1. 서 론
2016년 9·12 지진(규모 5.8), 2017년 11월 15일 포항지진(규모 5.4) 등 최근 국내에서 규모 5 이상의 지진 발생 빈도가 증가하며 지진으로 인한 피해가 현실화되고 있다. 특히, 포항 지진 시에는 양덕·유강·약성 등 3개 정수장, 장량·흥해 등 2개 하수처리장, 청하농공단지폐수처리장 등의 환경시설물에 피해가 발생하였고 45건의 상수관로 누수 피해가 발생하였다. 특히, 양덕정수장의 경우 중앙제어실 건물의 내진성능평가결과가 적정으로 분류되어 있음에도 불구하고, 포항지진에 의해 내력기둥의 30%가 철근이 돌출되는 손상을 입었고 건물 외벽이 붕괴되는 피해를 입기도 하였다.
정수장, 하수처리장 등의 환경시설물은 관리동과 같은 건축구조물, 저수조 또는 액체저장탱크, 관로, 기타 설비 등의 다양한 형식의 구조물로 구성되어 있다. 그러므로 환경시설물의 지진거동을 평가하기 위해서는 다양한 구조물의 동적 특성을 고려하여 지진응답해석을 수행하여야 한다. 이중 액체저장탱크는 유체-구조물 상호작용에 의해 그 동적 거동이 많은 영향을 받음이 해석적·실험적 연구를 통해 규명되었고, 이러한 현상이 실제 지진 시 관측되기도 하였다. 그러므로 액체저장탱크의 지진거동을 정확히 예측하고 내진설계를 수행하기 위해서는 동해석 시 반드시 유체-구조물 상호작용을 고려하여야 한다.
진원에서 발생한 지진파는 액체저장탱크가 설치된 부지까지 전파되고, 이 지진파는 기초를 통하여 내부액체에 전달되어 이를 유동시키게 된다. 내부액체의 유동은 역으로 구조물의 진동에 영향을 주게 된다. 이러한 현상을 유체-구조물 상호작용이라고 한다. 이 상호작용에서 액체는 그 질량의 일부가 구조물에 부가된 것처럼 거동하게 된다. 구조물의 강성이 클 경우에는 구조물이 실제적으로 강체로 거동하므로 유체-구조물 상호작용을 고려하지 않으나, 그렇지 않을 경우에는 유체-구조물 상호작용이 구조물의 진동 및 유체의 유동에 미치는 영향을 반드시 고려하여야 한다(Son et al., 2019).
액체저장탱크에 지진 등에 의한 동하중이 작용하게 되면 구조물 내부의 유체 유동으로 인하여 유체동압력이 발생하고 자유수면도 요동을 치게 된다. 유체동압력은 구조물의 거동에 직접적인 영향을 주게 되고 자유 수면의 변화폭도 구조물의 여유고(freeboard)의 의해 제한되는 경우가 많으므로, 수조구조물의 설계 시에는 유체 동압력의 크기 및 분포 그리고 자유수면의 변화를 산출하기 위해 유체의 유동해석이 필수적으로 요구된다. 유체의 유동으로 인해 발생한 동수압은 두 가지 성분으로 구분할 수 있다. 구조물과 같이 가속되는 유체에 의하여 발생하는 ‘충격 성분’과 자유수면의 출렁임(sloshing)에 의하여 발생하는 ‘대류 성분’이다. 충격 성분은 유체 질량의 일부가 벽체 모델에 부가질량으로 작용하는 것으로 표현 가능하며, 유체의 부가질량이 벽체의 질량에 더하여지면 액체저장탱크의 고유주기는 빈 탱크의 고유주기보다 길어지게 된다. 한편, 대류 성분은 유체 질량의 일부가 중력스프링에 달려있고 이것이 탱크에 연결되어 있는 것으로 표현 가능한데, 액체 표면의 출렁임은 벽체의 유연성에 의해서 크게 달라지지 않는다. 그 원인은 출렁임의 고유주기가 벽체의 진동주기에 비하여 매우 길어서 동력학적 상호작용이 경미하기 때문이다. 한편, 출렁임 높이가 과도하게 되면 액체가 넘치거나 지붕이 있는 경우에는 지붕을 치게 되고 이로 인하여 탱크에 손상이 발생할 수도 있다.
이상과 같이 액체저장탱크의 지진 거동은 유체-구조물 상호작용에 의해 복잡하게 나타나므로, 이 시스템의 지진응답과 피해를 정확하게 예측하기 위해서는 이와 같은 상호작용을 엄밀히 고려하여야 한다. 이 연구에서는 유체-구조물 상호작용을 엄밀히 고려하여 직사각형 액체저장탱크의 지진응답 해석을 수행하고 그 응답 특성을 분석하고자 한다. 특히, 원통형 액체저장탱크와 달리 직사각형 액체저장탱크는 대칭 구조물이 아니므로, 양방향 수평 지반운동이 작용하는 방향에 따라 그 거동 특성이 크게 변화할 가능성이 있다. 이 연구에서는 양방향 수평 지반운동이 작용하는 방위각에 따른 직사각형 액체저장탱크의 지진응답 특성 변화를 살펴보고자 한다. 앞에서 언급하였듯이 대상 시스템의 지진 거동은 유체-구조물 상호작용의 효과에 의해서 크게 영향을 받는다. 그러므로 이 연구에서는 지진하중 작용 시 발생하는 유체 동수압을 유한요소 기법을 사용하여 산정하고, 이 동수압을 구조물의 유한 요소에 작용하여 전체 시스템의 동적 거동을 모사한다. 사용된 유한요소 모형의 정확성을 여러 가지 정해와 비교하여 검증하고, 수평 양방향 지반운동의 작용 방향을 변화시켜 가며 직사각형 액체저장탱크 지진응답의 변화 특성을 조사하고자 한다.
2. 유한요소 정식화
여기에서는 직사각형 액체저장탱크의 운동방정식을 유도하고자 한다. Fig. 1에 보인 바와 같이 고려하는 시스템은 탱크 구조물과 저장 유체로 이루어져 있다. 시스템을 지지하고 있는 지반은 강체로 가정한다. 이 시스템에 지진 지반운동이 작용하였을 때 저장 유체는 구조계에 동수압을 작용한다. 그러므로 구조계의 운동방정식에 지반운동에 의한 유효 지진력과 저장 유체의 동수압을 외력으로 가하여 전체 시스템의 지배방정식을 유도하고자 한다.
Fig. 1에 보인 직사각형 액체저장탱크 시스템의 구조물에 작용하는 유체의 동수압을 산정한다. 저장 유체는 비점성 비압축성 이상 유체로 가정한다. 이때 유체의 지배방정식은 다음과 같다.
| $$\nabla^2p=0$$ | (1) |
여기서, 는 유체의 동수압이다. 유체가 구조물과 접하는 부분에서의 경계조건과 표면파의 영향을 고려할 때 자유표면에서의 경계조건은 각각 다음과 같다.
| $$\frac{\partial p}{\partial n}=-\rho\ddot u_n^t$$ | (2a) |
| $$\partial p\partial z=-\frac1g\ddot p$$ | (2b) |
여기서 은 유체 경계면의 외향 단위 법선 벡터, 는 유체의 밀도, 은 구조물의 운동으로 인한 유체 경계면의 전체 가속도(total acceleration), 는 중력가속도이다.
식 (2)의 경계조건을 가지는 지배방정식 (1)의 해를 구하기 위해 유한요소의 개념을 도입한다(Cook et al., 2002). 즉, 동수압 와 같이(과 는 각각 유체의 형상함수와 절점 압력) 이산화한 후 식 (1)과 (2)에 대응하는 functional의 최솟값을 구하면, 다음과 같이 유체 유한요소 모형의 지배방정식을 얻을 수 있다.
| $${\mathbf G}_{fs}\ddot{\mathbf P}+\mathbf{HP}=\mathbf Q$$ | (3a) |
| $${\mathbf G}_{fs}=\frac1g\boldsymbol\int\mathbf N^T\mathbf NdS$$ | (3b) |
| $$\mathbf H=\boldsymbol\int\mathbf B^{\mathbf T}\mathbf BdV$$ | (3c) |
| $$B=\left[\frac{\partial\mathbf N}{\partial x}\;\frac{\partial\mathbf N}{\partial y}\;\frac{\partial\mathbf N}{\partial z}\right]^T$$ | (3e) |
여기서, 는 구조물 유한요소의 형상함수, 는 유체 경계면의 외향 단위 법선 벡터, 는 구조물의 절점 전체 가속도 벡터, 는 입력 지반운동에 대한 구조물의 절점 상대 가속도 벡터, 는 입력 지반운동 벡터이다. 식 (3d)에서 는 유체와 구조물의 동적 거동을 연계시켜 주는 interface element의 거동을 나타내는 행렬이다.
한편, Fig. 1의 직사각형 액체저장탱크 구조물에 일반적인 유한요소기법을 적용하여 탱크 구조물의 운동방정식을 식 (4)와 같이 구성할 수 있다.
| $$\mathbf M\overset{\boldsymbol¨}{\mathbf U}+\mathbf C\overset{\boldsymbol˙}{\mathbf U}+\mathbf{KU}={\mathbf F}_{fluid}+{\mathbf F}_{eq}$$ | (4a) |
| $${\mathbf F}_{fluid}=\boldsymbol\int\mathbf N_S^T\boldsymbol\nu^T\mathbf NdS\;\mathbf P=\mathbf S^T\mathbf P$$ | (4b) |
| $${\mathbf F}_{eq}=-\mathbf M{\overset{\boldsymbol¨}{\mathbf U}}_g$$ | (4c) |
여기서, M, C, K는 각각 구조물의 질량행렬, 감쇠행렬, 강성행렬을 의미하고, 는 구조물의 변위를 나타낸다. 는 구조물에 작용하는 유체의 동수압력, 는 구조물에 작용하는 유효지진력을 의미한다.
식 (3)과 (4)를 결합하여 전체 유체-구조물 상호작용계의 운동방정식을 다음과 같이 얻을 수 있다.
식 (5)의 해를 구해서 유체-구조물 상호작용을 고려한 직사각형 액체저장탱크의 지진응답을 얻을 수 있다.
식 (5)의 구조를 살펴보면, 질량과 강성에 대응하는 시스템 행렬들이 비대칭임을 알 수 있다. 시스템 행렬이 대칭인 것은 유한요소법의 가장 큰 장점 중의 하나인데, 식 (5)에서는 이러한 장점이 없어지는 것이다. 이는 식 (2)의 경계조건을 가지는 지배방정식 (1)의 해를 유한요소 기법으로 구했기 때문이다. 또한, 식 (4)의 구조물 유한요소의 자유도는 변위이지만, 식 (3)의 유체 유한요소의 자유도는 동수압이다. 이와 같은 자유도의 불일치는 구조물과 유체를 연계하는데 불편함을 초래한다. 이러한 단점들을 해결하고자 유체의 Lagrange element가 개발되었다(Olson and Bathe, 1983). 하지만, 이 Lagrange element는 저장용기 내에서 유동하는 유체 문제에 대해서는 훌륭한 결과를 얻을 수 있지만, 유체 내에서 진동하는 구조물 문제에 대하여는 적용할 수 없는 단점이 있다(Olson and Bathe, 1983). 그러므로 이 연구에서는 좀 더 다양한 문제에의 확장 가능성을 고려하여 식 (3)의 유체 유한요소를 사용하여 유체의 동수압을 모사하고자 한다.
3. 검증 및 적용
3.1 유체 출렁임 모드의 고유진동수
위에서 유도한 유체 유한요소의 정확성을 검증하기 위하여 강체 액체저장탱크에 저장된 유체의 출렁임 모드의 고유진동수를 계산한 후 이를 식 (5)의 정해(Lamb, 1945)와 비교하였다.
| $$\omega_{mn}^2=gk_{mn}tanh\left(k_{mn}H_l\right)$$ | (6a) |
| $$k_{mn}=\sqrt{\left( \frac {m} {2L_x} \right)^2+\left( \frac {n} {2L_y} \right)^2}$$ | (6b) |
여기서 과 은 각각 방향과 방향으로의 모드 수(mode number)이다. Fig. 1에 주어진 액체저장탱크에 대해 유체 출렁임 모드의 고유진동수를 20×60×11의 8절점 유한요소를 사용하여 계산한 후 이를 정해와 Table 1에 비교하였다.
한편, 식 (3)의 유체 유한요소는 상용 유한요소 해석코드인 ABAQUS에 acoustic element와 interface element로 구현되어 있다(ABAQUS, 2019). 단, ABAQUS의 acoustic element는 압축성 유체에 대하여 구현되어 있다. 압축성 유체의 경우에는 식 (1), (3a), (5)를 다음과 같이 수정하여야 한다.
| $$\Delta^2p=\frac1{C^2}\frac{\partial^2p}{\partial t^2}$$ | (7a) |
| $$(\mathbf G\boldsymbol+{\mathbf G}_{\mathbf f\mathbf s})\overset{\boldsymbol¨}{\mathbf P}+\mathbf{HP}=\mathbf Q$$ | (7b) |
| $$\mathbf G=\frac1{C^2}\boldsymbol\int\mathbf N^T\mathbf NdV$$ | (7d) |
여기서 는 유체의 압축파 속도이다. ABAQUS를 사용하여 얻은 고유진동수도 Table 1에 같이 비교하였다. 이때, 비압축성 유체를 근사적으로 모사하기 위하여 유체의 압축파 속도는 1,480,000 m/s로 가정하였다.
Table 1 Natural frequencies for sloshing modes
수치해를 정해와 비교한 Table 1의 결과를 보면 이 연구에서 구현한 유체 유한요소를 사용하여 저장액체의 출렁임 모드의 고유진동수를 정확히 예측할 수 있음을 확인할 수 있다. 즉, 식 (3)에 주어진 유체 유한요소 정식화는 정확함을 확인할 수 있다.
3.2 강체 액체저장탱크의 지진응답
구조물을 강체로 가정하였을 때, 축 방향으로 작용하는 지진 지반운동에 의해 발생하는 비압축성 유체 동수압의 정해는 다음과 같이 계산된다(Haroun, 1984).
| $$p(x,\;y,\;z,\;t)=\frac{4\rho}\pi\sum_{n=1}^\infty\frac{(-1)^n}{(2n-1)k_n}\frac{\sin k_nx}{\cos k_nL_x}\cos\lambda_nz$$ | (8a) |
| $$\lambda_n=\frac{(2n-1)\pi}{2H_l}$$ | (8b) |
| $$k_n=-i\lambda_n$$ | (8c) |
만약 유체의 압축성을 고려하게 되면 식 (8c)를 다음과 같이 수정하면 된다.
| $$k_n=\sqrt{\frac{\omega^2}{C^2}-\lambda_n}$$ | (9) |
지반운동이 작용하는 강체 액체저장탱크에 발생하는 유체의 동수압은 식 (3a)로부터 계산할 수 있다. 단, 식 (3d)는 와 같이 주어진다. Fig. 2의 El Centro 지반운동의 축 성분이 작용할 때, Fig. 1의 액체저장탱크에서 발생하는 동수압을 식 (3a)로부터 계산한 후, 이를 식 (8)의 정해와 Fig. 3에 비교하였다. 또한, 구조물의 탄성계수 일 때의 동수압을 식 (5)로부터 계산하여 Fig. 3에 같이 비교하였다. 이 연구에서 구현한 유체 유한요소로부터 얻은 수치해는 정해와 잘 일치하는 것을 확인할 수 있다. 이 논문에는 포함하지는 않았지만, 비압축성 유체를 근사적으로 모사하기 위하여 압축파 속도를 1,480,000m/s고 가정한 압축성 유체에 대하여 계산한 결과도 정해와 잘 일치하는 것을 관찰할 수 있었다.
한편, 동일한 문제를 ABAQUS의 acoustic element만을 사용하여 계산한 결과를 Fig. 3에 도시하였다. Acoustic element만 사용하면, 지반운동에 의한 영향을 식 (2a)와 같이 유체 경계의 flux로 고려한다. 반면에, 동일한 문제를 acoustic element와 interface element를 함께 사용하여 해를 얻을 수 있는데, 지반운동에 의한 강체 구조물의 운동을 직접 경계조건으로 사용할 수 있다. 이 경우에도 Fig. 3에 도시된 ABAQUS 결과와 일치하는 결과를 얻을 수 있으므로 이 논문에는 포함하지 않았다. Fig. 3에서 확인할 수 있는 바와 같이 ABAQUS의 결과는 정해와 상당한 차이를 보인다. 이러한 오차의 원인은 현재는 명확하지 않다. 이상의 비교로부터 ABAQUS의 acoustic element를 사용할 때는 주의를 기울여야 함을 알 수 있다.
3.3 액체저장탱크의 지진응답
구조물의 유연성을 고려하여, 즉 유체-구조물 상호작용을 고려하였을 때, 수평 양방향 지반운동이 작용하는 방위각에 따른 직사각형 액체저장탱크의 지진응답 특성을 살펴보고자 한다.
대상 시스템의 제원과 물성치가 Fig. 1에 제시되어 있다. 유체는 강체 탱크의 경우와 동일하게 20×60×11의 8절점 유한요소를 사용하여 수치모형을 구성하였다. 구조물의 유한요소 모형은 4절점 쉘요소를 사용하여 구성하였다(Cook et al., 2002). 유체와 접하고 있는 부분은 유체의 유한요소망과 일치하도록 모형을 구성하였고, 여유고 부분은 수직방향으로 2개의 유한요소를 배치하였다. 입력지진으로는 Fig. 2의 지반운동 기록을 사용하였다.
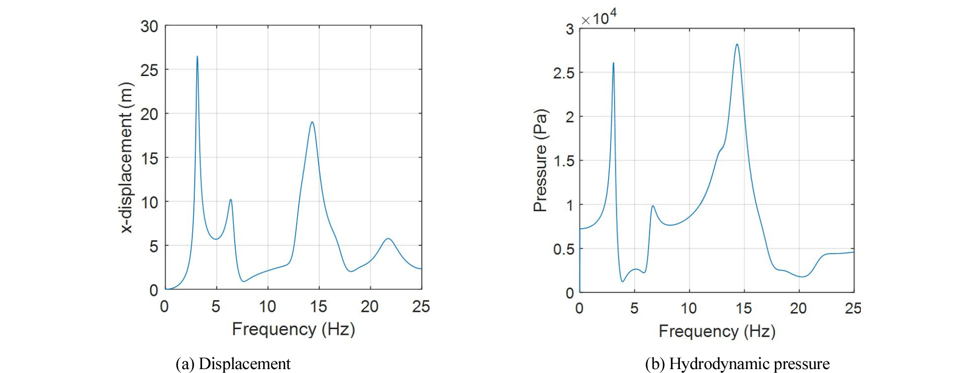
우선 탱크 구조물 변위의 전달함수를 계산하였다. 이때, 구조물의 감쇠는 등가감쇠비 5%의 hysteretic damping을 가정하였다. Fig. 4는 장변 최상단 중앙 지점(10.4, 0, 14.9)에서의 방향 상대변위와 장변 최하단 중앙 지점(9.8, 0, 1.2)에서의 동수압의 전달함수이다. 전달함수로부터 이 시스템의 1차와 2차 고유진동수는 각각 3.113 Hz와 6.323 Hz임을 알 수 있다. 또한, Table 1의 출렁임 높이의 고유진동수는 유체-구조물 상호작용계의 고유 진동수와 잘 분리되어 있음을 확인할 수 있다.
Fig. 2의 양방향 수평 지반운동이 작용할 때의 응답을 계산하였다. 이때, 구조물의 감쇠는 앞에서 구한 1차와 2차 고유진동수에 대해 5%의 감쇠비를 주는 Rayleigh damping을 가정하였다. Fig. 5(a)~(c)는 각각 최대 응답이 발생할 때의 구조물 변위, 유체 동수압, 출렁임 높이의 분포이다. 비교를 위해 Fig. 5(d)에는 유체가 없는 빈 탱크 구조물의 변위의 분포, Fig. 5(e)와 (f)에는 강체 탱크에서 발생하는 유체 동수압, 출렁임 높이의 분포를 포함하였다. Fig. 5에서 관찰할 수 있듯이, 유체-구조물 상호작용은 구조물과 유체의 동적 응답에 상당한 영향을 끼친다. 하지만, 유체 출렁임 높이는 유체-구조물 상호작용에 의해 크게 영향을 받지 않는데, 이는 출렁임 높이의 고유진동수가 유체-구조물 상호작용계의 고유진동수와 잘 분리되어 있기 때문이다.
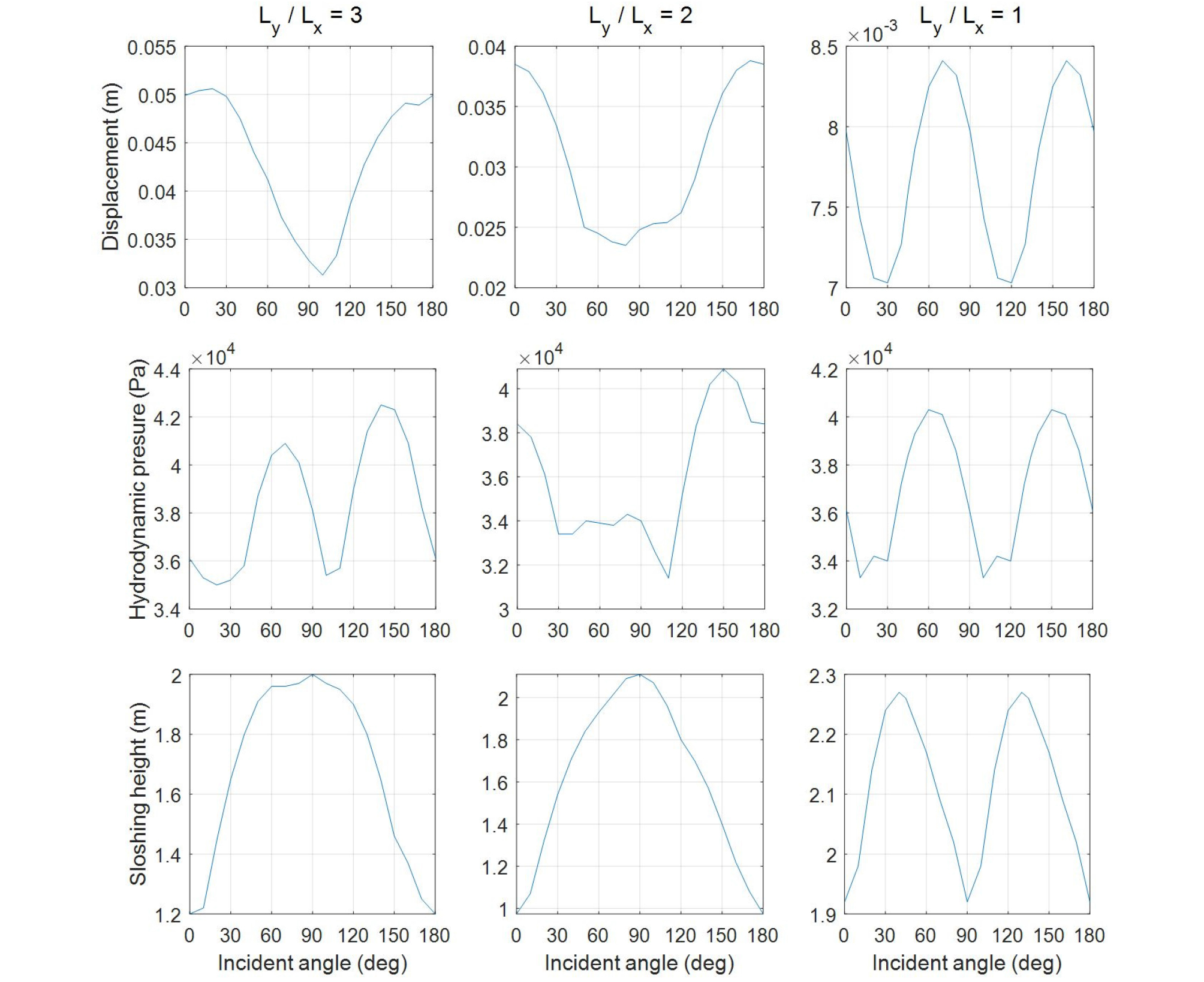
Fig. 2에 보인 양방향 수평 지반운동이 작용하는 방위각의 영향을 살펴보기 위하여 이 각을 10° 단위로 변화시켜 가며, 대상 시스템의 동적 응답 변화 특성을 살펴보았다. 또한, 장변과 단변 길이비의 영향을 알아보기 위하여 Fig. 1에 보인 인 경우뿐만이 아니라 와 1인 경우도 고려하였다. Fig. 6은 입력지반운동의 수평성분이 작용하는 방위각의 변화에 따른 구조물 변위, 유체 동수압, 출렁임 높이 최곳값의 변화를 보여주고 있다. 변화 양상을 살펴보면 구조물 변위와 출렁임 높이는 전혀 다른 양상을 보여주고 있음을 확인할 수 있다. 즉, 지반운동의 수평성분이 작용하는 방위각의 변화에 따라 구조물 변위가 증가하는 구간에서 출렁임 높이는 감소하고, 반대로 구조물 변위가 감소하는 구간에서 출렁임 높이는 증가하는 경향을 확인할 수 있다. 정확히 증가 또는 감소 구간이 일치하지는 않아 구조물 변위와 출렁임 높이의 최대 또는 최솟값이 발생하는 위치가 정확히 일치하지는 않지만, 전반적인 증가 또는 감소의 경향은 반대의 양상을 보이고 있다. 직사각형 액체저장탱크의 내진설계 시에는 이러한 응답 특성을 고려하여야 할 것이다.
Fig. 1의 직사각형 액체저장탱크에 Fig. 2의 지반운동 중 또는 방향 성분 중 하나만 입사할 때의 지진응답을 조사하였다. 단, 일방향 지반운동은 또는 방향으로 입사할 수 있다. 이러한 일방향 지반운동 조합에 의한 응답을 라고 하자. 여기서 는 지반운동 성분을 의미하고, 는 일방향 지반운동의 입사방향을 의미한다. 즉, 는 방향 지반운동을 방향으로 입사한 것을 의미한다. 일방향 지반운동에 의한 구조물 변위, 유체 동수압, 출렁임 높이의 최고 지진응답과 양방향 지반운동의 효과를 고려하기 위한 이 응답들의 100%-30% 조합 및 SRSS(Square Root of Sum of Squares) 조합을 Table 2, 3, 4에 정리하고, 양방향 지반운동에 의한 지진응답과 비교하였다.
Table 2 Combinations of earthquake responses to uni-direction ground motions when
Table 3 Combinations of earthquake responses to uni-direction ground motions when
Table 4 Combinations of earthquake responses to uni-direction ground motions when
또는 2인 경우의 지진응답은 방향 지반운동에 의해서 크게 좌우된다. 그러므로 예제 시스템의 구조물 변위는 에 의한 조합이 나 에 의한 조합보다는 더 정확한 결과를 주는 것을 확인할 수 있다. 하지만, 인 경우에는 구조물이 대칭이므로 특정 100%-30% 조합을 사용했을 때 정확성이 향상되는 것을 찾기 어려운데, 이는 Fig. 6에서 지반운동의 수평성분이 작용하는 방위각에 따른 구조물의 변위의 변동이 일 때 그리 심하지 않은 것과 상통하는 결과이다. 반면, 출렁임 높이의 경우에는 또는 2인 경우 에 의한 조합이 다른 경우보다 정확한 결과를 주는 것을 확인할 수 있는데, 이는 앞에서 언급하였 듯이 구조물 변위와 출렁임 높이의 변화 양상이 반대의 경향을 나타내기 때문이다. 인 경우의 출렁임 높이도 정확성이 가장 우수한 100%-30% 조합을 발견하기는 어렵다. 유체 동수압의 경우에는 구조물 변위나 출렁임 높이와는 다르게 가장 우수한 결과를 산출하는 100%-30% 조합을 찾기는 힘들다.
SRSS 방법에 의한 결과도 Table 2, 3, 4에 수록되어 있다. 100%-30% 조합에서 관찰한 것과 유사한 결과를 SRSS 조합에서도 관찰할 수 있다. 또는 2인 경우 구조물 변위는 조합이, 출렁임 높이는 조합이 더 우수한 결과를 산출함을 알 수 있다. 하지만, 인 경우에는 우수한 결과를 주는 SRSS 조합을 특정할 수 없다.
이 연구에서는 수평 양방향 성분의 세기가 다른 지반운동을 사용하여, 지반운동의 수평운동이 작용하는 방위각의 변화에 따른 지진응답의 변화를 살펴보았다. 만약 수평 양방향 성분의 세기가 유사한 지진파를 사용할 경우에는, 또는 2인 경우에도 정해와 잘 일치하는 최고 지진 응답을 얻을 수 있는 100%-30% 조합 또는 SRSS 조합을 특정할 수 없을 것이다. 이러한 경우에는 의 경우와 마찬가지로 다양한 조합 방법을 검토하여 최고 지진 응답을 예측하여야 할 것이다.
4. 결 론
액체저장탱크의 지진 거동은 유체-구조물 상호작용에 의해 복잡하게 나타나므로, 이 시스템의 지진응답과 피해를 정확하게 예측하기 위해서는 이를 엄밀히 고려하여야 한다. 이 연구에서는 유체-구조물 상호작용을 엄밀히 고려하여 양방향 수평 지반운동이 작용하는 직사각형 액체저장탱크의 지진응답 해석을 수행하고 그 응답 특성을 분석하였다. 이를 위해 지진하중 작용 시 발생하는 유체 동수압을 유한요소 기법을 사용하여 산정하였다. 계산한 동수압의 정확성을 검증하기 위해 강체 액체저장탱크에 저장된 유체의 출렁임 모드의 고유진동수와 동수압을 정해 및 상용 유한요소 해석 코드인 ABAQUS와 비교하였다. 비교 검증을 통해 ABAQUS의 acoustic element에 의한 동수압은 정해와 차이가 발생하는 것을 확인할 수 있었으므로, 이 요소를 사용할 때는 주의하여야 할 것이다. 이와 같이 산정한 동수압을 구조물의 유한 요소에 작용하여 전체 시스템의 동적 거동을 모사하였다.
양방향 수평 지반운동이 작용하는 액체저장탱크의 지진응답해석을 수행하여 거동 특성을 다음과 같이 파악할 수 있었다.
1) 구조물 변위 및 유체 동수압과 같은 시스템의 지진응답이 유체-구조물 상호작용에 의해 상당한 영향을 받는 것을 확인할 수 있었다. 하지만, 유체 출렁임 높이는 유체-구조물 상호작용에 의해 크게 영향을 받지 않는데, 이는 출렁임 높이의 고유진동수가 유체-구조물 상호작용계의 고유진동수와 잘 분리되어 있기 때문이다.
2) 직사각형 액체저장탱크는 입력지반운동의 입사각에 따라 지진응답이 달라지는데, 구조물 변위와 출렁임 높이는 입사각의 변화에 따라 전혀 다른 변화 양상을 보여준다. 구조물 변위와 출렁임 높이의 최대 또는 최솟값이 발생하는 지반운동의 입사각이 정확히 일치하지는 않지만, 입사각의 변화에 따라 구조물 변위가 증가하는 구간에서 출렁임 높이는 감소하고, 반대로 구조물 변위가 감소하는 구간에서 출렁임 높이는 증가하는 경향을 보여준다.
3) 구조물의 장변과 단변의 길이가 다른 경우에는 구조물 응답과 출렁임 높이에 대해서는 특정 100%-30% 조합 또는 SRSS 조합에 의해 일방향 지반운동 응답으로부터 양방향 지반운동 응답을 예측할 수 있다.
4) 구조물의 장변과 단변의 길이가 같은 대칭인 경우에는 양방향 지반운동 응답을 예측할 수 있는 특정 100%-30% 조합 또는 SRSS 조합을 찾기 힘들고, 이 경우에는 다양한 조합법을 모두 검토하여야 한다.
직사각형 액체저장탱크의 내진설계를 수행하거나 내진성능을 검토할 때는 이상과 같은 양방향 수평 지반운동에 대한 직사각형 액체저장탱크의 지진응답 특성을 고려하여야 할 것이다.








