1. 서 론
2. 해석 대상 교량 및 동적 해석 방법
2.1 해석 대상 교량 및 유한요소해석 모델
2.2 보행자 질량을 고려한 동적 해석 방법
3. 보행 하중 및 보행 시나리오
3.1 보행 하중 시간이력 모델 및 동적 해석
3.2 보행 시나리오
4. 해석 결과
4.1 보행자 질량을 고려한 자유진동해석
4.2 동기화 보행과 임의 보행 해석 결과
4.3 이동 질량 해석과 등가 고정 질량 해석 결과
4.4 천이 구간과 정상 상태 구간 해석 결과
5. 결 론
1. 서 론
경량이고 날렵한 형태의 구조적, 미학적 특징을 보이는 현대의 보행교에 있어서 보행 하중에 의한 진동 문제는 설계 단계에서부터 반드시 고려해야 하는 중요한 사항으로 평가받고 있다. 주로 보행 하중에 의한 가속도 응답의 크기로 정의되는 진동 사용성을 설계 단계에서 평가하기 위한 방법의 하나로서 동적 해석을 통한 방법이 제시되고 있다(Brownjohn et al., 2004; De Risi, 2022; Feldmann et al., 2010; Muhammad et al., 2017; Qin et al, 2014). 국내에서는 아직 보행교 전용의 국가설계기준이 없고 특히 진동 사용성 평가에 대해서는 최근의 출렁다리 가이드라인에서만 개략적인 방안을 다루고 있다(Hwang et al., 2021).
동적 해석을 통해 설계 단계의 보행교에 대한 진동 사용성을 평가하기 위해서는 동적 보행 하중 모델이 필요하다. 동적 보행 하중 모델은 교량과 보행자간의 상호작용에 의해 발생하는 하중을 표현하는 것으로서 단순한 집중 하중 모델부터 복잡한 보행 모델까지 여러가지 보행하중이 제안되었다(Ruiz et al., 2022; Živanović et al., 2005). 여러 가지 보행 하중 모델 중에 현재 사용성 평가를 위해 주로 사용되는 모델은 보행 하중을 교량에 작용하는 외부 하중으로만 표현한 모델들이다(Ebrahimpour et al., 1996; Sétra, 2006). 이 모델에서는 보행자를 직접적으로 모델링하지 않고 교량에 작용하는 하중만을 제시하므로 교량 응답 해석에는 적합하다 할 수 있다. 그러나 이 경우 보행자의 질량 효과를 적절히 고려해야 하며, 이를 위한 해석 방법도 제안되었다(Park, 2022).
이 논문에서는 보행교의 진동 사용성을 평가하기 위한 동적 해석에 있어서 보행자의 질량 관성 효과의 고려 여부, 보행 패턴 등을 고려한 보행 시나리오 등에 따른 해석 결과를 제시하고, 그에 따라 보행교 설계 단계에서 동적 유한요소 해석을 통한 진동 사용성 평가에 있어 적절한 해석 방법과 유의점을 제안한다. 이 연구를 통해서 규명하고자 하는 것은 유의점은 다음과 같다.
1) 동기화 보행과 임의 보행의 가속도 응답 차이
2) 이동 질량 해석과 등가 고정 질량 해석의 가속도 응답 차이
3) 천이 구간과 정상 상태 구간의 가속도 응답 차이
일반적으로 교량의 고유 진동수와 근접한 주기로 보행하는 동기화 보행은 공진을 일으켜 가장 큰 진폭의 진동을 유발할 수 있을 것으로 기대되며 이는 설계 단계에서 사용성 평가에 활용할 수 있는 보행 시나리오로 생각된다. 그러나 교량 진동에 맞추어 보행자들의 보행이 유도되는 특수한 경우인 락인(lock-in) 현상 이외에는 실제 보행은 동기화 보행보다는 임의 보행에 가까울 것이므로 같은 보행 파라미터를 사용할 때 동기화 보행과 임의 보행 패턴에 따른 응답의 차이가 어느 정도 있을 수 있는지를 파악하는 것은 중요하다.
등가 고정 질량을 사용하는 해석은 보행자의 질량을 고려한 동적 효과를 볼 수 있는 간편한 해석 방법으로 교량 설계 실무에서 사용하기에 적합한 방법이라고 할 수 있다. 그러나 보행교와 같이 보행 활하중-교량자중 비가 상대적으로 클 경우 이동 질량 효과를 고려하는 방법과 등가 고정 질량을 사용하는 방법에 의한 응답이 어느 정도 차이가 있는지 확인하는 것 역시 설계적 관점에서 중요하다고 할 수 있다.
보행자가 일정한 분포로 계속하여 유지되는 보행의 경우는 응답의 진폭이 어느 정도 일정한 범위를 보이는 정상 상태에 가까운 응답이라고 볼 수 있으며 일반적으로 보행 진동 사용성 평가는 이러한 상태를 가정하는 경우의 응답이라고 볼 수 있다. 그러나 큰 경기장이나 공연장 같이 일시에 많은 사람들이 사용할 수 있는 보행교의 경우 보행자 분포는 교량 입구에서부터 시작하여 출구로 이동하는 것이 지배적이 되므로 이때의 응답은 교량전체에 보행자가 분포되기 전까지의 천이 응답이 어떤 양상을 보이는지 확인할 필요가 있다.
해석 대상 보행교는 강합성 박스 거더 형식의 40m 지간을 갖는 단경간 보행교이며 동적 시간 이력 유한요소 해석을 통해 가속도 응답을 평가한다. 이어지는 2장에 해석 대상 교량 및 해석 방법을 기술하고 3장에 보행 하중 및 보행 시나리오를, 4장에 해석 결과를 제시하고 마지막 5장에 결론을 기술하였다.
2. 해석 대상 교량 및 동적 해석 방법
2.1 해석 대상 교량 및 유한요소해석 모델
사람의 보행에 따른 보행교의 진동 해석을 위한 동적 보행하중을 해석 대상 교량은 단순지지 된 지간 40m의 단경간 보행교로서 강박스거더와 RC바닥판으로 구성된 강합성 교량이다. 이 교량의 단면은 Sétra의 가이드라인에 수록된 예제 모델을 적용하였다(Sétra, 2006). 해석을 위한 유한요소모델에서 강재와 콘크리트 부분은 Abaqus의 4절점 쉘요소(conventional shell element)인 S4R을 이용하여 모델링하였다(Fig. 1). 콘크리트 바닥판과 강박스 거더는 강결 빔요소인 RB3D2 요소로 연결하여 완전합성효과를 구현할 수 있도록 하였다. 교량의 질량은 요소 재료 속성에서 정의된 재료 단위질량으로부터 계산되는 일관질량(consistent mass)을 사용하고, 보행자의 질량은 별도의 집중질량(lumped mass) 요소를 사용하였다. 강재와 콘크리트의 단위질량은 각각 7,850kg/m3, 2,927.5kg/m3의 값을 사용하였다. 강재와 콘크리트의 탄성계수는 210,000MPa, 35,000MPa이다.
대상 교량은 최 저차 모드로서 2.270Hz의 연직 방향 휨 모드를 가진다. 이 같은 진동 모드는 일반적인 보행 진동수가 2.0Hz 근처임을 고려할 때 연직 방향 진동의 수준이 높을 수 있는 구조계임을 나타낸다. 또한 보행자 질량을 고려할 경우 늘어난 질량으로 인해 전체 계의 고유 진동수는 낮아질 것이므로 보행 진동수에 더 근접할 수 있음을 알 수 있다. 보행자 질량을 고려할 때 고유진동수의 변화에 대해서는 4.1절에 기술하였다.
이 교량의 횡방향 진동 모드는 3.18Hz에서 비틀림 진동 모드는 11.96Hz에서 처음 나타나서 연직 방향 휨에 비하여 횡방향 휨 강성과 비틀림 강성이 현저히 높은 교량임을 확인할 수 있다. 이 연구에서 채택한 보행하중 모델에서 횡방향 진동 모드를 가진할 수 있는 교축 직각 방향 하중은 보행 진동수의 2배를 갖는 4.0Hz 근처의 주기적 하중으로 모델링되어 있으므로 횡방향 진동 모드는 가진되기 어려움을 알 수 있다. 횡방향 하중의 크기도 연직 방향 하중의 5%에 불과하다. 또한 이 해석에서 상정하는 보행 시나리오에서는 비틀림하중을 유발할 수 있는 시나리오는 포함되지 않는다. 따라서 이 연구에서 보행하중에 대한 이 교량의 주요 진동은 연직 방향 휨으로 발생할 것임을 알 수 있다.
2.2 보행자 질량을 고려한 동적 해석 방법
동적 해석에서 보행자 질량을 고려하는 방법은 크게 두 가지로 하였다. 첫 번째 방법은 보행자 밀도에 따른 등가의 고정 질량을 사용하는 방법이다. 등가 고정 질량은 보행자가 교량에 골고루 분포되어 있다는 가정하에 이 연구에서는 절점 질량 요소를 교량 바닥판 요소 절점에 배치하여 구현하였다. 이 방법은 보행자의 이동과 상관없이 보행자 질량이 항상 같은 위치에 고정되어 있어 정확한 보행자 질량 효과를 구현하기는 어렵지만, 보행자 질량 추가에 따른 전체 계의 고유진동수 변화를 나타낼 수 있으며 동적 해석에 있어서 일반적인 동적 하중에 대한 시간 이력 해석 방법을 그대로 사용할 수 있으므로 간편한 방법이다.
두 번째 방법은 보행자별로 질량을 지정하고 보행자의 이동과 함께 움직이는 이동 질량을 고려하는 방법이다. 이 방법은 비교적 정확한 이동 질량효과를 구현할 수 있는 장점이 있으나 이동하는 질량에 따른 비선형 해석이 필요하게 되어 해석 절차와 시간이 상대적으로 복잡할 수 있다(Ouyang, 2011). 이 연구에서는 이러한 계산에 있어 효과적인 해석 방법인 이동 질량 효과와 상호 작용력을 분리하여 해석할 수 있는 해석 방법을 사용하였다(Park, 2022).
이 논문에서 적용한 이동 질량을 고려한 동적 해석 방법에 대하여 간략하게 요약하면 다음과 같다. 이 방법에서 보행자의 질량은 강체 질량으로서 교량의 병진 운동에 대한 관성효과를 고려하기 위해 도입된다. 즉, 교량의 연직 및 수평 진동에 대하여 강체 질량은 교량과 동일하게 움직이며 교량과 보행자 사이의 상대 변위는 변하지 않고 일정하다. 또한, 이 방법에서 보행자와 교량사이에 작용하는 상호 작용 하중은 보행자 질량의 위치에서 교량에 작용하는 시변 외력으로만 정의된다. 이 방법은 이 해석에서 도입한 보행하중을 적용할 때 적절한 것으로서 상호 작용해석을 수행하지 않고 미리 정의된 하중을 사용할 경우 효과적인 해석방법이다.
이 해석에서 보행자 강체 질량은 교량의 종축을 따라 지정된 속도로 움직이며 Abaqus의 절점 속도 경계조건 *BOUNDARY, TYPE=VELOCITY를 사용한다. 이때 교량의 진동에 따른 연직 방향 및 횡 방향으로의 관성 연계를 위해서 자유도 기반 다점 구속조건(multi-point constraint) *MPC, USER, MODE=DOF를 사용한다. 이때 보행자 강체 질량이 이동함에 따라 구속 조건이 적용되는 교량의 절점도 시간에 따라 다른 절점이 되므로 이를 구현할 수 있는 사용자 서브루틴이 사용된다. 예를 들어 시 구간에서는 절점의 변위에 따라 질량체 절점의 횡 방향, 연직 방향 변위가 결정되고, 다음 시 구간에서는 절점 변위에 따라야 한다. 이를 구현하기 위한 사용자 서브루틴은 FORTRAN으로 작성하였고 보행자 질량체가 이동함에 따라 제약 조건이 적용되는 교량 바닥판의 절점을 파악하여 연직 방향 및 횡 방향 제약 조건을 부여할 수 있도록 하였다. 이 해석 방법에 대한 보다 자세한 논의는 해당 논문을 참조할 수 있다(Park, 2022).
3. 보행 하중 및 보행 시나리오
3.1 보행 하중 시간이력 모델 및 동적 해석
이 논문에서 사용하는 이동 보행하중 시간이력은 Sétra의 모델을 적용하였다(Sétra, 2006). 이 모델에서 보행 하중은 연직 방향, 교축 직각 방향, 교축 방향의 세 방향으로 작용한다. 보행 하중은 시간 t와 교축 방향 위치 x의 함수로 나타낼 수 있으며 다음 식과 같이 표현된다.
여기서 는 Dirac 연산자, 는 보행자의 속도이고 하중 는 연직 방향, 교축 직각 방향, 교축 방향에 대해 각각 다음과 같이 정의하였다.
여기서 는 보행자 1인의 무게, 은 보행 진동수, 는 번째 조화함수의 진폭 및 위상이다. 이 논문에서는 보행자 1인 무게 를 기본으로 하여 임의 보행 시나리오에서는 변동을 주었으며, 로 하였다. 보행 진동수와 보행 속도는 보행 시나리오에 따라 다르게 결정하였다.
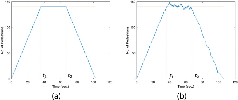
이 논문의 해석에서는 제시한 보행하중시간이력을 사용하여 각 보행자에 대한 이동 보행하중을 생성하고 이를 다시 대상 교량 모델의 바닥판 절점에 작용하는 시간이력 하중으로 변환하여 절점 하중에 대한 시간이력 해석을 수행한다. 보행하중이 가해지는 절점은 교량 모델의 바닥판 절점 중 단면 좌, 우, 중앙부의 3열의 절점들로 횡방향 배치를 하고, 종방향으로는 보행자의 보행에 따른 종방향 위치에서 해당하는 절점들에 식 (2), (3), (4)의 연직, 횡방향, 종방향 하중이 가해지도록 하였다. 보행자는 모두 같은 방향으로 진행하는 것으로 하였으며 3.2의 보행 시나리오에 따라 일정 시간이 지난 후에 교량 위에 있는 보행 인원 수가 지정한 보행자 밀도에 다다를 수 있도록 하였다(Fig. 2). 교량에 진입하는 인원수가 계속 늘어나서 제일 처음 교량에 진입한 인원이 교량을 다 건너 가는 시점부터 약 30초 동안은 교량 위 보행 인원이 유지될 수 있도록 하였다. 동기화 보행에서는 보행자 사이의 종방향 간격을 일정하게 하고 모두 같은 속도로 움직이므로 항상 일정한 교량 위 보행 인원이 유지되며, 보행자의 보행속도가 모두 다른 임의 보행에서는 보행자 사이의 종방향 간격이 일정하지 않으므로 보행 인원은 지정한 값을 평균으로 하여 시간별로 변동이 있음을 확인할 수 있다. 이 해석에서는 처음 보행자가 교량에 진입하는 시점부터 그 보행자가 교량을 다 건너는 시점까지인 구간을 천이(transient) 응답 구간으로, 교량 위 보행자 인원이 일정한 수에 도달해서 유지되는 시간까지인 구간을 정상 상태(steady-state) 구간으로 간주한다.
시간이력 해석은 Abaqus/standard의 내연적(implicit) 방법을 이용한 수치 적분 방법을 사용하였다. 이 방법은 Newmark 𝛽 방법 계열의 Hilber-Hughes-Taylor 직접적분법(Hilber et al., 1977)으로 알려져 있다. 시간 증분은 0.002초로 하였고 감쇠는 재료 감쇠를 사용하여 교량 중앙 절점 자유 진동 응답의 대수 감소(logarithmic decrement)로 평가할 때 약 0.4%의 감쇠를 가지도록 하였다.
3.2 보행 시나리오
사람의 보행에 따른 보행교의 진동 해석을 위한 동적 보행하중을 생성하기 위해서는 보행자의 수, 보행자의 무게, 보행 속도, 보행 진동수가 결정되어야 한다. 이 연구에서는 다음과 같이 보행 시나리오를 구성하고 각 시나리오에 따른 동적 응답을 구하였다.
보행자의 수는 교량을 통행하는 보행자의 밀도에 따라 한산(sparse), 보통(normal), 혼잡(dense)한 경우로 구분하였다. 이 연구에서는 각각 0.5, 0.8, 1.0명/m2의 값을 사용하였다. 보행자의 보행 속도는 보행자 밀도와 상관 관계가 있다. 즉, 보행자 밀도가 높을수록 교량이 혼잡하여 보행자의 속도는 낮아지게 되고, 보행자 밀도가 낮을 수록 보행 속도는 빨라질 수 있다. 이러한 경향을 고려하여 한산한 보행자 밀도에는 높은 보행속도를, 혼잡할 때는 낮은 보행속도를 갖는 경우를 고려하고, 보통일 경우에는 여러 보행속도를 모두 고려할 수 있도록 하였다. 또한 보행 진동수는 보행속도가 빠를수록 높아지는 경향을 고려하였다.
보행 패턴은 동기화 보행(synchronized walking)과 임의 보행(random walking)의 두 가지를 고러하였다. 동기화 보행은 모든 보행자가 같은 질량, 속도, 진동수로 보행하고 임의 보행은 보행자별로 서로 다른 질량, 속도, 진동수를 갖는다. 이 연구에서는 동기화 보행과 임의 보행 각각의 보행 패턴에 대하여 각각 5개의 혼잡도-보행속도 조합을 선정하여 총 10개의 보행 시나리오를 다음 Table 1과 같이 적용하였다. 임의 보행 시나리오에서 보행 파라미터는 동기화 보행의 파라미터 값을 평균 값으로 하여 10%의 변화를 상하한 값으로 하는 균일 분포(uniform distribution)를 사용하고, 보행 속도와 보행 진동수 샘플링은 양의 상관관계를 가지도록 하여 보행 속도가 빨라질수록 보행 진동수가 높아질 수 있도록 하였다.
Table 1
Pedestrian walking scenarios
4. 해석 결과
4.1 보행자 질량을 고려한 자유진동해석
교량과 보행자를 함께 고려하는 전체 계의 고유 진동수는 늘어난 보행자의 질량으로 인해 교량만의 고유 진동수보다 낮아지게 된다. 어떤 모드에서 보행자의 모드 질량 와 교량의 모드 질량의 의 비를 라고 하면 해당 모드에 대하여 보행자가 있을 때 고유 진동수 와 교량의 고유 진동수 와의 비는 다음과 같다.
해석 대상 교량은 단일한 단면 구성으로 인해 경간에 걸쳐 균등하게 질량이 분포되어 있고 보행자도 교량에 골고루 분포하는 것으로 가정하면 연직 또는 수평 방향의 진동 모드에 대한 질량비 𝛼는 교량 전체 질량과 보행자 전체 질량의 비와 동일한 것으로 가정할 수 있다. 이 가정에 의하여 해석 대상 교량의 보행자 밀도에 대하여 식 (5)의 질량비와 진동수 비는 한산(sparse), 보통(normal), 혼잡(dense) 밀도에 대하여 질량비 𝛼는 각각 0.043, 0.069, 0.086 이고 진동수 비는 0.979, 0.967, 0.959 이다. 이는 해석 대상 교량에 대하여 각 혼잡도에 대한 등가 보행자 질량을 함께 고려한 유한요소 모델의 자유 진동 해석 결과에서도 확인할 수 있다(Table 2).
Table 2
Natural frequencies (Hz) of the bridge model with and without equivalent pedestrian masses: VB(Vertical Bending), LBT(Lateral Bending with Torsion), T(Tortion)
4.2 동기화 보행과 임의 보행 해석 결과
각 보행 시나리오에 대하여 시간 이력해석을 수행하고 교량 지간 중앙점에서의 연직 방향 가속도 시간 이력을 구하였다. 전체 시간 이력 중에서 3.1에서 정의한 정상 상태 구간의 가속도 응답에 대하여 제곱 평균 제곱근(root mean square)값과 최대 가속도 값을 각각 구하였다. 이동 질량 해석을 수행한 결과를 Table 3에, 등가 고정 질량 해석을 수행한 결과를 Table 4에 제시하였다.
Table 3
Maximum and r.m.s. vertical acceleration responses of the bridge center for the walking scenarios (steady-state responses, moving mass analysis)
Table 4
Maximum and r.m.s. vertical acceleration responses of the bridge center for the walking scenarios (steady-state responses, equivalent mass analysis)
동기화 보행(SW)와 임의 보행(RW)의 정상 상태 구간 가속도 응답을 살펴보면 모든 시나리오에 대하여 임의 보행의 응답이 훨씬 크게 나타나는 것을 확인할 수 있다. 이 같은 경향은 전체 해석 구간에 대한 응답에서도 볼 수 있는데 Fig. 3과 Fig. 4에 시나리오 1과 시나리오 4의 응답을 나타내었다. 이러한 결과가 나타나는 주된 이유는 임의 보행에서 가정한 보행 진동수 영역이 교량-보행자 시스템의 고유 진동수 영역인 2.176~2.221 Hz와 일치하거나 매우 근접한 진동수 대역을 포함하고 있는 반면(Fig. 5) 동기 보행의 진동수는 1.7, 2.0, 2.3Hz로 고정되어 있기 때문인 것으로 판단된다.
이 같은 결과는 동기화 보행 시나리오가 가속도 응답을 과소평가할 수 있다는 것을 의미한다고 할 수 있다. 이 해석의 경우 동기 보행의 진동수 2.0Hz와 2.3Hz가 Table 2의 첫 번째 휨 모드(VB1)의 보행자-교량 시스템의 고유진동수 대비 각각 91%, 103%의 값을 갖는다. 즉, 동기화 보행 시나리오는 보행 진동수가 교량-보행자 시스템의 고유진동수와 상당히 근접하는 경우에도 매우 협소한 가진 대역폭으로 인해 응답의 진폭이 작을 수 있음을 보여준다. 반면 임의 보행의 가진 대역은 교량-보행자 시스템의 고유진동수를 포함할 수 있어 큰 응답을 낼 수 있음을 보여준다. 따라서 교량-보행자 시스템의 고유 진동수가 보행 진동수 영역과 차이가 크지 않을 경우에는 보다 넓은 진동수 대역을 가진할 수 있는 보행 시나리오에 대하여 응답을 평가할 필요가 있다.
4.3 이동 질량 해석과 등가 고정 질량 해석 결과
이동 질량 해석 방법을 사용한 경우와 등가 고정 질량 해석을 사용한 경우의 교량 중앙 지점의 정상 상태 구간 가속도 응답 해석 결과는 각각 Table 3과 Table 4에 제시되었다. 이들 결과를 비교하여 그림 Fig. 6에 나타내었다. 결과에서 확인할 수 있는 바와 같이 임의 보행 시나리오에서는 두 방법이 모두 비슷한 결과를 보였다. 그러나 동기화 보행 시나리오에서는 SW4 시나리오에서 최대 가속도 응답과 제곱 평균 제곱근 가속도 응답 모두 이동 질량 해석이 고정 질량 해석에 비해 두배 이상의 큰 해석 결과를 보였다. 또한 동기화 보행의 다른 시나리오에 대해서도 이동 질량 해석이 고정 질량 해석에 비해 근소하나마 큰 해석 결과를 내고 있음을 확인할 수 있다. 동기화 보행 시나리오 중 SW4의 응답이 큰 이유는 보행 진동수가 공진 진동수에 가깝기 때문이다. 이 시나리오의 보행 진동수는 2.3Hz이고 등가 질량을 고려한 보행자-교량 시스템의 휨 1차 고유진동수는 2.221Hz로서 이 시나리오가 동기화 보행 시나리오 중에서 보행 진동수와 고유진동수가 가장 근접한 시나리오이다. 이는 시간이력 응답으로도 확인할 수 있다(Fig. 7).
이 시나리오에서 이동 질량 해석이 등가 고정 질량 해석의 응답에 비해 큰 응답을 나타내는 이유는 다음과 같이 생각해 볼 수 있다. 교량 중앙점 시간이력 응답 Fig. 7에서 천이 구간인 보행자의 선두가 중앙점에 다다르는 시점인 10초가 되기 전까지 응답을 살펴보면 이동 질량 해석의 응답이 고정 질량 해석의 응답보다 큰 진폭을 보이며 증가한다. 보행자가 교량에 올라오지 않을 때 교량의 고유 진동수는 2.270Hz로서 이는 보행 진동수 2.3Hz와 매우 유사하다. 보행자가 점점 증가하는 이동 질량 해석에서는 교량의 유효 고유 진동수가 2.270Hz에서 시작하여 점점 줄어드는 반면, 천이 구간에도 전체 교량에 보행자가 있는 질량을 사용하는 등가 고정 질량을 사용하는 경우에는 교량 시스템의 고유 진동수를 항시 2.221Hz로 하게 되므로 이동 질량 해석이 보행 진동의 공진을 더 크게 할 수 있는 조건이 된다. 또한 가진력과 교량 시스템 질량의 관계를 생각해 보면, 같은 가진력으로 가진하는 교량의 질량이 등가 고정 질량 해석의 경우 항상 더 크므로 이동 질량 해석이 상대적으로 가벼운 교량을 가진하게 되어 더 큰 응답을 내는 것으로 볼 수 있다. 천이 구간이 지난 이후의 정상 상태 구간의 응답은 이러한 고유진동수 차이나 가진력 차이는 없으나 천이 구간에서의 종말 응답이 정상 상태 구간의 초기 조건이 되어 그 영향이 지속되는 것으로 나타났다.
이러한 결과로 유추할 때 고정 질량 해석 방법은 임의 보행 시나리오 해석에서는 이동 질량 해석과 큰 차이를 보이지 않아 보행교 설계시 진동 사용성 검토를 위한 유효한 해석 방법으로 판단된다. 그러나 공진에 가까운 가진을 하는 동기화 보행 시나리오에서는 천이 구간에서 고정 질량 해석 방법이 관성 질량을 과대평가하게 되므로 응답을 과소 평가할 수 있음을 유의해야 한다.
4.4 천이 구간과 정상 상태 구간 해석 결과
이 해석에서 사용한 보행 시나리오는 보행자가 없는 상태에서 교량 한쪽으로부터 보행자가 교량에 진입하여 한 방향으로 이동하는 상태를 상정한 시나리오이다. 이러한 시나리오에서는 천이 구간의 응답이 정상 상태 구간의 응답에 비하여 크게 나타날 수 있다. 특히 동기화 보행 시나리오에서는 교량에 보행자가 증가함에 따라 전체 계의 고유진동수가 점차로 낮아지는 효과를 보이게 되는데 이때 보행 가진 진동수와의 관계에 따라 공진 응답을 보일 수 있는 경우가 발생할 수 있다. 고려한 보행 시나리오에 대한 교량 중앙점 응답 해석 결과에서는 임의 보행의 경우에는 모두 정상 상태 구간이 천이 구간에 비하여 높은 가속도 응답을 보였다. 그러나 동기화 보행의 경우에는 반대로 천이 구간의 응답이 정상 상태 응답에 비하여 모두 크게 나타남을 알 수 있다(Fig. 4). 이러한 응답은 이동 질량 해석과 등가 고정 질량 해석에서 동일하게 나타났다. 또한 전술한 바와 같이 천이 구간에서도 특정 가진 진동수만 갖는 동기화 보행 보다 가진 대역폭이 넓은 임의 보행의 응답이 더 크게 나타나는 경우가 많았지만 Fig. 4의 시나리오에서는 천이 구간 응답의 경우 동기화 보행 응답이 임의 보행 응답 보다 더 크게 나타나기도 하였다.
이 해석에서 천이 구간은 첫 보행자가 교량에 진입하여 교량을 완전히 통과하는 시점까지로 정의된다. 따라서 첫 보행자가 교량의 중앙점을 통과하기 전까지의 교량 중앙점의 응답은 보행자가 느낄 수 없는 가속도 응답임을 유의해야 한다. 따라서 교량 사용자의 사용성 관점에서는 교량 중앙점을 보행자가 통과하기 시작하는 시점부터의 응답이 의미가 있다고 할 수 있다. 동기화 보행의 해석 결과를 보면 첫 보행자가 중앙점을 통과하는 시점까지 계속하여 응답의 진폭이 증가하고 중앙점을 통과하는 시점을 최고점으로 다시 응답의 진폭이 줄어 드는 것을 확인할 수 있다.
이러한 결과로 유추할 때 천이 구간 응답은 동기화 보행 시나리오에서 중요할 수 있음을 알 수 있다. 정상 상태 구간에서 공진이 크게 발생하지 않는 동기화 보행 시나리오에서는 천이 구간에서 공진에 의한 응답의 증가가 있을 수 있고 이 경우 정상 상태 응답에 비하여 훨씬 큰 응답이 있을 수 있다. 또한 임의 보행 시나리오의 정상 상태 구간 응답이 고정 보행 시나리오의 응답 보다 큰 경우에도 천이 구간의 응답은 고정 보행 시나리오의 응답이 클 수 있음을 확인하였다.
4. 결 론
이 논문에서는 보행하중에 의한 보행교의 동적 응답 해석에 있어서 보행자 질량의 고려 방법과 여러 보행 시나리오에 따른 해석 결과를 제시하고, 보행교 설계시 진동 사용성 평가를 위한 진동 해석에 있어 참고할 수 있는 해석 방법을 제안하였다.
보행자 질량의 고려 방법으로 이동하는 보행자 질량의 병진 방향 관성 효과를 교량의 진동과 연계하는 방법과 고정된 보행자 질량 요소를 교량 모델에 추가하는 방법을 비교하였다. 보행 시나리오는 모든 보행자가 서로 다른 질량, 보행 속도, 보행 진동수를 가지는 임의 보행 시나리오와 모든 보행자가 같은 보행 파라미터를 가지는 동기화 보행 시나리오를 고려하였다. 또한 보행자의 밀도와 보행 속도에 따라 시나리오를 세분하여 해석을 수행하고 결과를 제시하였다.
이 연구를 통해 보행교 설계 단계의 가속도 사용성 응답 평가를 위해 해석 방법 및 보행 시나리오를 선택할 때 다음과 같은 유의점을 도출하였다.
보행교는 보행자의 질량이 보행교의 질량에 비하여 클 수 있으므로 고유 진동수 해석을 포함한 모든 동적 해석에서 보행자 질량을 적절히 고려해야 한다.
교량-보행자 시스템의 고유 진동수가 보행 진동수 영역과 차이가 크지 않을 경우에는 시스템의 고유 진동수를 포함하는 보다 넓은 진동수 대역을 가진할 수 있는 임의 보행 시나리오를 고려하는 것이 좋다.
고정 질량 해석 방법은 임의 보행 시나리오 해석에서 이동 질량 해석과 큰 차이를 보이지 않는다. 보행교 설계시 진동 사용성 검토를 위해서 등가의 고정 질량을 사용하는 것은 유효한 방법으로 보인다.
경기장이나 공연장 같이 교량의 진입이 한쪽에서 집중해서 이루어 지는 경우에는 천이 구간 응답이 정상 상태 구간 응답에 비하여 지배적일 수 있다. 또한 천이 구간 응답은 동기화 보행 시나리오에서 더 중요할 수 있다. 특히 정상 상태 구간에서 공진이 크게 발생하지 않는 동기화 보행에서는 천이 구간에서 공진에 의한 응답의 증가가 있을 수 있다.
이 연구는 하나의 단경간 보행교에 대한 해석 결과를 바탕으로 하였기에 해석 결과 및 결론을 보행교 설계에 일반화 하여 적용하기에는 향후 추가적인 사례 연구가 필요하다. 출렁다리를 포함한 다양한 형식의 실 교량 모델 및 모니터링 등을 통한 실 데이터에 기반한 보행 시나리오에 대한 향후 연구가 필요할 것으로 기대된다.









