은 초기에는 간단한 문제들에 적용되어 졌지만(Yoon et al., 2006;Wen and Aliabadi, 2007), 여러 가지 형태로 발전하면서 이동경계 및 동적균열해석 등과 같이 복잡한 해석에 사용되었다(Yoon and Song, 2014;Yoon et al., 2014;Kim et al., 2016;Salehi, 2017). 하지만 2차 미분 근사함수를 직접 추출하여 사용하는 수치방법들은 양형식 기반의 유한요소법보다 유한차 분법(finite difference method)의 형태를 보이기 때문에 수식적으로 간단하게 설명하기 힘들뿐만 아니라 유한요소법을 기반으로 만들어진 다양한 알고리즘들을 적용하기가 어려웠다. 특히, Newton-Raphson 방법이 필요한 비선형 해석에 있어서 2차 미분 근사함수를 그대로 적용할 수 없었다. 그래서 Yoon (2016)에 의해 1차 미분 근사함수를 조립하여 사용하는 알고 리즘이 제시되었다.
본 논문에서는 MLS 차분법의 1차 미분 근사함수만을 이용 해서 운동방정식을 이산화하고 동적문제를 해석한다. 기본적 으로 MLS 차분법은 지배방정식을 강형식 형태로 절점 정보를 이용해서 수치해석을 할 수 있기 때문에 약형식을 사용하는 수 치방법들에 비교하여 해석량이 적은 편이다. 여기에 1차 미분 근사함수만을 사용하여 강형식을 이산화하게 되면 해석량은 더욱 줄어들게 된다. 또한, 1차 미분 근사함수를 사용할 경우, 차분법 형태로 정리되었던 기존의 수치방법들을 요소법 형태로 재정의할 수 있기 때문에 요소법의 알고리즘을 그대로 활용할 수 있다. 시간에 따른 해석을 위해서 중앙차분법(central difference method)으로 수치적분하며, 본 논문에서 제시 하는 알고리즘의 정확성을 검증하기 위해 유한요소법의 해석 결과와 기존의 2차 미분 근사함수를 활용한 해석결과를 활용 한다.
2. 1차 미분 근사식을 이용한 MLS 차분범
본 장에서는 Taylor 전개의 1차 미분식만을 이용하여 MLS 차분법의 미분근사식을 유도한 후, 2차 미분이 필요한 강형식 지배방정식을 1차 미분근사식으로 이산화하는 과정을 소개 한다. 이 과정에서 운동방정식을 변위화시키기 위해 중앙차분 법을 활용하여 시간적분을 하였다.
2.1 MLS 차분법의 1차 미분 근사식
MLS 차분법은 Taylor 전개를 바탕으로 이동최소제곱법을 이용하여 형상함수를 도출하기 때문에 미분근사식의 유도과정이 간편하다. Yoon 등(2014)에 의하여 상세한 유도과정이 제시 되어 있으나, 본 논문에서는 2차원 상태를 가정하여 간략하게 1차 미분근사식을 유도해 본다. x = (x, y) 는 임의의 점을 나타 내며 x0 = (x0, y0) 는 기준점을 의미한다. 또한, 임의의 점 x 에 대한 x방향 1차 미분은 x[x]이며, y방향 1차 미분은 x[y]이다. 이 때, 임의의 기준점 x0에 대한 x 점에서의 1차 Taylor 다항 식은 다음과 같다.
식 (1)을 다항식 기저벡터와 미분계수에 대한 계수벡터로 정리하면 아래와 같다.
여기서, pT(x, x0)는 1차 다항식 기저벡터이며, c(x0)는 미분 계수에 대한 계수벡터이다. x0점의 영향영역 내에 포함된 절점의 수를 N 개로 가정하고, 가중함수식을 이용하여 절점들의 관계를 정의할 수 있다. 이 관계식을 이동최소제곱법으로 정리하면 아래와 같은 식이 유도된다.
여기서, 는 가중함수이고, uI 는 XI에서의 해(solution) 값이다. 가중함수에서 r은 기준점 x0에 대한 영향 반경을 나타낸다. 식 (3)을 최소화하는 과정에서 기준점 x0를 실제로 함수값을 계산하려는 위치 xc로 치환하여 정리하면 식 (4)와 같이 c(xc)가 유도된다.
여기서, 는 xc의 영향반경 안에 속하는 절점변위(nodal solution) 값들을 모아 놓은 벡터이다. 식 (2) 를 참고하여 식 (4)를 행렬의 형태로 정리하면 다음과 같은 1차 미분 근사식을 얻을 수 있다.(5)
여기서, ϕI(xc)는 xc점에서의 절점 I 에 대한 미분근사 형상 함수를 나타낸다. Taylor 다항식을 1차로 제한하였기 때문에 형상함수가 1차 미분까지만 유도되었다. 3행만으로도 각 방향에 대한 1차 미분 근사함수가 모두 구해지기 때문에 다양한 미분 형상을 모사할 수 있다. MLS 차분법이 강형식을 그대로 이산 화하여 수치해석을 할 수 있는 가장 중요한 이유이다.
2.2 지배방정식의 이산화
기본적으로 미소변형을 가정하고 해석대상의 내부영역에서 동적해석이 고려된 강정식화 운동방정식은 아래와 같다.
여기서, σ는 응력텐서, b는 체적력, ρ는 밀도, a는 가속도 벡터 이며, Ω는 내부영역을 의미한다. 응력텐서는 변위에 대해 한 번 미분된 형태를 취하고 있으며, 식 (6)에서 응력텐서가 또 미분 되어 있기 때문에 내부영역의 지배방정식은 변위를 총 2번 미분한 형태이다. 내부영역 지배방정식을 아래와 같이 Navier 방정식으로 표현하면 미분의 형태를 더 쉽게 이해할 수 있다.
여기서, 는 Laplace 연산자이며, u 는 변위 벡터 이고 λ와 μ는 Lamé 상수이다. 기존 연구(Yoon et al., 2014)에서 식 (7)은 미분연산자 L 에 의하여 표현되었는데, 2차원 상태에서 체적력이 0일 때, xJ 점에 대한 Navier 방정 식을 미분연산자로 나타내면 아래와 같다.(8)
여기서, u 는 N 개의 영향영역에 포함된 절점들의 변위 벡터이고, 미분연산자 L 은 xJ 점에 대해서 아래와 같이 정의된다.
여기서, ϕ[xx] 는 x방향으로의 2차 미분을 뜻하며 ϕ[yy] 방향에 대한 2차 미분을 의미한다. 이처럼 운동방정식을 이산화하기 위해서는 2차 미분이 필요하기 때문에 기존 연구에서는 2차 미분 근사함수를 계산하여 사용하였다. 그러나 본 논문에서는 1차 미분 근사함수를 조합하여 2차 미분을 근사한다. 미분연 산자 L 을 분해하여 행렬의 곱 형태로 재정리 하면 운동방정식을 아래와 같이 나타낼 수 있다.
여기서, 재료의 물성치(material property)를 나타내는 D와 xJ 에 대한 1차 미분 근사 형상함수 B , 0차 미분 근사 형상함수 I는 다음과 같다.
여기서, 재미있는 사항은 강형식으로 이산화한 운동방정식의 형태가 약형식을 사용하는 유한요소와 많이 닮아 있다는 점이다. 유한요소에서 강성행렬은 변형률과 재료의 물성치의 곱으로 표현되는데, MLS 차분법을 이용해도 비슷한 형태의 강성행렬 (BTDB = K)을 만들어 낼 수 있다. 또한, 재료 밀도와 0차 미분 근사함수를 이용하여 질량행렬(ρI = M)과 비슷한 형태를 만들 수 있다. 이렇게 되면 K와 M을 이용해서 모드해석을 수 행할 수 있다. 차분법의 경우 모드해석을 수행하기 위해서는 복잡한 수식을 다뤄야 했지만 본 논문에서 제시하는 방법은 유 한요소에서 사용하는 간단한 매트릭스 방법을 이용하여 해석 할 수 있다.
자연경계(Γt)와 필수경계(Γu)에 대한 지배방정식은 각각 다음과 같다.(15)
여기서, n 은 표면에서의 단위수직벡터이고 t 는 외력 벡터를 의미하며, u 는 초기에 정의된 변위값을 나타낸다. 전체 시스템 방정식을 구성하기 위해서는 각각의 지배방정식을 변위에 의한 식으로 정리할 필요가 있다. 식 (14)를 변위에 관한 식으로 정리 하면 아래와 같다.
앞에서와 마찬가지로 물성치 행렬과 0차, 1차 미분 근사함 수를 이용해서 경계 지배방정식을 정리하면 아래와 같다.
경계조건으로 이산화된 지배방정식을 깔끔한 형태로 정리 가능하다.
내부와 경계의 모든 지배방정식을 1차 미분 근사함수를 이 용하여 이산화 하였다. 그러나 하나의 시스템 방정식을 구성 하기 위해서는 운동방정식에 남아 있는 가속도 항을 변위로 치환해 주어야 한다. 가속도 항을 변위로 바꾸기 위해서는 시간 적분이 필요한데, 본 논문에서는 가장 널리 사용되고 있는 중앙 차분법을 활용하였다. 중앙차분법의 가속도 식은 아래와 같다
여기서, n은 시간단계(time step)를 의미하며, Δt는 시간단 계의 간격을 나타낸다. 식 (10)에 식 (19)를 대입하고 K와 M으로 정리하면 아래와 같이 변위로만 구성된 운동방정식을 얻을 수 있다.(20)
이 운동방정식은 동적해석을 위해 중앙차분법을 사용한 유한 요소 운동방정식과 동일한 형태이다. 이렇게 모두 변위로 치환 된 지배방정식을 하나의 시스템 방정식으로 묶을 수 있다. 해석 영역의 전체 절점의 수 Nt에 대한 시스템 방정식은 아래와 같다.(21)
해석영역 내의 절점의 상태에 따라서 그에 맞는 지배방정식을 연결해주면, 전 시간단계의 변위값들을 이용하여 계속 다음 단계의 변위를 구할 수 있다.
3. 수치예제
이 장에서는 1차원 단순보의 고유진동을 계산하여 MLS 차분법과 유한요소법을 비교한 후, 2차원 문제들을 MLS 차분 법으로 동적해석하여 이론값과 비교하는 과정을 통해 본 논문 에서 제시하는 알고리즘의 정확성을 살펴본다.
3.1 단순보의 고유진동 문제
우선, 앞서 제시한 K와 M의 특징을 살펴보기 위하여 Fig. 1과 같은 1차원 단순보의 고유진동을 계산하였다. 단순보를 총 101개의 절점으로 모사하였으며, 재료의 물성치는 밀도 ρ = 7.24×10-4kg/m3, 탄성계수 E = 3.0×107N/m2를 적용하 였다. 고유진동의 모드형상은 모드 1에서 모드 4까지 계산하여 도시하였다.
Fig. 2는 유한요소법으로 만들어진 강성행렬과 질량행렬을 바탕으로 해석한 고유진동의 모습을 보여준다. 이론적으로 알려진 모드 별 진동의 모습을 잘 따르고 있다. Fig. 3는 MLS 차분법을 통해서 운동방정식을 이산화하여 얻어진 K와 M으로 계산한 고유진동의 모습을 보여준다. 차분법을 통해서 강형식으로부터 계산한 고유진동의 형상이 약형식을 기반으로 한 유한요소와 거의 같음을 확인할 수 있다.
MLS 차분법의 K행렬을 B 와 D로 불리하는 기술은 비선형 해석을 수행할 때 추가적인 수식 전개없이 유한요소법의 알고 리즘을 그대로 사용할 수 있게 해준다. M행렬은 고유진동 해석에서 뿐만 아니라 복잡한 시간적분을 간편하게 해줄 수 있다. 전체적으로 K와 M을 활용하게 되면 MLS 차분법에 다양한 알고리즘을 적용할 수 있게 된다.
3.2 캔틸레버 보 문제
1차 미분 근사함수로만 구성된 MLS 차분 알고리즘을 동적 해석 문제에 적용할 수 있는지 확인하기 위해 Fig. 4와 같은 캔틸레버 보 문제를 해석하였다. 2차원 캔틸레버 보는 알려진 이론해가 존재하지 않기 때문에, 해석결과의 정확성을 확인하여 위하여 포아송비를 0으로 하고 1차원 고정단 빔 문제의 이론해 (Clough et al., 1975)와 비교하였다. 또한, 2차 미분 근사 함수와 1차 미분 근사함수를 모두 사용하여 두 해석결과의 특징을 분석하였다. 외력 P =1kN은 등분포의 형태로 시간에 따라서 일정하게 적용하였으며, 전체 85개의 절점으로 모델링 하였다. 해석대상의 재료 물성치는 밀도 ρ=1.0kg/m3, 탄성 계수 E=3.0×107N/m2로 가정하였고, 시간간격은 Δt=2.0×10-4s로 설정하였다.
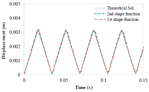
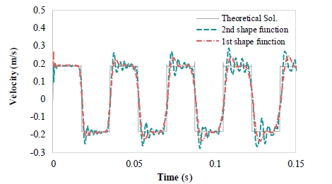
Fig. 5는 해석 대상의 끝단 A점에서 시간에 따른 변위 변화를 보여준다. 2차 미분 근사함수와 1차 미분 근사함수를 이용한 해석결과가 모두 이론해를 잘 따라가고 있다. 본 논문의 알고 리즘은 1차 미분 근사함수만을 사용하였는데도 불구하고 2차 미분이 필요한 해석을 무난하게 수행하고 있다. Fig. 6에는 각 근사 형상함수 별로 중앙차분법을 이용하여 해석된 변위로 부터 속도를 계산하여 도시하였다. 2차 미분근사 함수를 사용한 해석 결과의 경우 속도가 같은 값으로 유지되는 부분에서 떨림 현상(oscillation)이 발생하였다. 이러한 현상은 변위를 시간 으로 한 번 미분하였기 때문에 발생하는 오차라고 볼 수 있다. 그러나 1차 미분근사 함수를 사용 할 경우 이 떨림현상이 현저 하게 줄어든다. 이는 1차 미분근사 함수와 물성치 행렬을 조립 하여 만들어진 K가 변위와 곱해지면서 변위의 떨림현상을 상쇄 시켜주는 역할을 하게 되기 때문이다. 변위의 떨림현상은 변위 그래프에서는 잘 나타나지 않지만 변위를 미분했을 때 크게 나타 난다. 1차 미분 근사함수의 사용은 지배방정식 이산화를 간편 하게 하여 전체 계산의 난이도를 낮추는 장점뿐만 아니라 해석 결과의 떨림현상을 잡아주는 장점도 가지고 있다. 동적해석의 경우 각 시간단계에서 발생하는 오차가 시간이 지날수록 중첩 되는 특징이 있다. 특히, 중앙차분법과 같은 explicit 수치적 분법을 사용할수록 오차의 중첩이 심한데, 1차 미분 근사함수 사용을 통해서 이러한 오차의 중첩을 완화시킬 수 있다. 이러 한 특징은 해석하는 대상이 복잡해질수록 큰 장점이 된다.
3.3 직사각형 조각 문제
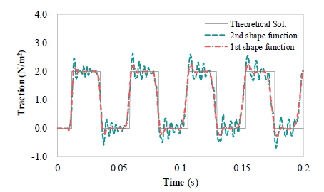
다양한 해석 결과를 확인하기 위하여 Fig. 7과 같이 세 면이 롤러로 고정되어 있는 직사각형 조각 문제를 해석하였다 (Dominguez, 1993). 총 231개의 절점으로 해석 대상을 모사 하였으며, 외력 P =1kN는 등분포의 형태로 시간에 따라 일정 하게 적용하였다. 평면변형률 상태를 가정하였으며, 탄성계수는 E =1.0×105N/m2, 포아송 비 υ=0.25, 밀도 ρ=1.0kg/m3, 시간간격은 Δt=2.0×10-4s로 적용했다.
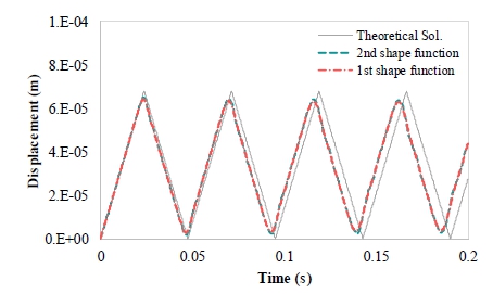
Fig. 8은 해석대상 상단 중앙의 B점에서 변위의 변화를 나타내고 있으며, 앞선 예제와 동일하게 2차 미분 근사함수와 1차 미분 근사함수를 모두 사용하여 그 결과를 비교하였다. 중앙차분법은 해석시간이 흐를수록 이론해보다 진폭이 짧아 지는 특징을 가지고 있는데, 그 모습이 나타나고 있다. 해석 대상 하단 중앙의 C점에서 해석된 응력의 변화는 Fig. 9에 도시하였다. 응력은 변위를 공간으로 한번 미분한 값으로 변형률과 같은 차원을 갖는다. 앞선 예제의 속도 결과와 마찬 가지로 1차 미분 근사함수를 사용하였을 때, 응력 결과의 떨림 현상이 줄어드는 것을 확인할 수 있다. 시간뿐만 아니라 공간 으로 변위를 미분할 때도 1차 미분 근사함수 사용의 특징이 잘 나타나고 있다.
Fig. 10은 마지막 시간단계(Δt=0.2s)에서 계산한 y방향 응력 분포이다. 2차 미분 근사함수를 사용한 해석결과는 시간에 따라 오차가 쌓이면서 응력분포가 한쪽으로 쏠리면서 불규칙 해진 것을 확인할 수 있다. 그러나 1차 미분 근사함수를 사용한 해석결과는 응력분포가 상대적으로 고르게 퍼져있다. 1차 미분 근사함수를 사용하였을 때 미분 해석결과가 안정적인 것을 다시 한번 확인할 수 있다.
4. 결 론
본 논문에서는 MLS 차분법의 1차 미분 근사함수만을 이용 하여 운동방정식을 이산화하고 동적해석을 수행하였다. 운동 방정식을 이산화하는 과정에서 시간적분 방법으로 중앙차분법을 활용하였으며, 해석결과의 정확성을 확인하기 위해 1차 미분 근사함수를 사용한 해석결과를 2차 미분 근사함수의 해석결과 뿐만 아니라 수치예제의 이론해도 함께 비교하였다.
기존의 MLS 차분법은 2차 미분 근사함수를 사용해서 운동 방정식을 이산화하였기 때문에 n차 미분근사 형태를 포함한 알고리즘을 수식적으로 표현해야 했다. 이 표현방법은 약형식을 기반한 유한요소에 비교하여 매우 복잡하였으며 효과적인 수식 으로 표현하기에 많은 어려움이 따랐다. 그러나 1차 미분 근사 함수만으로 지배방정식을 이산화하게 되면 유한요소법과 비슷한 형태로 정리가 가능하며, 수식적 표현이 간단해졌다. 또한, 2차 미분 근사함수를 사용하면서 발생하는 해석결과의 떨림현상을 1차 미분 근사함수를 사용하면서 억제시킬 수 있었으며, 추가적 으로 해석대상의 응력분포를 비교적 고르게 해석할 수 있었다.
특히, 차분법의 이산화형태를 유한요소법과 유사한 형태로 정리할 수 있다는 것은 큰 의미를 갖는다. 유한요소법은 고체 역학 문제를 해석하기 위해서 오랜 시간 많은 발전을 해왔으며, 다양한 해석 방법들이 만들어졌다. 그렇기 때문에 해석의 안정성 및 다양한 해석으로의 응용성이 높아 현재까지 상용프로그램의 주된 해석 방법으로 사용되고 있다. 본 논문에서처럼 차분법을 유한요소법과 유사한 형태로 정리하게 되면 유한요소법에서 사용하는 다양한 해석 방법을 차분법에 도입할 수 있게 된다. 한 예로 본 논문에서 MLS 차분법으로 해석대상의 고유진동 해석을 수행할 때, 유한요소법에서 사용하는 해석방법을 그대로 활용하였다. 또한, 1차 미분 근사함수의 이용은 비선형 해석에 서도 유한요소의 알고리즘을 그래도 활용할 수 있게 해준다 (Yoon, 2016). 추후에 본 논문의 알고리즘이 다양한 해석에 대한 MLS 차분법의 확장성을 높이는데 도움이 될 것으로 기대 된다.












