1. 서 론
박막의 적층과 식각으로 만들어지는 나노소자 및 MEMS (microelectromechanical systems) 센서의 고집적화와 경박 단소화 추세에 따라 발열 증가, 열응력 및 열피로에 의한 신뢰성 저하 등의 문제가 더욱 빈번히 대두되고 있으며, 이를 해결하기 위해 열적 설계의 중요성이 강조되고 있다. 하지만, 나노스케일 재료의 특성은 크기효과에 의하여 거시재료와 다르며, 열수송 자의 평균자유경로보다 특성길이가 작은 계에서의 에너지 전달 현상은 전통적인 푸리에(fourier) 열전도 방정식으로 예측하기 힘들다. 또한, 이종 물질 간 접촉면에서 발생하는 열경계저항의 경우 거시재료에서는 주로 접촉 면적에 의하여 영향을 받지만, 나노재료의 경우 완벽한 접촉을 이루고 있다 하더라도 결정립 계 크기, 원자의 섞임 정도, 불순물, 전위 등 재료의 미세구조 차이로 인해 열수송자의 에너지 전달 특성에 따라 열경계저 항이 달라지는 현상을 보인다(Hopkins, 2013). 따라서, 효과 적인 열 설계를 위하여 재료의 열적 특성에 대한 정확한 평가와 이해가 필수적이다.
이러한 점에서 분자동역학은 나노스케일 열전달 현상을 이해 하고 예측할 수 있는 방법론을 제공한다(Cho, 2007;Shin, 2012;Jung, 2012). 분자동역학을 이용한 열경계저항의 계산은 평형 시뮬레이션 혹은 비평형 시뮬레이션으로 가능 하다. 평형 시뮬레이션의 경우, Green-Kubo의 변동-소산 이론 (fluctuation-dissipation theorem)에 따라 미소 열류의 자기 상관함수(auto- correlation function)식을 통해 계산 가능 하며(Frenkel, 1996), 비평형 시뮬레이션은 온도 구배를 형성 하여 온도 차이와 열 유속을 직접적으로 측정함으로써 저항값을 계산할 수 있다. 특히, Ikeshoji와 Hafskjold는 양 끝단에 같은 양의 열을 공급/제거하여 열 유속을 일정하게 유지하고 이에 따라 발생하는 온도 구배를 측정하여 저항 값을 계산하는 방법을 제안하였다(Ikeshoji, 1993).
한편, 나노재료의 열경계저항을 실험적으로 측정할 수 있는 방법으로는 대표적으로 3ω 기법과 시간영역 열반사율 기법, 주파수 영역 열반사율 기법 등이 있다. 특히, MEMS 공정을 사용하여 시료 표면에 전열선을 형성해야 하는 3ω 기법과는 달리, 비접촉식 광학적 방법으로 박막의 열적 특성을 평가할 수 있는 열반사율 기법은 수 나노미터에 불과한 박막의 열전도율 및 열경계저항을 서브 피코초에 이르는 높은 시간적 분해능으로 측정할 수 있는 장점을 갖는다(Antonelli, 2006).
따라서, 본 연구에서는 분자동역학 기법을 사용하여 알루미늄 박막/실리콘 웨이퍼 계면의 열경계저항을 예측하였다. 알루미 늄은 구리, 텅스텐과 함께 반도체 및 MEMS 센서에서 금속 배선 공정에 활용되는 중요한 소재이다. 시뮬레이션 시 열 유 속을 제어하여 온도 구배를 형성하는 비평형 시뮬레이션 방법을 택하였는데, 이 방법은 전체 시스템의 에너지를 보존하는 효과가 있다(Ikeshoji, 1993;Müller-Plathe, 1997). 또한, 시뮬 레이션 결과를 검증하기 위해 90nm 두께의 알루미늄 박막을 증착하여 펨토초 레이저 기반의 시간영역 열반사율 기법을 사용해 열경계저항 값을 실험적으로 구하였다.
2. 연구방법
2.1 분자동역학 시뮬레이션
2.1.1 시스템 모델링 및 구성
분자동역학 시뮬레이션을 위한 시스템 모델링 및 구성을 Fig. 1에 나타내었다. 실리콘은 격자 상수 5.431Å의 다이아 몬드형 입방정으로 모델링하였으며, 알루미늄은 격자 상수 4.05Å의 면심입방정으로 모델링하였다. 그리고 경계면은 [100] 방향을 따라서 형성하였다. 알루미늄/실리콘 경계면에 주기경계조건을 적용하여 확장하기 위하여 알루미늄 단위 격 자의 배수와 실리콘 단위 격자의 배수가 근접하는 크기로 시뮬 레이션 셀의 크기를 정하였다. 즉, y 및 z 방향으로 주기경계 조건을 적용하였으며, 각 방향 셀의 크기는 32.55Å으로 정하 였다. 이 때, 셀의 크기와 알루미늄 혹은 실리콘 격자의 크기차 이는 0.1Å 이내이다. x 방향 셀의 크기는 180Å으로 실리콘 셀과 알루미늄 셀의 길이가 각각 ~60Å, 양 끝 단 진공 층의 길이가 각각 ~30Å에 해당한다. 알루미늄-알루미늄, 실리콘- 실리콘 및 알루미늄-실리콘의 작용력은 modified embedded atom method(Jelinek, 2012)을 통하여 계산하였다.
2.1.2 시뮬레이션 과정
먼저 Conjugate Gradient(CG) 알고리즘을 통하여 구조를 최적화하였으며, 평형시뮬레이션(equilibrium simulation) 수행을 통하여 시스템 구조가 내부 에너지를 최소화시키며 완화 (relaxation)될 수 있도록 하였다. 실리콘 경계면은 구조 최적화와 완화 동안 표면 원자가 재배치(reconstruction)되는 것을 관찰할 수 있었다. 또한, 실리콘과 알루미늄 셀 사이의 거리는 2.23Å으로 최적화되었다. 평형 시뮬레이션은 먼저 Nosé-Hoover Scheme을 통하여 온도 300K, 압력 0bar의 NPT 앙상블(ensemble)을 수행하였다. 고정경계조건이 적용 된 x 방향으로는 진공 층을 삽입하여 원자의 x 방향 이완을 허용하였으며, y 및 z 방향은 주기경계조건이 적용된 셀 크기의 변동에 따라 이완되도록 하였다. x, y 및 z 방향의 동일한 압력 조건을 위하여 진공 조건의 pressure coupling을 적용하였다. 1ns 동안 NPT 평형 시뮬레이션을 수행한 후, 셀의 크기를 고정한 후 완화될 수 있도록 1ns의 NVT 평형 시뮬레이션을 이어서 수행하였다. 시간단계(time step)는 1fs, Nosé- Hoover 시간상수(time constant)는 0.1fs를 적용하였다.
NPT-NVT 평형 시뮬레이션을 통하여 내부 구조가 충분히 평형 상태에 도달할 수 있도록 한 후, 열전달 시뮬레이션을 수행 하였다. 열전달 시뮬레이션은 Fig. 1에 표시된 바와 같이 실리 콘의 끝 단 고온부에 열을 공급하고 같은 양의 열을 알루미늄 끝 단 저온부에서 제거하여 경계면을 통하여 열 전달 현상이 일어나도록 하였다. 또한, 진공층은 제거하고 x 방향으로는 고정경계조건을 y 및 z 방향으로는 주기경계조건을 적용하여 셀의 크기는 고정한 NVE 앙상블이 이용되었다. 전달 시뮬레 이션 동안 시간단계는 0.5fs를 사용하였으며, 매 시간단계마다 지속적으로 열의 공급과 제거가 이루어지도록 하였다. 모든 시뮬레이션은 LAMMPS(Large-scale Atomic/Molecular Massively Parallel Simulator) Package(Plimpton, 1995) 을 이용하여 수행하였다.
2.2 열경계저항 측정 실험
2.2.1 시험편 준비
전자빔 증착기(e-beam evaporator)를 사용하여 90nm 두께의 알루미늄 박막을 4인치 실리콘(100) 웨이퍼 표면에 증 착시켰다. 공정 중 1.5Å/s의 증착률을 유지하였으며, 챔버 내 수정 진동자를 이용하여 박막의 두께를 제어하였다.
2.2.2 열경계저항 측정
시간영역 열반사율(time-domain thermoreflectance) 기법을 사용하여 알루미늄 박막/실리콘 웨이퍼 계면의 열경계 저항을 측정하였다. Fig. 2는 실험장치의 개략도를 보여준다. 5W 출력의 연속파장 레이저와 Ti:sapphire 오실레이터(oscillator) 로부터 120fs의 펄스폭과 780nm의 파장을 갖는 펄스 광이 80MHz의 반복률로 생성되며, 이는 반파장판(half-wave plate)와 편광 빔스플리터(beamsplitter)를 통해 펌프(pump) 광과 프로브(probe) 광으로 나누어진다. 펌프 광은 100kHz의 주파수로 작동하는 광학 변조기(acousto-optic modulator) 를 거쳐 박막 표면에 조사된다. 한편, 프로브 광은 선형 스테이 지(linear stage) 위에 부착된 거울에 의해 반사되어 박막의 온도변화를 측정하며, 스테이지를 이동시킴으로써 광경로차를 증가시켜 시간에 따른 박막 깊이 방향으로의 열전도에 의한 열반사율 감소 곡선을 구하였다. 본 연구에서는 900ps까지 열반사율을 측정하였으며, 결과 분석을 통해 그 타당성을 검증 하였다. 실험장치에 관한 기타 세부사항은 참고문헌(Kim, 2012)에 기재되어 있다.
2.2.3 수치해석 및 곡선맞춤
실험 데이터로부터 열경계저항 값을 산출하기 위하여 1차원 열전도 방정식의 해를 수치해석으로 구했다. 지배방정식은 다음과 같이 기술된다(Richardson, 2003).
이 때, ρ는 밀도를, Cp는 비열을, T 는 온도를, t는 시간을, κ는 열전도율을, z 는 박막 두께 방향으로의 깊이를, R 은 반사 도를, 그리고 β는 흡광계수를 뜻한다. I (t) 는 레이저 펄스 형상에 관한 함수이며, 다음과 같이 표현된다.
이 때, I0는 레이저 강도를, 그리고 τ는 레이저 펄스 폭을 나타 낸다. 식 (1)을 풀기 위하여 경계조건이 필요한데, 공기의 열전도율은 알루미늄에 비하여 매우 작기 때문에 박막 표면에서 열유속은 무시하였다.
또한, 알루미늄/실리콘 경계면에서 열경계저항으로 인하여 불연속적인 온도구배를 갖는다.
이 때, d는 박막의 두께를, 그리고 G 는 열경계저항을 뜻한다. 마지막으로 박막은 초기 휴지(initially at rest) 상태에 있다.
유한차분법을 사용하여 식 (1)의 해를 구했으며, Crank- Nicolson 기법을 사용하였다. 알루미늄 박막의 열전도율과 알 루미늄/실리콘 계면의 열경계저항을 곡선맞춤 변수로 간주하여 수치해석 결과를 실험 데이터와 비교·분석함으로써 열경계저항 값을 얻었다. 수치해석에 사용한 물성값을 Table 1에 기재하 였다.
3. 실험결과 및 토의
3.1 분자동역학 시뮬레이션 결과
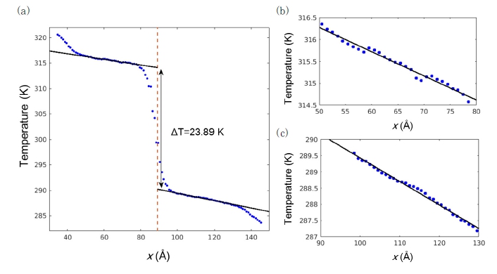
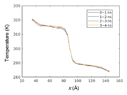
열전달 시뮬레이션을 수행하는 동안 온도 구배가 발생하였 으며, 실리콘 및 알루미늄 내부에서는 선형적 온도 감소가, 그리고 알루미늄/실리콘 경계면에서는 비선형적 온도 감소가 관찰되었다(Fig. 3). 온도 구배는 1ns 단위로 계산하여 시간에 따른 구배의 변화 여부를 관찰하였다. 1ns 이후 내부 온도의 정상 상태(steady-state)를 확인한 후, 1~4ns 동안 평균을 낸 온도 구배를 이용하여 열 경계저항을 계산하였다. 열경계저 항은 G = ∆T/q에 의거하여 계산 가능하며, q는 열 유속을, 그리고 ∆T 는 경계면에서 온도 차이를 의미한다. 경계면에서의 온도 차이 ∆T 는 Fig. 4에 나타낸 바와 같이 실리콘 내부의 선형 온도 변화와 알루미늄 내부의 선형 온도 변화를 각각 외삽 하여 계산하였다. Fig. 4(a)에 평균 온도 구배와 경계면에서 ∆T 를 나타내었으며, Fig. 4(b)와 Fig. 4(c)에 각각 실리콘 고온 부와 알루미늄 저온 부 온도의 최소자승법에 의한 선형 근사를 확대하여 나타내었다. 열저항 값은 q=4.66GW/m2 일 때, G = 5.13±0.17m2·K/GW로 계산되었다. 오차 범위는 전체 시뮬레이션 결과를 1ns 길이로 분리하여 계산한 열저항 값들의 표준 편차로부터 도출하였다.

Fig. 4
(a) Time-averaged temperature gradient along the x-axis. ∆T indicates the temperature drop at the aluminum/silicon interface (b) Linear temperature gradient in the hot silicon side (c) Linear temperature gradient in the cold aluminum side
열 유속에 따른 열경계저항값의 변화를 살펴보기 위하여 열 유속을 1.55GW/m2로 감소시켜 시뮬레이션을 반복하였다. 그 결과 경계 온도차이는 ∆T =8.18K로 측정되었으며, 열경 계저항 G=5.26m2·K/GW으로 오차 범위 이내에서 일치하는 것으로 확인되었다. 다만, 열 유속이 작을 경우에는 온도 구배 또한 작아 상대적으로 잡음비가 높았으며, 신뢰도 있는 선형근 사를 위하여 8ns 이상의 시뮬레이션 수행이 필요하였다. 하지만, 열경계저항 값은 열 유속의 값에 영향을 받지 않음을 알 수 있 었고, 적절히 큰 열 유속으로 시뮬레이션을 수행하였을 때 수행 시간을 줄이며 신뢰도 있는 결과를 얻을 수 있었다.
3.2 열경계저항 측정 결과
Fig. 5는 열경계저항 측정 결과를 보여준다. t =0 시점에 서 펌프 광의 입사에 따라 알루미늄 박막에서 고온전자(hot electron)가 생성되고, 이후 포논(phonon)-전자 및 포논 상 호작용에 의하여 에너지가 박막 내부로 전파된다. 곡선맞춤 결 과 알루미늄의 열전도율 κAl =95W/m·K와 열경계저항 G = 8.3±3.0GW/m2·K의 값을 얻었다. 한편, 열확산길이(Λ)는 다음과 같이 기술된다.
이로부터 90nm 두께의 알루미늄 박막에 대하여 표면에 입사한 광 에너지가 알루미늄/실리콘 계면까지 도달하는데 218ps의 시간이 소요됨을 확인할 수 있고, 이후 900ps까지의 열반사율 감소 곡선은 실리콘 웨이퍼 내부로 일어나는 열전달에 의한 것임을 확인할 수 있다. 따라서, 열경계저항 측정을 위한 광경로차는 충분했음을 확인할 수 있다. 본 연구에서 측정된 열전도율은 거시상태 재료의 문헌값(237W/m·K)에 비하여 60% 낮은데, 알루미늄의 경우 크기효과에 의하여 두께가 얇아질수록 열전도율도 감소하는 현상이 보고되었으며(Feng, 2009), 측정 결과는 이러한 경향과 일치하는 것을 알 수 있다.
3.3 결과 고찰
실험으로부터 구한 열경계저항 값은 신호대 잡음비로 인한 오차범위를 고려한다면 분자동역학 예측 값과 유사한 정도인 것을 알 수 있다. 참고문헌을 살펴볼 때에도 사파이어 기판 위에 스퍼터링(sputtering)으로 증착된 30nm 알루미늄의 경우 9.52m2·K/GW의 값이 보고되었으며(Stoner, 1993), 실리 콘(100) 웨이퍼에 스퍼터링으로 증착된 30nm 알루미늄의 경우 8.33m2·K/GW의 결과가 보고되었다(Stevens, 2005). 본 연구로부터 얻은 열경계저항 값 역시 유사한 수준이다. 다만, 시뮬레이션의 경우 실제 재료의 계면에 존재하는 표면 거칠기, 원자 섞임, 공공(void), 전위(dislocation) 등의 결함을 고려 하지 않았기 때문에 이상적인 상태에 더 가깝고, 따라서 열경 계저항 값이 실제보다 낮게 예측될 여지는 있는 것으로 사료된다. 이러한 다양한 요인에 대해서는 모수적 분석을 통한 후속 연구가 필요하다.
4. 결 론
본 연구에서는 비선형 분자동역학 시뮬레이션을 이용하여 알루미늄/실리콘 계면의 열저항을 예측하였다. LAMMPS를 이용하여 열유속 제어 조건으로 모델링을 하였으며, 경계면의 불연속적 온도 구배 값을 계산하여 G =5.13±0.17m2·K/GW 의 값을 얻었다. 시간영역 열반사율 기법을 사용하여 결과를 비교 검증 하였으며, G =8.3±3.0m2·K/GW의 측정값을 얻었다. 시뮬레이션과 실험 결과는 오차범위 내에서 서로 잘 일치하고, 문헌값과 비교해도 타당한 것으로 판단되나, 계면에 존재하는 재료결함을 고려한다면 예측 정확도가 더욱 높아질 것으로 기대 된다.







