1. 서 론
기계, 건축 및 많은 공학 분야에서는 금속재료의 한계를 극복하기 위해서 두 가지 이상의 재료를 혼합하여 만든 입자 복합재료의 사용이 급증하고 있다. 입자 복합재료는 등방성 특징의 금속재료와 달리 강화재의 형상, 크기 그리고 분포에 따라 물성의 특징이 이방성을 가지고 등가 물성치의 산포가 상대적으로 크다. 그러나 이방성과 산포특성을 반영하기가 힘들기 때문에 주로 선형혼합법(linear rule of mixtures), 평균장 이론(Wakashima et al., 1991)과 같은 균질화법을 사용한다. 균질화법은 입자의 형상, 크기 그리고 분포를 고려 하지 않은 방법으로 전체적인 거동을 분석하기에는 적절하지만 국부적인 거동을 분석하기에는 한계가 있다. 이러한 균질화법의 단점을 보완하고자 미세 입자를 생성하는 이산화 모델 방법과 유한요소법을 이용하여 국부적인 영역을 해석하는 방법이 연구되었다. 대표적인 방법으로 Voronoi Cell FEM(Grujicic et al., 1997)과 평면 육각형 셀 구성입자를 이용하는 미시 역학적 모델(Reiter et al., 1997)방법이 있다. 이산화 모델을 단위구조 해석하여 계산된 물성치는 이산화 모델의 형태에 따라 다르며 선형혼합법의 결과와 차이가 있는 것으로 확인 되었다(Cho et al., 2008). 그러나 이산화 모델 방법은 입자의 분포성은 반영되지만 입자의 형상, 크기 그리고 분포가 균일하게 적용되는 한계점이 있다. 다른 방안으로 Roberts와 Teubner가 가우시안 함수를 이용한 입자 복합재료의 표현 방법을 제시 하였고(Roberts et al., 1995) Vel과 Goupee가 이를 좀 더 체계화하여 가우시안 함수를 이용한 RMDFs(random morphology description functions)를 제안하였다. RMDFs는 랜덤변수를 이용하여 입자의 형상, 크기 그리고 분포의 랜덤적 특징을 고려할 수 있으며 RMDFs를 이용한 물성치가 실제 물성치와 더욱 유사함이 확인되었다(Vel et al., 2010;Goupee et al., 2010). 그리고 RMDFs를 이용하여 단위구조 해석 시 가우시안 함수의 수(N)의 증가에 따른 물성치의 편차의 감소와 부분적인 랜덤 미세구조 외팔보의 멀티스케일(multi-sacle) 해석 시 응력의 편차가 감소하는 것으로 확인되었다(Cho et al., 2012). 그러나 랜덤 미세구조를 전체 구조물에 반영한 해석이 아닌 국부영역에 반영한 해석이므로 입자의 산포에 따른 구조물 전체의 거동은 확인하기 어렵다.
본 연구에서는 입자의 산포특성과 입자 복합재료 구조물의 거동특성을 분석하기 위하여 입자 복합재료에서 입자의 랜덤적인 산포특성을 구현할 수 있는 RMDFs를 이용하여 랜덤 미세 구조를 생성하여 입자의 산포특성과 거동특성을 분석하였다. 입자의 산포특성은 랜덤 미세구조에 대해서 입자의 형상, 크기 그리고 분포에 영향을 주는 변수인 가우시안 함수의 수(N)와 입자의 산포특성사이의 관계를 1차 모멘트를 이용하여 분석 하였다. 그리고 랜덤 미세구조를 전체 구조물에 반영한 외팔보의 멀티스케일 열-하중해석을 통하여 가우시안 함수의 수와 열- 하중 해석에 따른 처짐의 편차를 이용하여 구조물의 거동특성을 분석하였다.
2. RMDFs을 이용한 랜덤 미세구조의 생성
실제 입자 복합재료와 유사한 미세구조를 생성하기 위해서 입자의 형상, 크기 그리고 분포의 랜덤적인 산포특성을 구현 할 수 있는 RMDFs를 생성하였고, 생성된 RMDFs로부터 랜덤 미세구조를 생성하였다.
RMDFs는 2차 랜덤 가우시안 함수를 선형적으로 N개 결합한 함수이다. 2차 가우시안 함수는 중심점, 폭, 높이에 대한 변수를 가지는 함수이고, 여기서 중심점의 위치와 높이를 랜덤변수로 두게 되면 2차 랜덤 가우시안 함수가 생성된다. 가우시안 함수의 개수(N)에 따라 2차 랜덤 가우시안 함수를 결합하면 식 (1)과 같은 RMDFs가 생성된다.
여기서, aj와 wj은 각 가우시안 함수의 높이와 공간적 폭의 크기를 결정하고, 는 중심점의 위치를 결정한다. xj와 aj는 정의된 영역에서 랜덤적으로 선정되며, 본 연구에서 각각의 범위는 xj∈[0,1] ×[0,1], aj∈[-1,1]로 선정하였다. 공간적 폭은 에 의해 계산되며 s는 공간적 폭에 대한 스케일 인자이고, 은 xj의 길이이다. 본 연구에서는 s와 은 각각 0.5와 1을 사용하였다(Cho et al., 2012). 그리고 RMDFs를 쉽게 다루기 위해서 다음과 같이 [0,1]의 크기를 가지도록 RMDFs의 값을 정규화하였다.
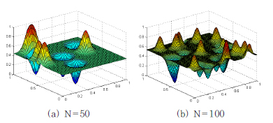
Fig. 1은 N =50, N =100일 때 RMDFs 그래프이며 N 이 증가함에 따라 봉우리의 수가 증가하고 각 봉우리의 공간적 폭이 감소하는 것을 확인할 수 있다.
랜덤 미세구조는 생성된 3차원 RMDFs의 등위면 에서 생성된다. 여기서 fc은 절단치(cut-off value)로서 [0,1]의 값을 가지는 실수이고 절단치의 값에 따라 무한한 등위면의 생성이 가능하고 그 등위면에서 다양한 분율을 가지는 랜덤 미세구조를 생성할 수 있다. 그리고 등위면에서 2종 재료의 랜덤 미세구조를 생성하기 위해서는 2상으로 구분이 필요하다. 2상으로 구분 방법은 RMDFs의 함수값 (f )과 절단치(fc)를 비교하여 함수값이 절단치보다 크면 재질1을 선택하고 절단치보다 작으면 재질 2를 선택하는 방법 으로 식 (3)과 같다.
여기서, c는 재질의 종류를 나타내고 H (·)는 단위계단 함수를 의미한다. 본 연구에서 c(1)은 입자를 의미하는 것으로 1의 값을 할당하고 c(2)는 기지재를 의미하며 0의 값을 할당한다. 식 (3)에서 계산된 값을 대응되는 N2개의 각 요소에 할당하고 0을 백색, 1을 흑색으로 2개의 다른 색상을 대입하면 입자 (강화재)와 기지재 부분으로 구분을 할 수 있는 2D 입자 복합재료의 이미지를 만들 수 있다. 이미지를 만들기 위하여 N2개의 픽셀을 생성하여 두 개의 상으로 구분하였다. Fig. 2는 두 개의 상을 0과 1, 그리고 흑과 백으로 구분한 예시이다.
입자의 분율은 입자로 선정된 요소에 할당된 값을 더하는 방법으로 구할 수 있으며 입자의 분율과 기지재의 분율을 식 (4)에 나타내었다.
절단치를 0에서부터 1까지 증가시키면 원하는 분율 V1을 가지는 랜덤 미세구조를 생성할 수 있다. Fig. 3은 절단치에 따른 분율을 나타내고 절단치를 순차적으로 높여가면 분율도 변하는 것을 알 수 있다. 예를 들어 절단치가 0일 경우 V1 = 1(V2 =0)이 되고, 1일 경우에는 V1 =0(V2 =1)이 된다. Fig. 4는 입자의 분율이 20%인 단위구조 입자 복합재료를 나타낸 것으로 N의 증가에 따라 입자의 수는 증가하고 분포가 균일하게 되는 것을 확인할 수 있다.
3. 단면 1차 모멘트를 이용한 입자의 산포분석
입자 복합재료는 입자의 형상, 크기 그리고 분포에 따라 물성치의 편차를 가진다. 그래서 본 연구에서는 입자 복합 재료를 모사한 1mm×1mm 랜덤 미세구조에 대해 입자의 산포특성을 분석하였고 단면 1차 모멘트를 입자 산포분석의 척도로 사용하였다. 식 (5)는 랜덤 미세구조에서 입자의 단면 1차 모멘트를 나타낸 것으로 입자들이 기준 축으로부터 얼마나 떨어져 형성되어 있는지를 정량적으로 나타낸다.
여기서, x, y는 기준 축과의 거리이고, dA 는 미소 단면적을 의미한다. 생성한 랜덤 미세구조에서 입자의 산포성를 파악하기 위해서 미세구조의 도심을 지나는 두 개의 수직하는 X 축, Y 축을 단면 1차 모멘트의 기준 축으로 선정하였다. 선정한 두 축은 도심을 지나기 때문에 입자 복합재료(강화재와 기지재)의 단면 1차 모멘트 값은 0을 가진다. 하지만 입자의 단면 1차 모멘트 값은 0이 아니며 입자들의 형상, 크기 그리고 분포에 따라 값이 변하게 된다. 입자의 형상, 크기 그리고 분포가 중심을 기준으로 완전히 균일하게 되면 단면 1차 모멘트는 0이 된다. 즉 입자의 단면 1차 모멘트가 0에 가까울수록 입자가 일정하게 분포된 것이다. Fig. 5는 입자의 단면 1차 모멘트를 구하는 개념도를 나타낸 것으로 미세구조 생성 시 만든 픽셀을 이용하여 입자의 셀(cell)의 면적과 중심축과의 거리를 곱한 값을 더하여 입자의 단면 1차 모멘트 값을 구하였다.
N =10, 30, 50, 100, 150, 200, 400, 600, 800, 1000에서 생성한 입자의 분율이 20%인 랜덤 미세구조들에 대해 단면 1차 모멘트분석을 X 축과 Y 축 기준으로 실시하여 입자의 산포성을 분석하였다. Table 1과 Fig. 6은 각각 56개의 미세구조에 대해 N 에 따른 단면 1차 모멘트의 평균값을 나타낸 것으로 N 이 증가함에 따라 평균값이 감소하는 것을 보인다. 즉, N 이 증가함에 따라 입자의 형상, 크기 그리고 분포가 균일하게 된다는 것이다. N =10일 때 단면 1차 모멘트의 평균값은 X 축을 기준으로 약 3.525×10-2mm3, Y 축을 기준으로는 약 3.046× 10-2mm3이고, N =200에서는 X 축 기준 약 1.162×10-2mm3, Y 축 기준 약 1.006×10-2mm3, N =1000에서의 X 축 기준약 0.791×10-2mm3, Y 축 기준 0.773×10-2mm3이다. N =200과 N =1000에서의 평균값 비교 시 N 은 800 증가하였지만 평균 값은 0.302×10-2mm3감소하였다. 이는 N =10에서 N =200 으로 증가 시 발생한 감소량 2.202×10-2mm3 보다 매우 작다. 즉, N 이 증가할수록 단면 1차 모멘트의 값과 기울기 모두 감소하였으며 단면 1차 모멘트 값이 N =200 이후로 큰 변화가 없는 것을 알 수 있다. 이를 통해 N =200 이후로 입자의 산포성이 수렴하는 경향이 있는 것을 확인할 수 있다.
4. 단위구조를 반영한 외팔보 열-하중 해석
4.1 수치해석 모델
랜덤 미세구조로 구성된 외팔보에 대한 열-하중 해석을 위해 1mm×1mm(폭 3mm)의 2D 단위구조를 생성하고 서로 다른 7개의 단위구조를 세로 방향으로 쌓아 랜덤 미세구조 모델을 생성하였다. 생성한 랜덤 미세구조 모델을 외팔보의 길이방향으로 반복하여 70mm×7mm의 외팔보를 생성하였다. 본 연구에서는 서로 다른 랜덤 미세구조 모델을 각 N 마다 15개 생성하였고 15개의 모델에서 단위구조를 쌓는 순서를 반대로 하여 15개의 모델을 추가생성하고, 각 N 마다 총 30개의 랜덤 미세구조 모델을 생성하였다. 그리고 열-하중 조건에서 입자의 산포에 따른 변위의 편차를 확인하기 위해서 생성된 모델들을 사용하여 해석을 실시하였다. Fig. 7(a)는 3개의 랜덤 미세구조를 3개 반복하여 만든 모델이고, Fig. 7(b)는 외팔보 전체를 랜덤 미세구조 모델을 이용한 모델 이다. Fig. 7(c)는 랜덤 미세구조 모델과 선형 혼합법 모델이 혼용된 복합모델이다. 복합모델은 고정단 근처에는 랜덤 미세 구조 모델을 사용하였고 자유단부분은 균질화 모델을 사용 하였다. 여기서 l1은 랜덤 미세구조 모델의 길이이고, l2는 균질화 모델의 길이다.
단위구조의 요소의 생성은 이미지 생성에 사용된 픽셀을 이용하여 4절점요소를 사용하였다. 따라서 요소의 개수는 N2과 같고 N 이 큰 경우 요소와 절점의 수가 급격히 증가하기 때문에 해석에 제한이 있다. 예를 들면 N =100인 경우, 단위구조의 요소의 개수는 10,000개이고, 70mm 전체를 단위구조로 생성한 랜덤 미세구조 외팔보의 요소의 개수는 4,900,000개가 된다. 그러므로 N 이 증가함에 따라 랜덤 미세구조 모델이 제한되기 때문에 본 연구에서는 N 이 100이상인 경우 복합 모델을 생성하여 수치해석을 수행하였다. N 에 따른 요소의 개수의 차이에 의한 영향에 대해서는 요소의 개수가 가장적은 N =10일 경우 외팔보의 요소의 개수는 49,000개로 많고 정적인 온도하중에 따른 처짐의 값을 보았기 때문에 N 의 증가에 따른 요소수의 영향은 적고 같은 N 에서 처짐의 변위의 편차를 분석하였기 때문에 각각의 N 에서의 해석결과를 동등하게 비교 하였다.
4.2 해석 조건
본 연구에 사용된 입자 복합재료는 항공 우주산업에 단열 소재로 많이 사용되고 있는 니켈 기지, 알루미나 강화재로 구성된 입자 복합재료이다. 알루미나의 분율은 20%로 선정하였다 (Masayuki Niino, 2004). Table 2는 사용된 니켈과 알루 미나 각각의 물성치와 선형혼합법을 이용한 균질화 모델의 등가 물성치를 나타낸다. 탄성계수의 경우 니켈이 199.5GPa로 알루미나의 393GPa보다 작지만 열팽창계수의 경우 니켈이 15.4×10-4, 알루미나가 7.4×10-6으로 니켈보다 크다. 프와 송비(ν)는 니켈이 0.3, 알루미나는 0.25이다. 물성치를 비교 해보면 알루미나가 니켈에 비하여 상대적으로 외부하중에 의한 변형이 작다는 것을 알 수 있다.
니켈-알루미나 복합재료는 고온의 단열재로 많이 사용된다. 이러한 사용 환경과 비슷한 고온의 조건을 부가하기 위하여 외팔보의 상부와 하부에 온도차가 있는 조건을 부가하였다. 상부에는 500℃, 하부에는 300℃로 상부와 하부의 온도차가 200℃이고 정적상태를 가정하여 높이에 따라 선형적으로 온도를 부가하였다. N 에 따른 15개의 외팔보를 뒤집어서 (외팔보를 뒤집으면 적층구조가 달라지므로 다른 해석결과를 산출함) 해석을 시행해 같은 N 에서 30개의 다른 유한요소 모델에 대해 해석을 수행하였다.
Fig. 8은 하중조건 및 구속조건을 나타내었다. 일반적인 외팔보 해석 시에서는 고정단의 모든 자유도를 구속하지만 고정단의 모든 자유도를 구속하면 외팔보의 끝단이 팽창하지 못하기 때문에 열-하중에 의한 거동 특성을 모사하지 못하고 고정단 상․하부 끝단에 응력집중이 발생한다. 본 연구에서는 열팽창에 의한 외팔보의 처짐의 거동특성을 모사하기 위해서 고정단 상부에 위치한 하나의 절점만 구속하였고 다른 고정단의 경우 Y 축 방향의 미끄러짐 경계조건을 부여하여 열팽창에 의한 거동을 표현하도록 구속조건을 수정하였다.
Fig. 9는 두 가지 조건에서의 응력 분포이다. 수정한 구속 조건에서는 고정단이 아닌 입자간의 사이에서 최대응력이 발생 하였고 고정단 전면에 구속조건을 건 모델에서는 고정단에 매우 높은 응력이 발생하는 걸 확인할 수 있다. 또한 여러 외팔보를 비교하기 때문에 변형을 한 방향으로 가져갈 수 있는 상부에 고정하는 경계조건을 선정하였다.
4.3 열-하중에 의한 입자 복합재료 외팔보의 처짐 결과
랜덤 미세구조로 구성한 모델의 경우 입자 복합재료의 이방 성과 입자의 산포특성이 해석결과에 직접적으로 반영되기 때문에 끝단에서 처짐의 결과가 단위구조의 형상에 따라 편차를 가지게 된다. 그러므로 열-하중 해석을 수행하고 열팽창에 의한 외팔보의 처짐의 산포특성을 분석하였다.
4.1장에서 이야기한 것처럼, 열-하중 해석은 N 이 작을 경우 전체 랜덤 미세구조 외팔보 모델 해석을 수행하였고, N 이 큰 경우 랜덤 미세구조 모델과 선형혼합법으로 계산된 물성치를 사용한 균질화 모델을 혼합한 복합모델을 사용하여 해석을 수행하였다. 하지만 균질화 모델의 경우 등방성을 가지고 산포를 표현하지 못해 입자 복합재료의 이방성과 산포특성을 고려하지 못하기 때문에 전체 랜덤 미세구조 모델과 복합모델을 직접적으로 비교하기에는 부적절하다. 그러므로 복합모델의 결과를 전체 랜덤 미세구조 모델의 결과와 비교하기 위해서 복합 모델과 전체 랜덤 미세구조 모델과의 관계를 확인하여 복합모델의 결과를 전체 랜덤 미세구조 모델의 결과로 변환하여야 한다.
복합모델과 전체 랜덤 미세구조 모델간의 관계를 확인하기 위해서 N =10, 30에서의 랜덤 미세구조 모델을 각각 한 개씩 선정하였고 랜덤 미세구조 모델의 반영길이를 3mm, 10mm, 30mm, 50mm, 70mm로 증가함에 따른 처짐의 변화를 분석 하였다. 이를 통하여 Fig. 10은 랜덤 미세구조의 반영길이에 따른 복합모델의 처짐의 값이다. X 축은 랜덤 미세구조의 반영 길이이고 Y 축은 자유단에서의 처짐의 크기이다. 랜덤 미세구조 모델의 길이에 따른 복합모델의 분석 결과 처짐의 값은 반영길이에 따라 감소하지만 감소의 기울기 또한 감소되었다. 반영길이에 따른 처짐의 변화가 발생한 이유는 랜덤 미세구조 모델과 균질화 모델간의 물성치의 차이에 따른 단면의 기울기의 차이 때문이다. 외팔보의 처짐의 문제는 고정단에 가까울수록 영향이 크기 때문에 반영길이의 증가에 따른 처짐의 변화는 반영길이가 적을 경우 변화가 크지만 반영길이가 증가함에 따라서 처짐의 변화는 적어진다. 따라서 복합모델의 자유단 에서의 처짐의 함수의 1계 도함수는 70mm일 때에 0인 1차 도함수라 생각되며 다음과 같다.
처짐의 값은 식 (6)을 적분하면 자유단에서의 처짐의 함수를 구할 수 있고 식은 다음과 같다.
식 (7)의 미지수는 1차 도함수의 기울기 α 와 적분상수 C 이다. 정확한 α 값을 구할 수 없기 때문에 중간 값 정리를 응용하여 구하였다. 같은 N 에서 복합재료 반영 비율이 다른 X1, X2 모델 간 처짐 값의 기울기 값과 X1 , X2사이의 X3의 기울기 값이 같은데 이 때 X3을 X1, X2의 가운데 값이라 가정하여 X3 기울기를 구하였다.
식 (8)을 식 (6)에 대입시키면 α 를 구할 수 있으며 식은 다음과 같다.
α 를 구하였기 때문에 적분상수 C 의 경우 X1, X2 둘 중 하나를 선택하여 그때의 처짐 값을 이용하여 구한다. X1, X2 선정 시 고정단과 너무 가까이 위치하거나 너무 멀리 위치하면 오차가 커지고 X1과 X2가 너무 크면 단위구조 복합재료의 반영을 줄이고자 한 의의가 사라지기 때문에 복합재료의 직접적인 반영 길이는 X1은 3mm, X2는 10mm로 선정하였고 적분상수 C 의 경우 X2에서 구하였다. 근사식의 정확도를 검증하기 위해 전체 단위구조 모델의 해석이 가능한 N =10, N =30, N =50에서 각각 2개씩 총 6개의 모델에서 실제 값과 예측 값과의 오차를 비교하였다. Table 3은 6개 모델에서 처짐의 결과를 비교한 것이다. 두 값이 가장 큰 차이를 보인 경우는 N =30(Ⅰ)에서 발생하였다. 그러나 최대 차이는 1.404×10-3mm이고 실제 값과의 오차는 0.152%에 불과하다. 나머지 경우에는 실제 값과의 차이의 비율이 0.01%를 넘는 경우가 없으며 가장 작은 경우는 N =50에서 차이가 2.988× 10-4mm, 차이의 비율은 0.030%이다. 이 결과를 통하여 예상한 값과 전체 반영한 모델 간의 결과 값의 차이가 매우 작다는 것이 확인되었다. 그러므로 복합모델의 결과를 통하여 단위구조 모델의 결과를 예측하는 식의 타당성을 확인할 수 있었다.
Table 4는 N 에 따른 외팔보 처짐의 평균, 표준편차, 범위 (최솟값과 최댓값의 차이)를 나타내었고, Fig. 11은 처짐의 평균과 최솟값, 최댓값을 나타내었다. N =10, 30, 50의 경우 전체 단위구조 모델에 대한 해석결과이고 N =100, 150, 200은 복합모델의 결과로부터 예측된 결과이다. 처짐의 평균은 N 에 상관없이 0.98mm로 일정한 값을 가졌으나 범위는 N 이 증가 함에 따라 감소하는 것을 확인하였다. N =10, 30, 50에서 처짐의 범위는 각각 0.1134mm, 0.1044mm, 0.1139mm, 그리고 표준편차는 각각 3.223×10-2mm, 2.367×10-2mm, 2.936×10-2mm로 N 이 증가함에 따라 근소한 차이를 보였지만 N =100, 150에서의 범위는 각각 9.376×10-2mm, 6.143× 10-2mm, 표준편차는 각각 2.116×10-2mm, 1.297×10-2 mm로 N 이 100, 150으로 증가함에 따라 범위와 표준편차가 크게 감소하였다. N =200에서 범위와 표준편차는 각각 5.418×10-2mm, 1.372×10-2mm로 N =150에 비해 근소 하게 감소하였다. 처짐의 산포 특성을 정확하게 분석하기 위하여 평균과 표준편차의 비인 변동계수(coefficient of variation, COV)를 계산하여 분석하였다. Fig. 12는 N 에 따른 처짐의 변동계수를 나타낸 것으로 N =150 이후로 변동계수가 1% 정도로 매우 작아졌으며 기울기 또한 변화가 매우 작아졌다. N 이 증가함에 따라 처짐의 평균값은 차이가 미비하지만 처짐의 산포의 범위는 감소하는 것을 확인할 수 있었고, N =150부터는 감소하는 기울기가 급감하여 N =150 이후부터는 N 의 증가에 따른 산포 범위의 감소가 미비하였다.
5. 결 론
본 연구는 입자 복합재료의 입자에 따른 특성을 분석하기 위하여 입자의 랜덤적인 산포특성을 구현할 수 있는 RMDFs를 이용하여 랜덤 입자 복합재료를 생성하여 연구하였다. 입자의 산포특성 분석 방법으로 형상, 크기 그리고 분포에 영향을 미치는 가우시안 함수의 수(N )에 따른 입자의 1차 모멘트 값을 분석하였고 입자 복합재료 구조물의 거동특성을 분석하기 위하여 랜덤 미세구조를 전체에 반영한 외팔보의 멀티스케일 열-하중 해석을 통하여 가우시안 함수의 수(N )에 따른 외팔보의 처짐의 산포특성을 분석하였다. 그 결과는 다음과 같다.
첫째 가우시안 함수의 수(N )에 따른 입자의 단면 1차 모멘트 값은 N =10에서 N =200을 증가 시 단면 1차 모멘트의 평균 값은 3.286×10-2mm3에서 1.084×10-2mm3로 2.202×10-2 mm3 감소하였지만 N =200에서 N =1000으로 증가 시 1.084 ×10-2mm3에서 0.782×10-2mm3로 0.302×10-2mm3 감소 하였다. 즉 N 이 증가할수록 1차 모멘트의 값이 감소하지만 기울기 또한 감소한다는 것을 알 수 있었다. 특히 N =200 이후 로는 감소량과 기울기가 매우적어 입자의 산포성이 수렴한다는 것을 알 수 있었다.
둘째 외팔보의 처짐의 평균은 N 에 상관없이 0.98mm로 일정한 값을 가졌지만 처짐의 범위와 표준편차는 N =10일 때 0.113m, 0.032mm, N =200일 때 0.054mm, 0.014mm로 N 에 따라 감소하는 것을 알 수 있었다. 그러나 N =150과 N =200의 범위와 표준편차의 차이는 0.007mm, 0.001mm로 작고 범위, 변동계수의 감소의 기울기가 급감하기 때문에 N =150이상부터 처짐의 산포가 작고 큰 변화가 없어 본 연구의 경우에는 N =200 이후로는 입자의 산포와 처짐의 산포는 수렴한다는 것을 알 수 있었다.
위와 같은 결과를 토대로 입자의 산포와 처짐의 산포는 가우시안함수의 수의 증가에 따라 감소하지만 기울기 또한 감소 하여 특정 N 에서 수렴하는 유사성을 있어 입자의 산포와 처짐 간에 상관관계가 있다는 것을 알 수 있었다. 입자 복합재료 입자의 산포특성과 거동특성의 수렴성 확인이 향후 입자 복합 재료의 연구 시 유용하게 활용될 것이라 생각된다.


















